Zum Inhalt springen
edan

Photovoltaik, Fotovoltaik Anlagen / PVA

Empfohlene Beiträge

€-man

Wir können den Basar jetzt eröffnen.

 

Gegenrechnung: Wenn Dein angegebener Wohnort in Regensburg nicht mindestens zwischen 1.000 und 1.100 bringt, dann verstehe ich nichts von der Thematik und passe.

 

Bei einem klugen Einkauf der Anlage kannst Du ein Markenprodukt auch schon für 3.600,--/kWp haben.

 

Jetzt rechne mit einem Mittelwert von 1.050, dann hast Du wieder die o.g. Ertragsstruktur.

 

Gruß

-man

Diesen Beitrag teilen


Link zum Beitrag
fireball
· bearbeitet von fireball

Das hat doch nichts mit Basar zu tun, schönrechnen möchte ich mir aber eine Investition nicht, für mich zählt die realisierte Performance nicht die theoretische.

 

Bei 1050 komme ich auch nur auf 3,6% selbst bei deinen 1170 komme ich nur auf 4,6%.

Und wie gesagt hier ist immer noch ein Risiko dabei m.M nach.

 

Du darfst nicht deine Einspeisepreise zugrunde legen sondern die die du jetzt bekommst, da wir ja keine Anlagen auf dem Dach haben. Für deine Anlage persönlich mag die Rechnung stimmen, ich muss vergleichen 50k Solar 50K in Anlage "Vanity" jetzt. Au0er du möchtest mir deine Anlage natürlich günstig verkaufen :P

Diesen Beitrag teilen


Link zum Beitrag
€-man

Meine Berechnung beruht auf der jetzigen Einspeisevergütung von 0,4301 .

 

Gruß

-man

Diesen Beitrag teilen


Link zum Beitrag
vanity
...
...

Der Zinsfüßler meldet sich wieder zu Wort: Bei einer Renditeberechnung macht ihr grad den Fehler, die Abschreibung, die den weitaus größten Posten der Kosten darstellt, linear über die Laufzeit zu verteilen. Das ist aus betriebswirtschaftlichen / steuerlichen Aspekten zwar angebracht, finanztechnisch (als Zahlungsstrom) betrachtet ist das jedoch ein einmaliger Zahlungsausgang. Und nur so ist die Vergleichbarkeit mit Finanzanlagen (auf die es ja hoffentlcih keine Abschreibung gibt) gegeben. Aktualisierte Excel-Rechnung auf Basis neuester Erkenntnise folgt!

Diesen Beitrag teilen


Link zum Beitrag
edan
· bearbeitet von edan

@fireball: wieso rechnest du mit 0,30 Ertrag pro kwp, die meisten Anlagen von Privatpersonen dürften 30kwp nicht überschreiten.

 

Ich bin inzwischen zu dem Schluß gekommen, das sich eine Photovoltaikanlage "rechnen" kann, wenn:

 

- die Auslastung hoch genug ist, bei Man liegt diese beispielsweise bei 1050-1000kwh/Jahr, in RLP wird

beispielsweise nur von 850-900khw/Jahr ausgegangen, wenn Ausrichtung und Dachneigung stimmen

- die Anlage groß genug ist, da der kwp Preis mit der angeforderten Menge nicht unwesentlich variiert

 

- die Investition nur eine Beimischung des "Depots" darstellt und nicht der letzte Cent in die Anlage gesteckt wird, ich

werfe mal einen Anteil von höchstens 20% in den Raum.

Ich habe von Leuten erfahren, die schon verschuldet sind und zusätzlich bei der KfW einen Kredit aufgenommen

haben, nur um alles auf die Photovoltaik-Karte zu setzen.

- es muß klar sein, das es durchschnittlich etwa 10 Jahre braucht, bis man die Anschaffungskosten wieder erwirtschaftet

hat und durchschnittlich 15 Jahre, bis man eine Festzinsanlage eingeholt hat.

Die Investition sollte also wie ein geschlossener Fonds mit einer Mindestlaufzeit von 15 Jahren angesehen werden.

 

Gruß,

Edan

Diesen Beitrag teilen


Link zum Beitrag
€-man

edan, kann man so in etwa stehen lassen.

 

Gruß

-man

Diesen Beitrag teilen


Link zum Beitrag
fireball

Ok ich glaube ich liege mit meinen 0,30 falsch ?

 

Zählt jetzt die kwp der Anlage oder der im Jahr produzierte Strom in KW als Grundlage für die Einspeisevergütung ?

Diesen Beitrag teilen


Link zum Beitrag
€-man
Ok ich glaube ich liege mit meinen 0,30 falsch ?

 

Zählt jetzt die kwp der Anlage oder der im Jahr produzierte Strom in KW als Grundlage für die Einspeisevergütung ?

 

1) Ja.

 

2) Der produzierte Strom

 

Gruß

-man

Diesen Beitrag teilen


Link zum Beitrag
vanity
· bearbeitet von vanity
...

2) Der produzierte Strom

Die Leistung, meine ich (bis 30 kW ...)

 

Hier ist die Tabelle, @fireball du hast jetzt Pech, weil deine Zahlen mit 0,33 € / kWh gerechnet sind. Musst dir halt eine 1 MW-Anlage hinstellen! :P

 

Die Leistungsminderung von 0-20% steigend wird der Einfachheit zuliebe mit 10% über die gesamte Laufzeit angenommen. Die Wechselrichterkosten sind mit je 1000 € in den Jahren 7 und 14 berücksichtigt, Versicherung 120 € pro Jahr ist vom Erlös abgezogen.

 

Investion 50.000 entspricht 13,16 kWp

(1) Rechnung €-man: 13,16 kwp x 1117 kWh/kWp x 0,43 €/kWh abzgl. 10% Leistungsabfall abzgl. 120 € Vers. p. a.

(2) Rechnung fireball: 13,16 kwp x 0950 kWh/kWp x 0,33 €/kWh abzgl. 10% Leistungsabfal abzgl. 120 € Vers. p. a.l

(3) Vanity: Entnahmeplan 20 Jahre ca. 4%

(4) GainMoreMoney: Bundesanleihe 20 Jahre 4,5% (Kupon 5,5%, Kurs 115%)

Rend. p.a. 9,59 3,62 4,03 4,53

30.06.00 -50 k -50 k -50 k -50 k

01.01.01 5550 3593 3617 2391

01.01.02 5550 3593 3617 2391

01.01.03 5550 3593 3617 2391

01.01.04 5550 3593 3617 2391

01.01.05 5550 3593 3617 2391

01.01.06 5550 3593 3617 2391

01.01.07 4550 2593 3617 2391

01.01.08 5550 3593 3617 2391

01.01.09 5550 3593 3617 2391

01.01.10 5550 3593 3617 2391

01.01.11 5550 3593 3617 2391

01.01.12 5550 3593 3617 2391

01.01.13 5550 3593 3617 2391

01.01.14 4550 2593 3617 2391

01.01.15 5550 3593 3617 2391

01.01.16 5550 3593 3617 2391

01.01.17 5550 3593 3617 2391

01.01.18 5550 3593 3617 2391

01.01.19 5550 3593 3617 2391

01.01.20 5550 3593 3617 45869

Diesen Beitrag teilen


Link zum Beitrag
€-man

Merci, vanity.

Hast Du die Reparaturkosten mit 100,-- bis 150,-- p.a. mit einbezogen?

 

Fazit: Mit einer Anlage, die zwischen 1.000 und 1.100 KWh je kWp liefert, sind die 7% keine wilde Spekulation.

 

Gruß

-man

 

P.S. Sorry, aber fireball habe ich missverstanden. 0,4301 gibt es für Anlagen, die deren Größe die 29,9 kWp nicht übersteigt, ganz gleich wieviel dann Strom produziert wird.

Diesen Beitrag teilen


Link zum Beitrag
fireball

Die Rep kosten hat er im 7 und 14 Jahr abgezogen, warum er bei der letzten Rechnung 50k abgezogen hat ergründet sich mir jetzt allerdings erstmal nicht, da das kapital ja nicht entnommen wird.

Diesen Beitrag teilen


Link zum Beitrag
vanity
· bearbeitet von vanity
Merci, vanity.

Hast Du die Reparaturkosten mit 100,-- bis 150,-- p.a. mit einbezogen?

Sind in den Jahren 2007 und 2014 mit je 1000 € berücksichtigt, Versicherung ist jährlich mit 120 € berechnet. In den jeweiligen Zellen steht dann die Einnahme (Erlös - Aufwendung).

 

Jetzt noch die Nachsteuerbetrachtung (wer soviel Strom verkauft, dem unterstelle ich Höchststeuersatz!):

PVA €-man: R. vSt 9,6%, R. nSt 5,7% (ESt 44%)

PVA fireball: R. vSt 3,6%, R. nSt 2,1% (ESt 44%)

MoreMoney: R. vSt 4,5%, R. nSt 3,3% (AgSt 26,4%)

 

Berechnungsmethodik: Nettoeinnahme = (Einnahme - Abschreibung) x 0,56 + Abschreibung, die einmalige Sonderabschreibung (20% in den ersten 4 Jahren?) ist nicht berücksichtigt.

 

Rendite p.a 9,59 5,74 3,62 2,1

 

30.06.00 -50 k -50 k -50 k -50 k

01.01.01 5550 4208 3593 3112

...

Zum selber Rumspielen:

PVA.xls

Die Auszahlungen sind von Hand eingetragen, das kriegt man sicher eleganter hin. @Schnitzel?

 

@Fireball: warum er bei der letzten Rechnung 50k abgezogen hat

Wo meinst du?

Diesen Beitrag teilen


Link zum Beitrag
losemoremoney
· bearbeitet von losemoremoney

Vanity Deine Berechnung zum internen Zinsfuß stimmt. Müßte ich von diesem Zinsfuß nicht noch den Kalkulationszinsfuß abziehen, welcher die Kapitalerhaltungskosten enthält.

 

Wenn ich die Anlage total fremdfinanziere müßte ich also vom errechneten Zinsfuß 4,9% den Kalkulationszinsfuß(Zinsen+Tilgung) abziehen.

 

Beziehungsweise bei totaler Eigenkapitalfinanzierung die entgangenen Guthabenzinsen.

 

http://de.wikipedia.org/wiki/Zinssatz

 

 

http://de.wikipedia.org/w/index.php?title=...=20050225131147

Ertragswert.xls

Diesen Beitrag teilen


Link zum Beitrag
vanity
· bearbeitet von vanity
Vanity Deine Berechnung zum internen Zinsfuß stimmt.

:thumbsup: Die ist ja auch nicht von mir, ich habe sie nur angewendet.

 

Müßte ich von diesem Zinsfuß nicht noch den Kalkulationszinsfuß abziehen, welcher die Kapitalerhaltungskosten enthält.

Wenn ich die Anlage total fremdfinanziere müßte ich also vom errechneten Zinsfuß 4,9% den Kalkulationszinsfuß(Zinsen+Tilgung) abziehen.

Nein, musst du nicht (wenigstens nicht zwangsläufig). Es reicht, wenn du den (von mir) ermittelten internen Zins dem Kaklulationszinsfuß (= interner Zins der Fremdfinanzierung) gegenüberstellst. Sobald der interne Zins der Investion den der Finanzierung übersteigt, ist die Investion rentabel.

 

Willst du die interne Verzinsung einer fremdfinanzierten Investion ermitteln, würdest du die beiden Zahlungsreihen (meine und die der Finanzierung) zusammenfassen und darüber die Methode IRR anwenden. Dabei kannst du auf eine horrende (bestenfalls unendlich hohe) Verzinsung kommen (Hebelung).

 

 

Beziehungsweise bei totaler Eigenkapitalfinanzierung die entgangenen Guthabenzinsen.

Es gilt dasselbe. Das (mein hier verwendetes) Verfahren besteht darin, den internen Zins der Investion mit dem internen Zins der Finanzanlage zu vergleichen. Es entgeht mir ja nichts, da anstelle der Guthabenzinsen und des Kapitalrückflusses am Ende der Betrachtung entsprechende höhere periodische Beträge zurückfließen.

 

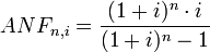
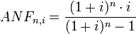
Die Berechnungs im Sheet Ertragswert ist nichts anderes als die Ermittlung des internen Zinses zu Fuss. Genau das macht der Algorithmus XINTZINSFUSS. Es wird solange am Zins herumgespielt, bis der Kapitalwert 0 ergibt.

 

Im Falle gleichbleibender Zahlungen gibt es sogar eine geschlossene Formel dafür, den Annuitätenfaktor.

WIKI: Annuitätenmethode

 

post-13380-1241820741_thumb.png

 

n=Anzahl Perioden (hier: 20)

i=Zinssatz (hier: 0,0496)

 

((1,0496)^20 * 0,0496) / ((1,0496)^20 -1) = 0,07997 (Annuitätenfaktor)

10000 * 0.07997 = 799,70 (Kapital * Annuitätenfaktor = Annuität)

Diesen Beitrag teilen


Link zum Beitrag
losemoremoney
:

 

 

Nein, musst du nicht (wenigstens nicht zwangsläufig). Es reicht, wenn du den (von mir) ermittelten internen Zins dem Kaklulationszinsfuß (= interner Zins der Fremdfinanzierung) gegenüberstellst. Sobald der interne Zins der Investion den der Finanzierung übersteigt, ist die Investion rentabel.

 

Willst du die interne Verzinsung einer fremdfinanzierten Investion ermitteln, würdest du die beiden Zahlungsreihen (meine und die der Finanzierung) zusammenfassen und darüber die Methode IRR anwenden. Dabei kannst du auf eine horrende (bestenfalls unendlich hohe) Verzinsung kommen (Hebelung).

 

 

Beispiel Fremdfinanzierung kostet mich 4,9% Zinsen+ 1% Tilgung dann ist die Geschichte unrentabel, weil -1% Unterdeckung.

 

Das selbe müßte auch fürs Eigenkap gelten, welches ich zur Verfügung stelle,oder?

 

Deiner zweiten Ausage kann ich nicht so schnell folgen.

Diesen Beitrag teilen


Link zum Beitrag
vanity
· bearbeitet von vanity
Beispiel Fremdfinanzierung kostet mich 4,9% Zinsen+ 1% Tilgung dann ist die Geschichte unrentabel, weil -1% Unterdeckung.

Nein - die Tilgung ist (in deinem Beispiel) in den 800 € bereits enthalten (der Zins beträgt ja nur 496 €, 304 € sind Tilgung (in der 1. Periode)). Dein Beispiel ist grob gerechnet ein Annuitätendarlehen mit 5% Zins und 3% Tilgung.

 

Deiner zweiten Ausage kann ich nicht so schnell folgen.

Kleines Beispiel:

 

Investion 10000, Erlöse 4 x 3000 in den folgenden Jahren (IZ 7,7%)

Finanzierung 8000, Zins+Tilgung 4 x 800 in den folgenden Jahren (IZ 3,9%)

 

Die Investion kann zu 80% finanziert werden, 20% sind Eigenkapital. Da der Finanzierungszins kleiner als der Zins der Investion ist, ist die Finanzierung vorteilhaft. Die Verzinsung des eingesetzten Eigenkapitals (21,8%) ergibt sich aus der 3. Zahlenspalte (die die zeilenweise Addition der 1. und 2. darstellt, nämlich den saldierten Mittelfluss).

 

........ Investion Fremdfinanz. Gesamt

 

Rendite = 7,71% 3,92% 21,86%

 

01.01.01 -10000 8000 -2000

01.01.02 3000 -2200 800

01.01.03 3000 -2200 800

01.01.04 3000 -2200 800

01.01.05 3000 -2200 800

 

Diesen Effekt versuchen z. B. AG's auszunutzen, wenn die Gesamtrentabilität größer als der Zins für das Fremdkapital ist: Sie reduzieren das Eigenkapital durch Aktienrückkäufe.

Diesen Beitrag teilen


Link zum Beitrag
losemoremoney
· bearbeitet von losemoremoney

Vanity ich habe mal den kalkulatorischen Zinsfuß eines Bonds(20 Jahre aktuell 4,38%Bruttorendite Wkn 113514) erster Güte ermittelt und diesen mit dem

 

Zinsfuß der Solaranlage verglichen.

 

Ergebnis der Bond schlägt die Solaranlage um 1 Prozent.

 

 

Bond 6,06% > Solaranlage 4,96%.

 

Ist eigentlich auch logo, da ein Bond noch einen Restwert hat.

 

Das meinte ich Du mußt vom internen Zinsfuß der Solaranlage noch den kalkulatorischen Zinsfuß

 

http://de.wikipedia.org/wiki/Kapitalwert

 

wegen den Kapitalerhaltungskosten

 

abziehen. Dann kommt man auf ne Unterdeckung -1,1% (4,96%-6,06%),welche die Solaranlage unattraktiv macht.

 

Fazit: Bonds sind rentabler als Solaranlagen.

Solaranlage_vs_Anleihe.xls

Diesen Beitrag teilen


Link zum Beitrag
vanity
· bearbeitet von vanity
Vanity ich habe mal den kalkulatorischen Zinsfuß eines Bonds(20 Jahre aktuell 4,38%Bruttorendite Wkn 113514) erster Güte ermittelt und diesen mit dem Zinsfuß der Solaranlage verglichen.

 

Ergebnis der Bond schlägt die Solaranlage um 1 Prozent.

 

Bond 6,06% > Solaranlage 4,96%.

Das kann überhaupt nicht sein! Wenn die Rendite des Bonds (vor Steuern) 4,38% p. a. ist, dann kann der Zinsfuß nicht 6,06% sein. Rendite und interner Zins sind per definitionem identisch.

 

In deiner Rechnung ist der Barwert des Bonds V16 (3846 = mit 6% abgezinste Kupons) + V18 (3082 = mit 6% abgezinste Kapitalrückzahlung), ergibt 6982. Der Barwert müsste aber 10.000 sein, weil du 10.000 am Anfang in den Bond investiert. Also ist der angenommene Zins zu hoch. Setze B12=B4 und die Rechnung stimmt.

 

Ist eigentlich auch logo, da ein Bond noch einen Restwert hat.

Dafür hat die PVA höhere laufende Erträge, die wieder angelegt werden können.

 

Das meinte ich Du mußt vom internen Zinsfuß der Solaranlage noch den kalkulatorischen Zinsfuß

 

http://de.wikipedia.org/wiki/Kapitalwert

 

wegen den Kapitalerhaltungskosten

 

abziehen. Dann kommt man auf ne Unterdeckung -1,1% (4,96%-6,06%),welche die Solaranlage unattraktiv macht.

 

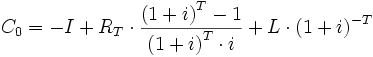
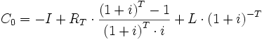
Nein. In deinem Link steht doch alles, rechne hiermit

 

post-13380-1242067259_thumb.png

und interpretiere wie dort angegeben:

WIKI:

Eine Investition ist absolut vorteilhaft, wenn ihr Kapitalwert größer als Null ist.

 

Kapitalwert = 0: Der Investor erhält sein eingesetztes Kapital zurück und eine Verzinsung der ausstehenden Beträge in Höhe des Kalkulationszinssatzes. Die Investition hat keinen Vorteil gegenüber der Anlage am Kapitalmarkt zum gleichen (risikoäquivalenten) Zinssatz. An dieser Stelle befindet sich der interne Zinsfuß.

 

Kapitalwert > 0: Der Investor erhält sein eingesetztes Kapital zurück und eine Verzinsung der ausstehenden Beträge, die den Kalkulationszinssatz übersteigen.

 

Kapitalwert < 0: Die Investition kann eine Verzinsung des eingesetzten Kapitals zum Kalkulationszinssatz nicht gewährleisten.

 

 

Fazit: Bonds sind rentabler als Solaranlagen.

Nein, wenn man die verwendeten Zahlen zugrunde legt. Von mir aus sind sie rentabler, wenn man den mit der Solaranlage verbundenen Stress monetarisiert und aufzinst. ;)

Diesen Beitrag teilen


Link zum Beitrag
€-man
· bearbeitet von �-man
Fazit: Bonds sind rentabler als Solaranlagen.

 

Sorry, aber liest Du eigentlich den ganzen Thread mit, oder hast Du Dir nur den ersten Rechenbeitrag von vanity eingemeisselt?

 

Mit reellen Daten kommen wir auf einen internen Zinsfuß von > 7% und nicht 4,9%!

Außerdem beruht Deine Vergleichsberechnung auf einer Investition von 10.000,-- , was einer lächerlichen Anlagengröße von ca. 2,7 kWp entspricht. Dabei ist natürlich logisch, dass die laufenden Kosten stärker zu Buche schlagen, als bei einer größeren. Und dennoch käme kein Ergebnis von 4,96% heraus.

 

Ein Bekannter hat für knapp 17.000,-- in eine PV-Anlage investiert und mit realistischen Daten kommt er auf 7,02%.

 

Gruß

-man

 

P.S. "Der Schnee ist grün!" "Nein, der Schnee ist weiß, das weiß und sieht doch jeder." "Dann sind diese weiß sehenden Leute halt farbenblind!" ;)

Diesen Beitrag teilen


Link zum Beitrag
vanity
Sorry, aber liest Du eigentlich den ganzen Thread mit, oder hast Du Dir nur den ersten Rechenbeitrag von vanity eingemeisselt?

...

Pssst... Im Augenblick geht's weniger um PVA als um die Grundlagen der dynamischen Investitionsrechnung (siehe Link #-2). Wenn die soweit klar ist, also insbesondere, wie unterschiedlich strukturierte Zahlungsströme (unter gewissen Annahmen) miteinander verglichen werden können, können wir zu den konkreten Zahlen zurückkehren.

 

Übrigens: Einen Haken hat die Sache doch noch mit den 7% interner Zins bei PVA: Sinnvoll ist die Rechnung eigentlich nur, wenn man die laufenden Überschüsse wiederum zu 7% anlegen kann, was schwierig werden wird (es sei denn, man investiert dann Jahr für Jahr in eine Kinder-PVA für diesen Betrag B) ).

Diesen Beitrag teilen


Link zum Beitrag
sonnenfreund

Ich als Sonnenfreund habe natürlich auch eine PV-Anlage. :rolleyes:

Hat jemand hier eine gute Excel-Datei, mit der man die Rendite (int. Zinsfuß) einer (zum großen Teil) fremdfinanzierten PV-Anlage bestimmen kann?

Diesen Beitrag teilen


Link zum Beitrag
€-man

Das war ürsprünglich auch mein Gedanke, dass es mit der Wiederanlage zu den Konditionen nicht klappt.

So ist es natürlich auch bei der Zinsanlage, die ebenfalls von einer gleichwertigen Wiederanlage ausgeht.

 

Aus diesem Grund habe ich auch meine eigene Rechnung aufgestellt, die von einer jährlichen Abschreibungsquote ausgeht. Es ist zwar finanzmathematisch nicht korrekt, aber mir ist keine Alternative eingefallen.

 

Gruß

-man

Diesen Beitrag teilen


Link zum Beitrag
losemoremoney
· bearbeitet von losemoremoney

:blushing:

 

Ich nehme alles zurück habe den Fehler im Excel-Sheet gefunden.

 

Danke Vanity.

 

Solar(4,96%)>Bonds(3,37%). Eure Musteranlage rentiert sich im Moment, dank niedriger Zinsen :-

Solar_vs_Bonds.xls

Diesen Beitrag teilen


Link zum Beitrag
vanity
:blushing:

 

Ich nehme alles zurück habe den Fehler im Excel-Sheet gefunden.

 

Danke Vanity.

 

Solar(4,96%)>Bonds(3,37%). Eure Musteranlage rentiert sich im Moment, dank niedriger Zinsen :-

Jetzt passt die Berechnung :thumbsup: (die Ausgangszahlen kann man ja nach Belieben entsprechend der konkreten Angaben vom Thread variieren)

 

Ich als Sonnenfreund habe natürlich auch eine PV-Anlage. :rolleyes:

Hat jemand hier eine gute Excel-Datei, mit der man die Rendite (int. Zinsfuß) einer (zum großen Teil) fremdfinanzierten PV-Anlage bestimmen kann?

Mach's vom Prinzip her so, wie es in Beitrag #66 steht (Zahlungsreihen der Investition und der Finanzierung saldieren). Wenn du gut finanziert hast, kommst du auf eine Bombenrendite. :D

Diesen Beitrag teilen


Link zum Beitrag

Erstelle ein Benutzerkonto oder melde dich an, um zu kommentieren

Du musst ein Benutzerkonto haben, um einen Kommentar verfassen zu können

Benutzerkonto erstellen

Neues Benutzerkonto für unsere Community erstellen. Es ist einfach!

Neues Benutzerkonto erstellen

Anmelden

Du hast bereits ein Benutzerkonto? Melde dich hier an.

Jetzt anmelden

×
×
  • Neu erstellen...