Zum Inhalt springen
firsthippi

Portfoliowahrscheinlichkeiten

Empfohlene Beiträge

firsthippi

Hallo Forumsgemeinde

ich habe mir mal ein paar Gedanken über das Risiko (m)eines Portfolios gemacht und kam auf, für mich, erschreckende Ergebnisse.

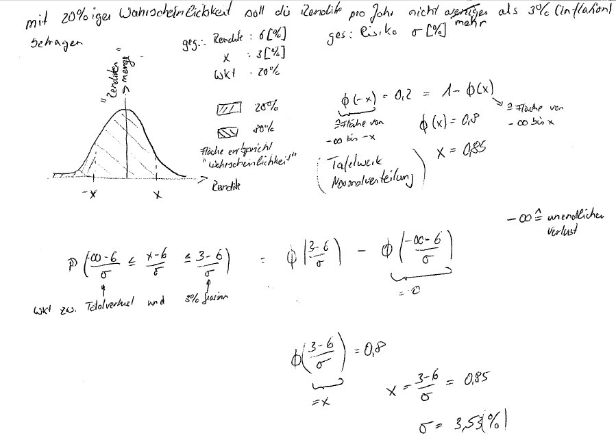
Annahme: In einer langfristigen Anlage soll über die gesamte Laufzeit eine jährliche Rendite über der Inflation erzielt werden. Mathematisch ausgedrückt heißt das, dass ich zu einer gewissen Wahrscheinlichkeit (normalverteilt) mit der jährlichen Rendite unter der Inflation liege, bis hin zum Totalverlust.

Meine Annahme:

Durchschnittliche Inflation = minimale Rendite = 3 %

Wahrscheinlichkeit = 20 % (dass die Rendite unter 3 % liegt also so eine Art persönliche Risikobereitschaft)

Erwartet Rendite = 6 % (Wertpapier bis hin zu Bar)

Nun kann man mit diesen Zahlen die Standartabweichung (Risiko) für ein Gesamtportfolio ausrechnen Normalverteilung, Tafelwerk

Dabei bin ich auf eine Standardabweichung (Risiko) von ~3,5 % gekommen. (Wenn meine Rechenschritte interessieren (oder um es nachzuvollziehen) kann ich auch ein Bild hochladen mit meinen notizen dazu))

Das bedeutet, wenn man ein Portfolio hat, mit einer durchschnittlichen Rendite von 6 % und einem Risiko von (nur) 3,5 %, kann man mit einer Wahrscheinlichkeit von 20 % auf die Nase fallen und nicht mal die Inflation ausgleichen. Das Ergebnis ist für mich schockierend.

Gesetz dem Fall ich habe mich nicht verrechnet (das Thema liegt bei mir schon 4,5 Jahre zurück ;-) ), kann man überhaupt ein Portfolio auf die Beine stellen, das den errechneten werten entsprechen kann, ohne sich dauerhaft aktiv (oder daytrading) darum kümmern zu müssen. Die Werte entsprechen ja nur der Wahrscheinlichkeitman kann aber durch Handeln selbst die Wahrscheinlichkeit zu seinem (Un-)Gunsten ändern.

Fazit:

Wenn man kein Portfolio zusammenstellen kann, welches ein Risiko von nur 3,5 % hat und eine Rendite von 6 % (wovon ich stark ausgehe) ergibt sich rein mathematisch, bei einem starren Portfolio ohne aktives Management eine recht hohe Wahrscheinlichkeit, dass ich nicht mal die Inflation schlage.

Wäre nett, wenn man auf der Grundlage mal eine Diskussion führen könnte (oder berichtigt meine Rechenfehler)

Nichts desto trotz, werd ich mein Geld in diesem Jahr in Wertpapiere anlegen und mein glück versuchen.

Diesen Beitrag teilen


Link zum Beitrag
Fleisch

bitte hochladen, dann können wir den rechenweg nachvollziehen und ggf. enthaltene fehler korrigieren

 

du kannst die sache auch anders betrachten, nämlich:

Du legst in Wertpapieren an, erzielst Erträge knapp unter der Inflationsrate (was ich im Übrigen nicht glaube, außer in Extremsituationen) nach Abzug aller Kosten, Steuern und Inflation. Andere Anleger sparen mittels Sparbuch, 2 %-Tagesgeldkonto usw. Nach einer Laufzeit x hast du dennoch um einiges mehr auf dem Konto / Depot als der klassische Anleger und wirst darüber sehr froh sein ;)

Diesen Beitrag teilen


Link zum Beitrag
firsthippi
· bearbeitet von firsthippi

Ich habe meine Rechnung dazu mal versucht etwas zu erläutern, ist aber nicht ganz so einfach gewesen ;-). Sind eingie Symbole aus der Wahrschienlichkeitsrechnung drin, so wie es glaube auch in Tafelwerken/Tabellenbüchern steht.

Ich hoffe, dass Ihr nachvollziehen könnt, was ich gerechnet habe.

Die Wahrscheinlichkeitswert kann man bei bekanntem Risiko auch mit Excel errechnen. NORMVERT(X;Mittelwert;Standardabweichung;*WAHR*).

 

Wie bereits geschrieben, ist das nur ein rein theoretisches Szenario (ohne berücksichtung von Steuern, TER etc.). Es verdeutlicht aber meiner Meinung nach sehr gut, wie groß die Wahrscheinlichkeite/Rendite/das Risiko (je nachdem was man berechnen möchte) ist, wenn man ein Portfolio sich selbst überlässt und zu einem beliebigen Zeitpunkt kauf/verkauft.

post-10230-1214991482_thumb.jpg

Diesen Beitrag teilen


Link zum Beitrag
diamond123

naja die ergebnisse sind ja grundsätzlich nicht weiter verwunderlich.

du nimmst halt eine normalverteilung mit mittelwert 6 und standardabweichung 3,5 an.

 

eine normalverteilung ist bei finanzmarktdaten aber nicht üblich.

und grundsätzlich könnte es dir ja egal sein ob du eine standardabweichung von 2,5;3,5 oder 5 hast

wenn du dein portfolio lange genug hälst und du wirklich einen mittelwert von 6 hast (was man dummerweise vorher nicht weiss :)) dann kommst du über 20-30 jahre auch auf einen wert der ziemlich genau bei 6 liegen wird.

 

inflation ist meiner meinung nach kein besonderes kriterium, weil das fällt bei allen anlageklasse an.

Diesen Beitrag teilen


Link zum Beitrag
Fleisch

x= 0,85

 

wie kommst du bitte auf den Wert ? Irgendwie steig ich bei dem Rechenweg nicht ganz durch <_<

Diesen Beitrag teilen


Link zum Beitrag
etherial
· bearbeitet von etherial
x= 0,85

 

wie kommst du bitte auf den Wert ? Irgendwie steig ich bei dem Rechenweg nicht ganz durch <_<

 

1. Er schaut sich die Normalverteilung an und möchte den Wert wissen bei dem das Integral unter der Normalverteilungskurve 20% (0,2) beträgt.

2. Nennen wir diesen Punkt -X. WEiter wissen wir, dass die Normalverteilung symmetrisch zur Y-Achse ist. Also liegt X (ohne minus) bei einem Integral von 80% (0,8).

3. Das Integral von 80% kann man in der Standard-Normalverteilungstabelle nachschlagen und erhält 0,85

4. 0,85 ist X im Falle von einer Standardabweichung von 1 (Standard-Normalverteilung). Jetzt rechnet er aus wie die Standardabweichung liegen muss, damit diese Grenze bei 3% liegt.

 

Beim letzten Schritt liegt möglicherweise ein Fehler:

 

Phi(3-6/Sigma) = 0,2 !

=>

Phi(3+6/Sigma) = 0,8

=>

Sigma = 10,6%

 

Ich hab jetzt leider nicht in mein Statistikbuch gesehen, vielleicht verzapfe ich hier Blödsinn, aber firsthippi kann das sicher schneller feststellen als ich.

 

Allerdings:

 

Unabhängig von jeder Berechnung:

1. Tagesgeldsätze sind derzeit bereits über 3%, d.h. ein "todsicheres" Portfolio erreicht bereits inflationsausgleich (Faustus meint, dass die Inflation deutlich höher wäre, dann stimmt das natürlich wieder nicht)

2. Aktienkurse sind schwach positiv mit der Inflation korrelliert. Bei höherer Inflation steigen die Aktien. Insgesamt bedeutet, dass man sich bei Aktien also nicht einem zusätzlichen Inflationsrisiko aussetzt, sondern nur den Marktrisiken. Beim Sparbuch wäre das womöglich anders. Wer also Inflationsangst hat, sollte sogar Aktien besitzen (und Inflationsindexierte Anleihen und Rohstoffe).

 

Diese Aussagen unterstützen das oben postulierte aber eher, als es zu widerlegen: Inflationsausgleich gibt es nicht ohne Risiko.

Diesen Beitrag teilen


Link zum Beitrag
Fleisch
:blushing: ups, stimmt ja...integral. da hat ich garnicht dran gedacht

Diesen Beitrag teilen


Link zum Beitrag
firsthippi
· bearbeitet von firsthippi

mahlzeit,

 

also wenn ich in excel die standardabweichung und den mittelwert angebe und die 3% kommt ne wahrscheinlichkeit von 20% raus ;-). mein weg war nur umgekehrt (wollte ja die standardabweichung wissen) und ich kenne die funktion in excel dafür nicht :-(.

 

wie ist denn die statistische verteilung in der finanzwelt? dass sie normalverteil ist, war nur eine annahme von mir!

 

aber diesbezüglich ne andere frage:

wie groß ist denn bei festgeld, tagesgeld etc. die volatilität? NULL wird die ja nicht sein.

 

wie ist eigentlich die korrelation zwischen wertpapieren (world, eu. em - etf's) und festgeld/tagesgeld in etwa?

Diesen Beitrag teilen


Link zum Beitrag
Fleisch

schau mal bei den von supertobs, danke dafür übrigens nochmal an dieser stelle, hochladenen bildern zu korrelation

Diesen Beitrag teilen


Link zum Beitrag
diamond123

natürlich hat festgeld/tagesgeld eine standardabweichung von 0.

die auszahlung der zinsen ist sicher und somit besteht kein risiko.

jetzt mal von irgendwelchen utopischen ereignissen abgesehen.

 

zur verteilung von finanzmarktdaten. das dumme daran ist, dass sie keiner genauen verteilung folgen :-)

 

aber grundsätzlich ist zu beobachten, dass viel schwerere ränder als bei der normalverteilung vorliegen.

d.h. es kommt viel öfter vor, dass sehr starke positive/negative renditen erzielt werden (krise 2001, anschläge, unternehmensnachrichten usw.)

ich rede jetzt hier von renditen auf tagesbasis.

 

grüße

diamond

Diesen Beitrag teilen


Link zum Beitrag
firsthippi
natürlich hat festgeld/tagesgeld eine standardabweichung von 0.

die auszahlung der zinsen ist sicher und somit besteht kein risiko.

 

das risiko (volatilität) bemisst sich doch aus den renditen, die ja schwanken können. und dir renditen schwanken doch (z.b. schlachten beim tagesgeld).

 

oder habe ich etwas vollkommen verkehrt verstanden?

Diesen Beitrag teilen


Link zum Beitrag
diamond123

das hast du falsch verstanden.

die standardabweichung misst das risiko deiner anlage.

angenommen du schließt heute einen festgeldvertrag für 1 jahr über 4% ab, dann wirst du in einem jahr 4% bekommen.

risiko = 0.

 

wenn jetzt morgen eine bank kommt und 5% bietet, dann hast du halt pech gehabt und dir ist eine chance auf eine höhere rendite entgangen.

hat aber mit dem risiko deiner anlage nichts zu tun.

Diesen Beitrag teilen


Link zum Beitrag
etherial
die standardabweichung misst das risiko deiner anlage.

angenommen du schließt heute einen festgeldvertrag für 1 jahr über 4% ab, dann wirst du in einem jahr 4% bekommen.

risiko = 0.

 

Jein.

1. muss in der Standardabweichung auch das Risiko eines Totalausfalls abgedeckt sein. Ein Totalausfallrisiko von 0 gibt es nicht. Insofern kann es schonmal kein Risiko 0 geben.

2. wer 20 Jahre lang in kurz/mittelfristige Geldmarktpapiere anlegen möchte, der hat üblicherweise eine mittlere Rendite und eine Varianz, da sich die Zinskonditionen ändern.

Diesen Beitrag teilen


Link zum Beitrag
diamond123
Jein.

1. muss in der Standardabweichung auch das Risiko eines Totalausfalls abgedeckt sein. Ein Totalausfallrisiko von 0 gibt es nicht. Insofern kann es schonmal kein Risiko 0 geben.

2. wer 20 Jahre lang in kurz/mittelfristige Geldmarktpapiere anlegen möchte, der hat üblicherweise eine mittlere Rendite und eine Varianz, da sich die Zinskonditionen ändern.

 

jetzt verunsicher ihn doch nicht wieder :)

 

das risiko von einem totalausfall bei tagesgeld kannst du mehr oder weniger vernachlässigen, wenn du dein geld zu einer soliden bank bringst.

Diesen Beitrag teilen


Link zum Beitrag
firsthippi
schau mal bei den von supertobs, danke dafür übrigens nochmal an dieser stelle, hochladenen bildern zu korrelation

 

kann mir jemand nen tipp geben wo ich die finden kann? hab bisher nix gefunden (blind oder blöd?)

Diesen Beitrag teilen


Link zum Beitrag
ghost

Tagesgelder haben keine Standardabweichung von 0.

Dein Festgeld hätte nur eine Standardabweichung von 0, wenn du heute ein Festgeld bis zum Ende deiner Depotlaufzeit abschließen würdest.Das ist eine eher unzutreffende Annahme. Wenn du alle 1-2 Jahre neue Festgelder kaufst, dann haben diese keine Standardabweichung von 0.

 

Die Wahrscheinlichkeit eines (Total-) ausfalles wird nicht mit der Standardabweichung gemessen.

 

 

@Threadstarter

In deiner Überlegung fehlen noch 2 wichtige Aspekte:

- Steuern

- Transaktionskosten (Orderkosten, Depotkosten, Spread, Managementkosten)

 

Nettorendite = (Bruttorendite - Steuern) - Inflation

Diesen Beitrag teilen


Link zum Beitrag
etherial
Tagesgelder haben keine Standardabweichung von 0.

 

Das stimmt definitiv nicht! Tagesgeldzins kann jeden Tag angepasst werden.

Diesen Beitrag teilen


Link zum Beitrag
Sapine
kann mir jemand nen tipp geben wo ich die finden kann? hab bisher nix gefunden (blind oder blöd?)

Schätze mal er meinte die Stelle hier: https://www.wertpapier-forum.de/index.php?s...st&p=312443

Diesen Beitrag teilen


Link zum Beitrag

Erstelle ein Benutzerkonto oder melde dich an, um zu kommentieren

Du musst ein Benutzerkonto haben, um einen Kommentar verfassen zu können

Benutzerkonto erstellen

Neues Benutzerkonto für unsere Community erstellen. Es ist einfach!

Neues Benutzerkonto erstellen

Anmelden

Du hast bereits ein Benutzerkonto? Melde dich hier an.

Jetzt anmelden

×
×
  • Neu erstellen...