Zum Inhalt springen
Stairway

Lektion III

Empfohlene Beiträge

Stairway

Hallo, da ich einige der Themen, die laut Fahrplan noch angesprochen werden sollten schon mehr oder weniger im Teil I und II angesprochen habe, ist Teil III nun etwas dezimiert. In den letzten Tagen kamen aber immer wieder Beiträge zur Bewertung anhand von den KxVs. Daher möchte ich hier gleich auf die Berechnung dieser Kennzahlen eingehen.

 

Der neue Aufbau des Kapitel III sieht somit so aus:

 

Lektion III

 

III.1: Prognose der Material- und Personalaufwandsquote

III.2: Kunden- und Konkurrenzanalyse

III.3: Umsatzanalyse (Region und Segment)

 

III.1: Bewertungskennzahlen ein Überblick

III.2: KGV

III.3: KBV

III.4: KUV

III.5: KCV

Diesen Beitrag teilen


Link zum Beitrag
Stairway
· bearbeitet von Chemstudent
Bildformatierung korrigiert

III.1: Bewertungskennzahlen – ein Überblick

 

Neben den 4 bekannten KxVs (KGV, KBV, KUV, KCV) gibt es noch zahlreiche weitere Methoden zur Bewertung von Aktien, wichtig sind vor allem die Enterprise Value-Kennzahlen welche einen etwas differenzierteren Ansatz als die KxVs gehen. Hier will ich erstmal nur auf die KxVs eingehen und später ggf. noch auf die EV-Kennzahlen, wobei ich mir für letztere erstmal geeignete Vorstellarten überlegen muss.

 

Bei allen Beispielen werde ich den Geschäftsbericht 2008 der Rational AG verwenden.

 

III.2: KGV

 

Zuerstmal zur Berechnung:

 

1.) Man sucht im Geschäftsbericht in der Gewinn- und Verlustrechnung das Konzernergebnis (oder Jahresüberschuss, Net Income).

 

post-6191-1262091499,56.jpg

 

2.) Dann sucht man die Anzahl der Aktien - damit man den Gewinn je Aktie erhält. Rational bietet den Service, den Gewinn je Aktie explizit auszuweisen und sogar die Anzahl der Aktien direkt in der GuV anzugeben. Meistens ist das nicht der Teil, womit man dann an der entsprechenden Stelle im Anhang den Gewinn je Aktie nachschauen muss.

 

In diesem Fall gibt es keine verwässerenden Optionen oder ähnliches. Sofern es Unterschiede bei der Aktienanzahl gibt, immer die verwässerte Anzahl zur Berechnung heranziehen.

 

post-8776-1263144761,79.jpg

 

Solltet ihr bei der Berechnung zu große/kleine Ergebnisse herausbekommen, dann liegt das meistens daran, dass der Gewinn in Mio. oder Tausend angegeben wird, hier muss man dann entsprechend '000 einfügen.

 

3.) KURS/EPS (EPS = Earnins Per Share = Gewinn je Aktie)

 

Hier muss man immer darauf achten das richtige EPS für das entsprechende Jahr zu verwenden. Es bringt nichts, dass EPS 2008 für den 18.12.2009 zu verwenden, wenn euch also erst 3 Quartale vorliegen, dann rechnet das ganze einfach auf das Jahr hoch - ob ihr dann ein paar Cent zu hoch oder zu tief liegt macht kein Unterschied. Beim KGV wie bei allen anderen Kennzahlen gilt: Es ist keine absolute Zahl, sondern eine relative die erst durch Vergleiche und Bauchgefühl interpretierbar wird.

 

Bei Unternehmen wie Rational (die wir noch nicht analysiert haben) schauen wir also zuerst in den GB 2008 und sehen ein EPS von 5,42 € . Im Q1-3 2008 hatte das Unternehmen ein EPS von 4,07 €, womit also im Q4 2008 1,35 € je Aktie verdient wurden. Schaut man nun noch auf das Ergebnis Q3 2009 und Q1-3 2009 sieht man, dass Rational im ersten Halbjahr schlechter als im ersten Jahr gewirtschaftet hat, aber im Q3 deutliche Kostenverbesserungen erreicht hat, wodurch man für das Q4 ein höheres EPS als im Q4 2008 ansetzten kann. Da das Q3 09 um 28 % höher war als das Q3 08, bleiben wir konservativ und nehmen eine Steigerung des Q4 EPS von 20 % an. Letztendlich nehmen wir also ein EPS von 1,62 € für das Q4 2009 und somit für das Gesamtjahr ein EPS von 5,54 € an.

 

Aktuell steht der Kurs bei 118 € wodurch wir auf ein KGV von 21,29 kommen. Ob dies nun billig oder teuer ist, lässt sich z.B. (nicht immer!) durch einen Vergleich mit der Vergangenheit abstimmen. Prinzipiell kann man ein KGV unter 15 als einigermaßen günstig ansehen, wobei hier immer der Einzelfall betrachtet werden muss.

 

 

III.3: KBV

 

Das KBV berechnet sich analog zum KGV:

 

1.) Eigenkapital in der Bilanz nachschauen:

 

post-8776-1263144766,35.jpg

 

2.) Anzahl der Aktien nachschauen:

 

post-8776-1263144761,79.jpg

 

3.) Eigenkapital / Anzahl Aktien = Buchwert je Aktie

 

Wir erhalten also ein Buchwert je Aktie von 11,74 €, diesen setzen wir nun ins Verhältnis zum aktuellen Kurs (118 €)

 

KBV = Kurs/Buchwert je Aktie = 10,05

 

Dies ist ein sehr hohes Ergebnis - in der Empirie zeigt sich, dass ein hohes KBV oft mit einer hohen Eigenkapitalrendite einhergeht. Im Fall von Rational kommt man auf den phänomenalen Wert von 45 % bei einer sehr hohen Eigenkapitalquote. Das ist auch recht intuitiv, denn ist die Eigenkapitalrendite hoch, so wächst der Buchwert (zu hohe Ausschüttungen mal außen vor) auch sehr schnell, daher bezahlt man auch mehr. Der Buchwert bestimmt auf lange Sicht den Unternehmenswert.

 

€: Boah was soll denn das nun ?! Die Forensoftware verzieht mir irgendwie die Grafiken, wenn ihr draufklickt zeigt es alles richtig an.

Diesen Beitrag teilen


Link zum Beitrag
quinvestor

Als Ergänzung:

 

1) wenn man das KGV (oder KCV) umdreht bekommt man die Gewinnrendite (engl Earnings-Yield). Diese kann man zum Teil mit einer Anleihe vergleichen. Benjamin Graham hat auf diesen Aspekt des öfteren hingewiesen. Angenommen die Gewinne sind sehr stabil und es gibt kein Risiko des Bankrotts. Dann ist eine Aktie eine Anleihe mit möglicherweise sogar steigenden Coupons. Eine Komplikation ergibt sich dadurch, dass die Gewinne nicht umbedingt in Form der Dividenden direkt ausgeschüttet werden, aber prinzipiell ist die Gewinnrendite schon ein ganz guter Indikator. Hat ein Unternehmen ein KGV von 5 ist die Gewinnrendite 20%, ein sehr guter Wert. Ist das KGV 30 ist die Gewinnrendite 3,3%, ein grottenschlechter Wert. Eine sehr grobe Faustregel ist: für schlechte Unternehmen kann man ein KGV von 5 zahlen, für normale Unternehmen 10, für herrvoragende Unternehmen 15. Alles über 20 ist wie Graham sagt reine Spekulation, denn bei 5% Rendite kann man in aller Regel in die konkurrendieren Staatsanleihen investieren. Ein KGV von 20 kann nur dann fair sein, wenn die Gewinne drastisch ansteigen, und das ist meistens nicht bekannt (=Spekulation).

 

2) wenn die Gewinne sich auf das letzte Jahr beziehen bzw. auf die letzen 4 Quartale nennt man das KGV-Verhältnis (engl PE Ratio) trailing PE. Nimmt man die zukünftig geschätzten Gewinne heißt das KGV forward PE. Bei comdirekt sind z.B. für jede Aktie die erwartete Dividendenrendite ausgewiesen, z.B. bei Daimler DIVe: 1,41%.

Diesen Beitrag teilen


Link zum Beitrag
Stairway

Danke quinvestor, das sind natürlich wertvolle und richtige Hinweise.

 

Dann noch schnell die beiden letzten Bewertungskennzahlen nachschießen:

 

III.4: KUV, III.5: KCV

 

Das Kurs-Umsatz-Verhältnis wird nun jeder selbst hinbekommen (Bilder lass ich weg, falls ein Mod den Fehler beheben könnte wäre das klasse).

 

(1) Umsatz / Anzahl Aktien

(2) Kurs / (1)

(3) Interpretieren:

 

Das KUV ist eine umstrittene Kennzahl, da der Umsatz ansich keine Aussagekraft hat. Jedoch zeigt sich in der Betrachtung, dass sich das KUV oft an der Umsatzrendite (siehe Lektion I) orientiert - dies macht auch Sinn, denn wenn man mit 1 mehr Umsatz viel Gewinn macht, dann ist mir dieser 1 mehr Umsatz auch mehr Wert. Mit dem KUV muss man sehr viel Erfahrung sammeln um zu einer richtigen Interpretation zu gelangen - also zumindest meiner Meinung nach ist da viel Bauchgefühl mit drin. Wichtig ist die Kennzahl im Bezug auf Unternehmen die Verluste schreiben, wobei ich auch hier keine konkrete Anleitung mit auf den Weg geben kann.

 

KCV:

 

Wie aus den letzten 3 Lektionen hervorgegangen sein sollte, bin ich ein großer Fan des Cashflows - auf was es in einem Unternehmen letztlich ankommt, ist der Freecashflow. Jedoch würde ich zur Berechnung des KCV eher den operativen Cashflow heranziehen. Der Grund liegt in der geringeren Streuung - große Projekte verzerren den Freecashflow einfach zu stark. Daher betrachte ich diesen eher über EV/FCF Kennzahlen (wobei da das Problem bleibt) und über die Sachinvestitionsquote.

 

Bei den meisten Bewertungen hier im Forum gebe ich allerdings auch das KCV auf Basis des operativen Cashflows nicht an - das Problem ist der Einfluss des Working Capitals, während in guten Zeiten viel WC gebraucht wird und damit der operative Cashflow steigt, wird in schlechten Zeiten das WC tendenziell abgebaut und ein hoher operativer Cashflow ausgewiesen. Dies hat zur Folge, dass Unternehmen in Aufschwungphase zu teuer und in Abschwungphase zu billig bewertet werden. Das ist zwar ein netter Effekt, aber für ungeübte auch brandgefährlich.

 

Esenziell ist also (meiner Meinung nach) das man den Cashflow ganz genau beobachtet und den Schwerpunkt auf diesen (inkl. Freecashflow) legt. Für eine konkrete Bewertungskennzahl taugt der Cashflow aber nur bedingt.

Diesen Beitrag teilen


Link zum Beitrag
Reigning Lorelai

Dann noch schnell die beiden letzten Bewertungskennzahlen nachschießen:

 

III.4: KUV, III.5: KCV

 

Das Kurs-Umsatz-Verhältnis wird nun jeder selbst hinbekommen (Bilder lass ich weg, falls ein Mod den Fehler beheben könnte wäre das klasse).

 

(1) Umsatz / Anzahl Aktien

(2) Kurs / (1)

(3) Interpretieren:

Grundsätzlich mal würde mich interessieren welchen Kurs du denn verwendest. Denn du kannst ja nicht immer den aktuellen Kurs nehmen da sonst bei einem steigenden Gewinn und einer entsprechend steigenden Aktie alte Ratios sehr hoch ausfallen. Jahresanfangskurs, Mittelkurs, Jahresendkurs, oder Zeitpunkt der Veröffentlichung... dieser Faktor wird von vielen vernachlässigt ist aber sehr wichtig und essentiell da teilweise heftige Bewertungsunterschiede entstehen können.

 

Das KUV ist eine umstrittene Kennzahl, da der Umsatz ansich keine Aussagekraft hat.
das sehe ich ganz anders. Der Umsatz hat sehr viel Aussagekraft. Zusammen mit dem operativen Cashflow die wertvollste Kennzahl vor dem KBV.
Jedoch zeigt sich in der Betrachtung, dass sich das KUV oft an der Umsatzrendite (siehe Lektion I) orientiert - dies macht auch Sinn, denn wenn man mit 1 mehr Umsatz viel Gewinn macht, dann ist mir dieser 1 mehr Umsatz auch mehr Wert. Mit dem KUV muss man sehr viel Erfahrung sammeln um zu einer richtigen Interpretation zu gelangen - also zumindest meiner Meinung nach ist da viel Bauchgefühl mit drin. Wichtig ist die Kennzahl im Bezug auf Unternehmen die Verluste schreiben, wobei ich auch hier keine konkrete Anleitung mit auf den Weg geben kann.
Viele Experten sagen man soll das KUV bei verlustreichen Unternehmen hernehmen weil alle anderen Ratios keine Aussagekraft haben. KCV meist negativ, KBV hat keine Aussagekraft weil zukünftige Verluste die EK-Basis weiter schmälern. KGV kann ohnehin nicht berechnet werden. Und genau hier kommt die Stärke des KUV ins Spiel. Das kann ich immer berechnen. Welchen Umsatz bin ich bereit zu zahlen? Bei börsennotierten Unternehmen und größeren Gesellschaften ist ein halber Umsatz ein "normaler - leicht ambitionierter Preis". D.h. ein Unternehmen das 500 Mio Wert ist an der Börse sollte nen Umsatz von 1 Milliarde haben. In kleineren Sektoren ist auch mal 1/3 eher geeignet. Daher sollte die Kennzahl zwischen 0.3 und 0.4 betragen. Alles was darunter ist muss man anschauen warum es so extrem günstig ist.

 

KCV:

 

Wie aus den letzten 3 Lektionen hervorgegangen sein sollte, bin ich ein großer Fan des Cashflows - auf was es in einem Unternehmen letztlich ankommt, ist der Freecashflow.

der FCF ist in meinen Augen nicht annähernd so interessant wie der operative CF. Dieser sagt dir genau was in deinem Geschäft passiert ist. z.B. ob du deine Umsatzerlöse nur dadurch erzielt hast dass du schlechtere Zahlungskonditionen akzeptiert hast usw. Daher muss auch der operative CF verwendet werden um das KCV zu berechnen. Hier hast du also recht. Ich würde aber jedem raten die Finger davon zu lassen den operativen CF zu schätzen. Das ist unmöglich. Die GUV zu schätzen ist schon schwer genug.

 

Der Freecashflow wird von mir kaum betrachtet. Das sehe ich auch wenn ich mir die Kassenposition anschaue wie sie sich verändert hat. Vielmehr ist interessant zu sehen beim Cashflow man pro 100 Euro Umsatz erzielt hat. Das nennt man die Umsatzverdienstrate --> operativer Cashflow * 100 / Umsatz Je höher desto besser natürlich. Hier die Zeitreihe verfolgen und sehen ob das Cashmanagement ordentlich klappt --> dann anschließend kann man sich genauer anschauen wie das erwirtschaftete Geld ausgegeben wurde. Wurden Kredite zurückgeführt, Dividenden ausgeschüttet oder Investitionen getätigt.. Daher betrachte ich eher wie das erwirtschaftete Geld eingesetzt wurde. Das Ergebnis selber interessiert mich dann weniger.

Diesen Beitrag teilen


Link zum Beitrag
Stairway

Grundsätzlich mal würde mich interessieren welchen Kurs du denn verwendest. Denn du kannst ja nicht immer den aktuellen Kurs nehmen da sonst bei einem steigenden Gewinn und einer entsprechend steigenden Aktie alte Ratios sehr hoch ausfallen. Jahresanfangskurs, Mittelkurs, Jahresendkurs, oder Zeitpunkt der Veröffentlichung... dieser Faktor wird von vielen vernachlässigt ist aber sehr wichtig und essentiell da teilweise heftige Bewertungsunterschiede entstehen können.

 

Hallo Wayne,

 

ja zwei wichtige Punkte die du da ansprichst, ich war vorhin in zu großer Eile, das hätte angesprochen werden müssen. Also: Für Vergangenheitsdaten empfehle ich die Jahresdurchschnitte auf Quartalsbasis zu nehmen, als den Kurs am Q1,Q2,Q3 und Q4 und dann /4. Für die aktuelle Bewertung natürlich auch den aktuellen Kurs. Wenn der Kurs sehr stark geschwankt hat, dann muss man natürlich das Hirn einschalten und überlegen was sinnvoll ist. Bei AIG z.B. ist der Kurs in kurzer Zeit sehr stark abgeschmiert, d.h. da kann im Mittel ein merkwürdiger Wert herauskommen.

 

das sehe ich ganz anders. Der Umsatz hat sehr viel Aussagekraft. Zusammen mit dem operativen Cashflow die wertvollste Kennzahl vor dem KBV.

 

Unglücklich formuliert: Ich wollte ausdrücken, dass dir Umsatz allein überhaupt nichts bringt. Siehe Arcandor, GM etc - in der Praxis hat sich das KUV (auch für mich) als wertvollste Kennzahl herausgebildet - die Gründe habe ich ja oben kurz kundgetan.

 

Danke fürs Feedback :thumbsup:

Diesen Beitrag teilen


Link zum Beitrag
quinvestor

das sehe ich ganz anders. Der Umsatz hat sehr viel Aussagekraft. Zusammen mit dem operativen Cashflow die wertvollste Kennzahl vor dem KBV. Viele Experten sagen man soll das KUV bei verlustreichen Unternehmen hernehmen weil alle anderen Ratios keine Aussagekraft haben. KCV meist negativ, KBV hat keine Aussagekraft weil zukünftige Verluste die EK-Basis weiter schmälern. KGV kann ohnehin nicht berechnet werden. Und genau hier kommt die Stärke des KUV ins Spiel. Das kann ich immer berechnen.

 

Welche "Experten" sind das denn?

Diesen Beitrag teilen


Link zum Beitrag
Reigning Lorelai

zu den Kursen: Also ich nehme meine Datenbank die ich seit 2000 pflege stets den Aktienkurs her an dem der Geschäftsbericht letztendlich veröffentlicht worden ist. Das ist ein hoher Pflegeaufwand. aber mit einem guten Finanzkalender geht es eigentlich und gerade übers web erhält man via Email die Geschäftsberichte per Email zum jeweiligen Veröffentlichungsdatum. Wenn ich das Datum der Veröffentlichung nicht habe, dann tendiere ich dazu den Kurs so zu wählen, dass ich den Berichtszeitraum perfekt abdecke. Sprich: Berichtsjahr = Geschäftsjahr = 31.12.2007 dann nehme ich den Aktienkurs vom 31.12.2007 wohlwissend dass der Bericht erst im Laufe des Jahres 2008 veröffentlicht wird.

 

Welche "Experten" sind das denn?

Hauptsächlich jene die Bücher geschrieben haben wie z.b. Professoren... und ich bin eigentlich keiner der alles nachplabbert aber in dem Fall stimme ich grundsätzlich schon zu... mit der Einschränkung jedoch, dass man genau hinschauen muss und sich nicht nur nach den Kennzahlen richten darf!!!!

Diesen Beitrag teilen


Link zum Beitrag
rainbow
· bearbeitet von rainbow

zu den Kursen: Also ich nehme meine Datenbank die ich seit 2000 pflege stets den Aktienkurs her an dem der Geschäftsbericht letztendlich veröffentlicht worden ist. Das ist ein hoher Pflegeaufwand. aber mit einem guten Finanzkalender geht es eigentlich und gerade übers web erhält man via Email die Geschäftsberichte per Email zum jeweiligen Veröffentlichungsdatum. Wenn ich das Datum der Veröffentlichung nicht habe, dann tendiere ich dazu den Kurs so zu wählen, dass ich den Berichtszeitraum perfekt abdecke. Sprich: Berichtsjahr = Geschäftsjahr = 31.12.2007 dann nehme ich den Aktienkurs vom 31.12.2007 wohlwissend dass der Bericht erst im Laufe des Jahres 2008 veröffentlicht wird.

 

Hmm, sehr interessant, was Du schreibst und gleich mal eine Frage dazu: Welchen Kurs würdest Du z.B. bei Henkel (GB 2008 auf Seite 15) nehmen, wenn dort der Kurs zum Jahresende, der höchste Börsenkurs und der niedrigste Börsenkurs angegeben wird und außerdem gibt es noch unterschiedliche Kurse wegen der Stammaktien und Vorzugsaktien, wie ermittelt man da einen vernünftigen Durchschnitt?

 

Und eine weitere Frage wäre, welchen Kurs würdest Du heranziehen – Beispiel Henkel - um das durchschnittliche KGV für das Geschäftsjahr zu ermitteln?

 

Für eine kurze Antwort wäre ich sehr dankbar.

 

Gruss

 

Rainbow

Diesen Beitrag teilen


Link zum Beitrag
Reigning Lorelai

Eine kurze Antwort? Wow okay dann versuche ich es kurz zu halten

 

Hmm, sehr interessant, was Du schreibst und gleich mal eine Frage dazu: Welchen Kurs würdest Du z.B. bei Henkel (GB 2008 auf Seite 15) nehmen, wenn dort der Kurs zum Jahresende, der höchste Börsenkurs und der niedrigste Börsenkurs angegeben wird

keinen von diesen

 

und außerdem gibt es noch unterschiedliche Kurse wegen der Stammaktien und Vorzugsaktien,
ich berechne immer den Wert der Stammaktien. Vorzugsaktien versuche ich stets zu vermeiden. Denk zum Beispiel an VW. Wirklich interessant waren nur die Stämme und nicht Vorzüge.. Denn die sind es die man braucht wenn man Anteile am Unternehmen haben will.

 

wie ermittelt man da einen vernünftigen Durchschnitt?

Wieso Durchschnitt? Also für Henkel habe ich exakt den Kurs am Ende des Veröffentlichungsdatums verwendet. In dem Fall sind das 18.75

 

Und eine weitere Frage wäre, welchen Kurs würdest Du heranziehen Beispiel Henkel - um das durchschnittliche KGV für das Geschäftsjahr zu ermitteln?

Ich benutze nie ein durchschnittliches KGV. Wenn aber dann eher die Endkurse der einzelnen Quartale:

 

--> 1/1/; 3/31/; 6/30/; 9/30/; 12/31/

Generell würde ich dir empfehlen das Shiller-KGV zu verwenden

 

Für eine kurze Antwort wäre ich sehr dankbar.

kurz genug?

 

Regards

The Rainbow Lorelai

Diesen Beitrag teilen


Link zum Beitrag
rainbow

Hallo R.L.,

 

ich denke, dass Du ein Mann bist und deshalb kann ich Dir leider für Deine einleuchtenden Hinweise keinen Schmatzer auf die Wange drücken. :lol:

 

Trotzdem vielen Dank für Deine Bemühungen, es war für mich sozusagen ein Aha-Erlebnis. :thumbsup:

 

Gruss

 

Rainbow

 

PS: Ja, kurz genug war es auch.

Diesen Beitrag teilen


Link zum Beitrag
Fernstudent

Darf ich hier als Newbee im Forum auch ein Lob los werden? Egal. ich machs trotzdem

 

Sehr gute Arbeit !!!! Danke dafür !!!

Diesen Beitrag teilen


Link zum Beitrag
Stairway

IFRS für US Unternehmen ab 2014

 

Das wäre natürlich ein Ding!

Diesen Beitrag teilen


Link zum Beitrag
Sladdi

Hi,

sind sich IFRS und US-GAAP nicht sehr ähnlich? In diesem Fall sollte die Umstellung keine größeren Auswirkungen haben.

 

Gruß

Sladdi

Diesen Beitrag teilen


Link zum Beitrag
Stairway

Hi,

sind sich IFRS und US-GAAP nicht sehr ähnlich? In diesem Fall sollte die Umstellung keine größeren Auswirkungen haben.

 

Gruß

Sladdi

 

Na ja, es hat schon noch einige Unterschiede - nicht so gravierend wie bei HGB und IFRS aber dennoch würde es zum besseren Vergleich helfen.

Diesen Beitrag teilen


Link zum Beitrag
Reigning Lorelai

Hi,

sind sich IFRS und US-GAAP nicht sehr ähnlich? In diesem Fall sollte die Umstellung keine größeren Auswirkungen haben.

 

Gruß

Sladdi

Gerade bei den Aktivierungswahlrechten und Rückstellungen gibt es schon Unterschiede. Grundsätzlich sehe ich aber diese Entscheidung sehr positiv. Jedoch ist es in der Tat so, dass im US-GAAP als auch im IFRS der Anteilseigner im Vordergrund steht während das HGB den Gläubiger in den Vordergrund rückt. Letzteres ist meiner Meinung nach sinnvoller.

Diesen Beitrag teilen


Link zum Beitrag
rabie

saß bis eben noch in der Unibib und bin beim Nacharbeiten über diese KGV Variante gestolpert... dachte mir ich schreibs mal rein :-)

@Stair du hast ja hier Modrechte wenn dir was nicht passt kannst du gerne rumkorrigieren oder einfach schreiben ich werd später nochmal drüber schauen...

 

Also Anmerkung zum KGV- Gordon‐ Wachstumsmodell

 

Unter der Annahme dass die Ausschüttungsquote konstant bleibt und der Return on Equity (ROE) (z.dt Eigenkapitalrendite) sich nicht ändert, wachsen Dividende und Gewinn pro Aktie um den prozentualen Wachstumsfaktor g: post-14768-1273879105,12.jpg

 

Jetzt schätzen wir die Eigenkapitalkosten anhand der Dividende

post-14768-1273879200,8.jpg

Fügen die 2 Formeln zusammen (vereinfacherweise ein paar schritte weggelassen) und der Wert des Eigenkapitals entspricht dann dem Kapitalwert des zukünftigen Zahlungsstroms an die Eigenkapitalgeber.

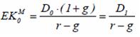
post-14768-1273878486,24.jpg

 

Aus den drei Elementen Dividende(D) im nächsten Jahr , Diskontierungszins bzw. Eigenkapitalkosten (r ) und der Wachstumsrate g können wir damit den Marktwert des Eigenkapitals ermitteln.

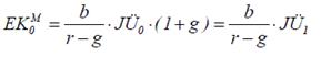
Dabei gilt D = b*JÜ und b ist die AusschüttungsQUOTE. Also fix umformen und wir erhalten

post-14768-1273878809,57.jpg

Im Modell heißt der KGV, Gewinnmultiplikator, sieht dann wie folgt aus

post-14768-1273878901,55.jpg

Beziehen wir das KGV auf eine einzelne Aktie, dann zeigt der Wert den Aktienkurs als vielfaches vom Gewinn je Aktie im nächsten Jahr. Möchte man den KGV des laufenden Jahres errechnen, muss man noch eine kleinigkeit umstellen

post-14768-1273879495,57.jpg

 

Es geht noch weiter aber das wird dann zu ausführlich.

Das können wir ja die Tage mal durchspielen ob wir die Werte aus dem GB herauslesen können :-)

 

Beste Grüße & gute Nacht

 

rabie

Diesen Beitrag teilen


Link zum Beitrag
Stairway
· bearbeitet von Stairway

saß bis eben noch in der Unibib und bin beim Nacharbeiten über diese KGV Variante gestolpert... dachte mir ich schreibs mal rein :-)

@Stair du hast ja hier Modrechte wenn dir was nicht passt kannst du gerne rumkorrigieren oder einfach schreiben ich werd später nochmal drüber schauen...

 

Also Anmerkung zum KGV- Gordon‐ Wachstumsmodell

 

Unter der Annahme dass die Ausschüttungsquote konstant bleibt und der Return on Equity (ROE) (z.dt Eigenkapitalrendite) sich nicht ändert, wachsen Dividende und Gewinn pro Aktie um den prozentualen Wachstumsfaktor g: post-14768-1273879105,12.jpg

 

Jetzt schätzen wir die Eigenkapitalkosten anhand der Dividende

post-14768-1273879200,8.jpg

Fügen die 2 Formeln zusammen (vereinfacherweise ein paar schritte weggelassen) und der Wert des Eigenkapitals entspricht dann dem Kapitalwert des zukünftigen Zahlungsstroms an die Eigenkapitalgeber.

post-14768-1273878486,24.jpg

 

Aus den drei Elementen Dividende(D) im nächsten Jahr , Diskontierungszins bzw. Eigenkapitalkosten (r ) und der Wachstumsrate g können wir damit den Marktwert des Eigenkapitals ermitteln.

Dabei gilt D = b*JÜ und b ist die AusschüttungsQUOTE. Also fix umformen und wir erhalten

post-14768-1273878809,57.jpg

Im Modell heißt der KGV, Gewinnmultiplikator, sieht dann wie folgt aus

post-14768-1273878901,55.jpg

Beziehen wir das KGV auf eine einzelne Aktie, dann zeigt der Wert den Aktienkurs als vielfaches vom Gewinn je Aktie im nächsten Jahr. Möchte man den KGV des laufenden Jahres errechnen, muss man noch eine kleinigkeit umstellen

post-14768-1273879495,57.jpg

 

Es geht noch weiter aber das wird dann zu ausführlich.

Das können wir ja die Tage mal durchspielen ob wir die Werte aus dem GB herauslesen können :-)

 

Beste Grüße & gute Nacht

 

rabie

 

Hey rabi,

 

kannst ja gerne mal vorstellen wie das ganze mit tatsächlichen Zahlen aussieht. Ich kenne dieses Verfahren auch und mag es überhauptnicht. Die Finance Fakultäten wollen hier immer ihre Mathematik und Annahmen mit ins Spiel bringen, aber das funktioniert in der echten Welt eben nicht. Es lässt sich leider kaum ein vernünftiger Eigenkapitalkostensatz, Wachstumsraten und noch die EKR für die Zukunft bestimmen. Soll heisen: rein logisch hat das System schon etwas, meiner Meinung nach ist es für tatsächliche Unternehmensbewertung aber unbrauchbar. Die Wissenschaft sollte sich damit abfinden, das Unternehmensbewertung immer Bauchgefühl, Erfahrung und gesunden Menschenverstand vorraussetzt. Aber ich bin gespannt auf deine Zahlen.

 

z.B.

post-14768-1273879200,8.jpg

 

Was macht man bei Unternehmen die keine Dividene ausschütten etc. ? Ich mag es ja prinzipiell nicht, dass in Finance alle auf die Dividenden aus sind.

Diesen Beitrag teilen


Link zum Beitrag
rabie
· bearbeitet von rabie

1. Normal wie oben schon beschrieben.

Hier hab ich erstmal den aktuellen Fielmann GB 2009 erhangezogen und die einzelnen Werte abgetragen, da kannst gleich mal schauen ob ich das richtig gemacht habe. (Angaben in Tsd)

 

JÜ= 114.348

Marktkapitalisierung = Aktienanzahl*Kurs =42Mio * 57 € = 2.394.000

 

Auschüttungsquote (b ) = dividendensumme/JÜ = 85.358/114.348 = 0,7464

 

Wachstum (g) = (r-B )*JÜ/EK = (1-0,7464)*( 114.348/497.688) = 0,0583 = 5,83% dies ist das Wachstum auf der tatsächlichen Basis um die Werte Wie JÜ zurechtfertigen.

 

Eigenkapitalkosten ® = Dividente/EK + g = (85.358/2394000) + 0,0583 = 9,39%

 

post-14768-1273878901,55.jpg = 0,7464 / (0,0939-0,0583)=20,96

(KGV=Marktkapitalsierung/JÜ=20,9360898)

 

2. Zum Problem, Unternehmung die keine Dividende Ausschüttet.

Wenn eine Unternehmung nix ausschüttet... ermittelt man wieviel sie auschütten könnte. Die grundsätzliche Herangehensweise zur Ermittlung des Marktwertes stimmt hier mit dem Gordon Wachstumsmodell überein. Der Marktwert entspricht also der Summe aller erwarteten abdiskontieren Zuflüsse an die EK Geber. Diese Zuflüsse werden als FreeCashflow an die EK geber verstanden, abgekürzt FCFE => sind also die Zuflüsse die Potentiell ausgeschüttet werden könnten.

 

FCFE = Operative CF + CF aus Investition + Nettokreditaufnahme

 

Das kann man ja eigentlich direkt aus dem GB herauslesen oder jeweils die einzelnen Werte als Ausgangswert nehmen.

Ist aber für den weiteren verlauf nur theoretisch relevant

Man muss diesen FCFE dann wieder abdiskontieren…. Vereinfacht mit (r-g) also post-14768-1274299580,13.jpg

Jetzt haben wir aber immer noch das Problem mit dem r.

 

die eigentkapitalkosten ® kann man ja auch anders ausdrücken...der begriff ansich ist irreführend, da es sich hierbei nicht wirklich um kosten handelt, im gegesatz zu den vertraglichen verinbarten fremdkapitalzinsen haben die ekgeber keinen vertralgichen anspruch auf eine verzinsung ihres ek. Ihnen steht lediglich der fcfe zu. Das sieht dann wie folgt aus

 

Eigenkapitalkosten ( k ) = rf + risikoprämie

 

rf stellt hier die Verzinsung einer risikolosen Anlage dar (zb. Bundesanleihe, Sparbuch etc) Wobei die Anleihenverzinsung ja derzeit überdurchschnittlich sind. Die Risikoprämie ist etwas komplizierter zu ermitteln…

Risikoprämie = (durchschnittliche Rendite am Aktienmarkt (z.b. Daxrendite) - rf) * beta

 

Durchschnittliche Rendite des Daxes der letzten 5 Jahre beträgt 5,88%

Die Anlageform in ein Sparbuch beträgt derzeit von1,4%-2,3%, daher annahmsweise 2%

Das beta kann man auch noch berechnen, das wird aber zu heftig (is ohnehin schon fast zuviel) man kann das beta in der reuters datenbank einsehen oder in den bekannten börsenzeitschriften wie handelsblatt oder financial times. (siehe auch CAPM) das beta fielmann für 3 Jahre beträgt laut handelsblatt 0,48

 

Risikoprämie = (0,0588 - 0,02 )*(0,48) = 0,0186 = 1,86%

Eigenkapitalkosten (k) = 0,02 + 0,0186 = 0,0386 = 3,86%

 

Allgmein gilt: EK = b/(k-g)*jü => da wir ja nun annahmeweise keine Ausschütung haben nehmen wir die ermittlung auf basis des Free Cashflows, es gilt

Marktkapitalisierung EK = FCFE / (k-g)

Natürlich können wir jetzt auch nicht das g von oben einfach übernehmen da wir keine Ausschüttungsquote haben und praktisch das zukünfitge Wachstum haben wollen.

 

g = Gesamtkapitalretabilität * (Nettoinvestition / EBIT*(1-t))

Nettoinvestition = Bruttoinvestition - Abschreibung

Rgk = (EBIT*(1-t))/GK

Rgk = (159.603*(1-0,3))/662.725 = 16,858%

 

g = 0,16858 * 9122/(159.603*(1-0,3)) = 13,764% (schüttet man nix aus hat man auch mehr wachstum)

Die Formel fürs KGV würde dann wie folgt aussehen KGV = 1/(k-g) = 1/(0,0386-0,16858) = -7,69

Ein Negativer KGV ist für kurzfristige Sicht sehr gut vorallem bei jungen stark wachstenden Unternehmen Emerging Markets findet man so etwas. Allerdings ist ein negativer KGV nicht anstrebsam da auf ein starkes Wachstum auch ein genauso starker Korrektureffekt auftritt, Stichwort :"economic bubble".

 

Großer nachteil besteht darin das diese bewertungsmethode völlig unabhängig von der höhe des bilanziellen eigenkapitals und der aktuellen bewertung der aktiva ist.

 

Gruß

 

pS: so fertig allerdings würde ich auch deine methode bevorzugen ^^

Diesen Beitrag teilen


Link zum Beitrag
Prof. Value
· bearbeitet von Prof. Value

Frage zum KBV, am Beispiel AS Creation: http://www.as-creati...nzberichte.html (--> Geschäftsbericht 2009) EK: 83.774.496,52 3.000.000 Aktien (Anhang 10) Schlusskurs (2009): 25,36 Marktkapitalisierung am Jahresende: 69.901 d.h. EK je Aktie beträgt 83.774.496,52 / 3.000.000 = 27,92 Euro KBV = 25,36 / 27,92 =0,91 In dem Buch "100 Finanzkennzahlen" hab ich für das KBV folgende Formel gefunden: Marktkapitalisierung / Buchwert des EK d.h. 69.901 * 1000 / 83.774.496,52 = 0,83 So, warum kommen bei beiden Methoden unterschiedliche Ergebnisse raus? Was ist denn nun das "richtige" Ergebnis?

Diesen Beitrag teilen


Link zum Beitrag
Stairway
· bearbeitet von Stairway

Frage zum KBV, am Beispiel AS Creation: http://www.as-creati...nzberichte.html (--> Geschäftsbericht 2009) EK: 83.774.496,52 € 3.000.000 Aktien (Anhang 10) Schlusskurs (2009): 25,36 Marktkapitalisierung am Jahresende: 69.901 d.h. EK je Aktie beträgt 83.774.496,52 / 3.000.000 = 27,92 Euro KBV = 25,36 / 27,92 =0,91 In dem Buch "100 Finanzkennzahlen" hab ich für das KBV folgende Formel gefunden: Marktkapitalisierung / Buchwert des EK d.h. 69.901 * 1000 / 83.774.496,52 = 0,83 So, warum kommen bei beiden Methoden unterschiedliche Ergebnisse raus? Was ist denn nun das "richtige" Ergebnis?

 

Hallo,

 

das liegt daran, dass du nicht verstanden hast (nicht böse nehmen), dass beide Kennzahlen genau das gleiche berechnen, nur jeweils um die Aktienanzahl gekürzt/erweitert. Dein Fehler liegt also in der Aktienzahl, die liegt bei ~2.7 Mio. und nicht bei 3.0 Mio.

 

Grüße Stairway

Diesen Beitrag teilen


Link zum Beitrag
Prof. Value

Frage zum KBV, am Beispiel AS Creation: http://www.as-creati...nzberichte.html (--> Geschäftsbericht 2009) EK: 83.774.496,52 3.000.000 Aktien (Anhang 10) Schlusskurs (2009): 25,36 Marktkapitalisierung am Jahresende: 69.901 d.h. EK je Aktie beträgt 83.774.496,52 / 3.000.000 = 27,92 Euro KBV = 25,36 / 27,92 =0,91 In dem Buch "100 Finanzkennzahlen" hab ich für das KBV folgende Formel gefunden: Marktkapitalisierung / Buchwert des EK d.h. 69.901 * 1000 / 83.774.496,52 = 0,83 So, warum kommen bei beiden Methoden unterschiedliche Ergebnisse raus? Was ist denn nun das "richtige" Ergebnis?

 

Hallo,

 

das liegt daran, dass du nicht verstanden hast (nicht böse nehmen), dass beide Kennzahlen genau das gleiche berechnen, nur jeweils um die Aktienanzahl gekürzt/erweitert. Dein Fehler liegt also in der Aktienzahl, die liegt bei ~2.7 Mio. und nicht bei 3.0 Mio.

 

Grüße Stairway

 

 

Warum liegt die bei 2,7 Mio? Laut Anhang ist das Grundkapital eingeteilt in 3 Mio Aktien und schließlich ist ja JEDE dieser Aktien ein Stück am EK beteiligt und nicht nur die Aktien die im freien Handel sind (oder was auch immer die Zahl 2,7 Mio zu bedeuten hat)

Diesen Beitrag teilen


Link zum Beitrag
Prof. Value

Die Anzahl der ausstehenden Aktien. Warum nicht die GESAMTE Anzahl der Aktien?

Diesen Beitrag teilen


Link zum Beitrag
Prospektständer
· bearbeitet von jschoeck

Weil die Differenz Gesamt und Ausstehend von dem Unternehmen selber gehalten/zurückgekauft wurden. Das Unternehmen zahlt ja auch nicht an die selber gehaltenen Anteile Dividende.

Diesen Beitrag teilen


Link zum Beitrag

Erstelle ein Benutzerkonto oder melde dich an, um zu kommentieren

Du musst ein Benutzerkonto haben, um einen Kommentar verfassen zu können

Benutzerkonto erstellen

Neues Benutzerkonto für unsere Community erstellen. Es ist einfach!

Neues Benutzerkonto erstellen

Anmelden

Du hast bereits ein Benutzerkonto? Melde dich hier an.

Jetzt anmelden

×
×
  • Neu erstellen...