Zum Inhalt springen
Loreto_1

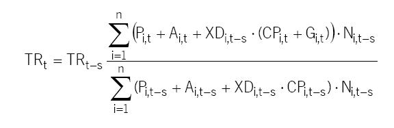
RDAX Performance Index -- Berechnung

Empfohlene Beiträge

Loreto_1

Hallo allerseits,

 

ich habe mal eine Frage zu der Berechung (Formel) des RDAX Performance-Index der Deutschen Börse.

Ich habe mir den Leitfaden (http://deutsche-boerse.com/dbag/dispatch/de/binary/gdb_content_pool/imported_files/public_files/10_downloads/50_informations_services/30_Indices_Index_Licensing/21_guidelines/30_bonds_indices/RDAX_guide.pdf) angeschaut, allerdings habe ich hier und da noch ein paar Schwierigkeiten mit der richtigen Interpretation der Variablen in der Formel. Bis auf die Variblen CP und G denke ich, dass ich alles richtig verstanden habe. Verstehe ich es richtig, dass die Variable während des gesamten Zeitraumes nach der Kuponzahlung bis zum nächsten Anpassungstermin den Wert einer Kuponzahlung annimmt? Mit der Variable G kann ich leider noch etwas weniger anfangen..

Ich freue mich sehr, wenn mir hier jemand weiterhelfen kann. Vielen Dank

Diesen Beitrag teilen


Link zum Beitrag
Dendi

Servus im Forum ;)

 

Bitte editier erstmal Deinen Beitrag, der Links sprengt irgendwie die Seite *schmunzel*

 

Zum RDAX: Ich würde diesen Leitfaden nehmen, er ist auf Deutsch und verständlicher m.E. nach.

 

Also wenn ich das richtig verstehe:

 

post-5320-1188813819_thumb.jpg

 

CPi,t = Wert der nächsten Kuponzahlung zum Zeitpunkt t, falls sich die Anleihe

i in der Ex-Dividend-Periode befindet, sonst 0

 

In die Berechnung fließen die Kupons von Anleihen ein, welche von unterschiedlichen Banken geliefert werden. Der "Ex Dividend" Tag ist regelmäßig 2-3 Bankarbeitstage vor dem "Record Date". Im Record Date werden die Dividenden an die Personen ausbezahlt, die berechtigt sind. Wer im Endeffekt eine Dividende erhalten würde (bezugsberechtigt ist) wird am Ex Dividend Tag festgestellt. Ergo liegen zwischen Ausführung und Feststellung 2-3 Arbeitstage, in welcher die Anleihe "ex Dividend" läuft, also ohne Dividende. Wer nach diesem Tag eine Anleihe kauft - ergo nach Ex-Dividend aber vor Record-Date, erhält keine Dividenden, die Anleihe ist allerdings noch ohne Dividende verbucht. Folgerichtig muss bei der Berechnung des Indices der virtuelle Wert der Dividende hinzuadiert werden. Sollte also eine Anleihe in einer Ex-Dividend-Phase sein, dann wird dieser virtuelle Kuponwert hinzuaddiert, ist dies nicht der Fall, bleibt es bei 0.

 

In der Formel haben wir (verkürzt)

 

X * (C+G) (oben) /

X * C1

 

hier wird also berechnet:

X (kann 1 oder 0 sein) - ist die Anleihe in einer Ex-Dividend Phase ja oder nein?

 

C - Wert der nächsten Kuponzahlung zum heutigen Zeitpunkt (t)

G - Wert der Kuponzahlung vom Kupontermin bis ende des Monats (tKupon bis ende Monat)

 

C1 - Wert der nächsten Kuponzahlung am letzten Kalendertag des Vormonates (letzter Kupontermin bis Vormonat)

 

 

Ich bin kein Mathematiker, würde es aber so interpretieren, dass für den Zeitraum t bis tKupon (quasi Ex-Dividend-Phase) mittels dieser 3 Daten der virtuelle Kuponwert ermittelt wird, berechnet aus dem erwarteten Kupon zum Stand des Vormonates, dem anteiligen Kuponwert bis zu t (heutiger Tag) und dem anteiligen Kuponswert von tKupon bis zum Ende des Monats.

 

Ergo: Die Variable nimmt nur in der Ex-Dividend Phase den anteiligen Wert eines Kupons an, nicht bis für den gesamten Zeitraum zwischen den Anpassungen

 

Gruß Dendi

Diesen Beitrag teilen


Link zum Beitrag
Loreto_1

vielen dank erst einmal für die rückmeldung..

 

wie lange befindet sich eine Anleihe eigentlich in der Ex-Kupon-Periode? ich hatte gedacht, dass die Anleihe nur am Tag der Kuponausschüttung als Ex-Kupon gehandelt wird.

 

eine andere sache, die mir noch nicht so ganz klar ist die varible G (Wert der Kuponzahlung vom Kupontermin bis ende des Monats)- ist das also quasi eine art stückzins vom kupontermin bis monatsende??

 

viele grüße

Diesen Beitrag teilen


Link zum Beitrag
Dendi

Der "Ex Dividend" Tag ist regelmäßig 2-3 Bankarbeitstage vor dem "Record Date"

 

So würde ich es mir herausziehen :)

 

@ G: auch hier würde ich sagen ja: ne Art Stückzins von Kupontermin bis Ende des Monats.

 

Gruß Dendi

Diesen Beitrag teilen


Link zum Beitrag

Erstelle ein Benutzerkonto oder melde dich an, um zu kommentieren

Du musst ein Benutzerkonto haben, um einen Kommentar verfassen zu können

Benutzerkonto erstellen

Neues Benutzerkonto für unsere Community erstellen. Es ist einfach!

Neues Benutzerkonto erstellen

Anmelden

Du hast bereits ein Benutzerkonto? Melde dich hier an.

Jetzt anmelden

×
×
  • Neu erstellen...