Zum Inhalt springen

Empfohlene Beiträge

Gerald1502

KFZ-Versicherung

 

Wer sich ein neues oder gebrauchtes Auto kauft, ist laut Gesetz dazu verpflichtet dieses zu versichern. Ohne eine KFZ-Haftpflichtversicherung darf nämlich kein KFZ im Straßenverkehr gefahren werden. Daher sollte man sich, bevor man die ersten Kilometer mit dem eigenen KFZ im Straßenverkehr teilnimmt versichern, damit man im Schadensfall nicht mit leeren Händen dasteht.

 

Welche Versicherungen gehören rund um das Auto dazu?

 

  • Als Pflichtversicherung zählt die Kfz-Haftpflichtversicherung / ohne Diese darf kein KFZ bewegt werden
  • Kaskoversicherungen / unterteilt in Voll - und Teilkasko / mit oder ohne Selbstbeteiligung
  • Schutzbrief
  • Verkehrs-Rechtsschutzversicherung

Worauf müssen Sie bei einem Abschluss einer KFZ-Versicherung achten und woraus setzt sich die Prämie zusammen

 

Als erstes sei gesagt, dass man sich einen Versicherer aussuchen sollte, der auch schnell und unkompliziert den Schaden im Schadensfall reguliert, da es einige Versicherer gibt, die da wegen wenigen Euros sehr knausrig sind. Lieber etwas mehr an Beitrag bezahlen, als sich dann im Schadensfall herumzuärgern.

 

Pflichtversicherung KFZ Haftpflichtversicherung

 

Die KFZ Haftpflichtversicherung leistet bis zur Höhe der vertraglich vereinbarten Deckungssumme (in der Regel 100 Mio ) Schadensersatz bei begründeten Ansprüchen Dritter und wehrt unberechtigte Forderungen ab.

Sie kommt für die Fälle auf, bei denen durch das versicherte Fahrzeug Personen verletzt oder getötet, Sachen beschädigt oder zerstört bzw. verloren gehen oder Vermögensschäden entstehen.

 

Eigene Schäden deckt die Kfz-Haftpflichtversicherung nicht. Um sich für diese Fälle abzusichern, ist eine zusätzliche Teil- oder Vollkaskoversicherung notwendig.

 

Prämienberechnungsgrundlagen und freiwillige Zusätze in der KFZ Versicherung

 

Merkmale zur Beitragsberechnung bei Pkw

 

  • Beitragsgruppen
  • Regionalklassen
  • Typklassen
  • Alter des Versicherungsnehmers (nicht bei juristischen Personen)

Individuelle Vertragsmerkmale

 

  • Schaden- und Schadenfreiheitsklassen
  • Alter des Fahrzeughalters
  • Berufsstellung (nicht bei juristischen Personen)
  • Alter des Fahrzeugs bei erstmaliger Zulassung auf den Versicherungsnehmer
  • Nutzung des Fahrzeugs und Anerkennung als Betriebsausgabe durch das Finanzamt
  • Alter des jüngsten Fahrers (ab Vollendung des 18. Lebensjahres)
  • Vereinbarung weiterer Fahrer des KFZ / auch mit Altersgrenze vereinbar
  • Vereinbarung einer Werkstattbindung
  • Garage
  • Jährliche Fahrleistung
  • Schutzbrief
  • KFZ Insassenunfallversicherung
  • Immobilieneigentum
  • Weitere Verträge bei derselben Versicherung
  • Nutzer des Fahrzeugs
  • Vereinbarung einer Selbstbeteiligung

Beitragsgruppen

 

  • N Alle Versicherten, die nicht in einer anderen Gruppe versichert werden
  • A Landwirtschaftliche Unternehmer
  • B Beschäftigte des öffentlichen Dienstes
  • D Beschäftigte von Dienstleistungsunternehmen, Energieversorgern
  • P Polizisten
  • H Selbständige Handwerker und deren Familienangehörigen
  • T Beschäftigte von Transportunternehmen

Typklassen und Regionalklassen

 

Die Typ- und Regionalklassen werden jedes Jahr zum 1.Oktober neu ermittelt. Diese geben an, wie die derzeitige Unfall- und / oder Diebstahlstatistik des jeweiligen KFZ in der Region in der man wohnt, ist. Da diese bei jedem Versicherer gleich ist, lohnt sich ein Wechsel der Versicherungsgesellschaft bei einer höheren ermitelten Typ- und Regionalklasse des KFZ nicht.

Man kann den Versicherer aber fragen, ob er Sonderrabatte geben kann.

 

PKW Typklassenverzeichnis

 

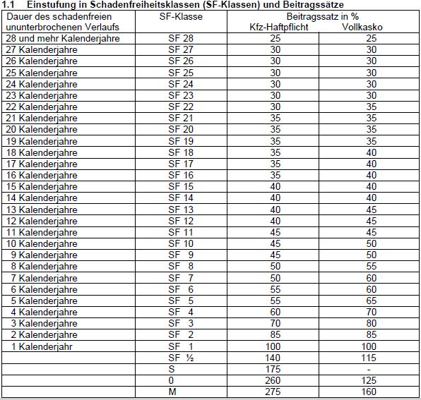
Tabellen / Einstufung der Schadensfreiheitsklassen und Rückstufung der Schadensfreiheitsklassen nach einem Unfall

 

Hinweis:

Die Schadenfreiheitsklassen sind bei jedem Versicherer gleich, nur die Prozente sind von Versicherer zu Versicherer unterschiedlich.

Bei der Teilkaskoversicherung gibt es keine Schadensfreiheitsklassen, daher ist man auch von einer eventuellen Rückstufung nicht betroffen.

 

Der Beitrag einer KFZ Versicherung richtet sich danach, in welche Schadensfreiheitsklasse man eingestuft wird. Daher anbei die dazugehörigen Tabellen der KFZ Haftpflicht und Vollkaskoversicherung.

 

Einstufung in Schadensfreiheitsklassen

post-15109-0-80892600-1353252919_thumb.jpg

 

Rückstufung Haftpflichtversicherung

post-15109-0-14030200-1353253278_thumb.jpg

 

Rückstufung Vollkaskoversicherung

post-15109-0-74211200-1353253298_thumb.jpg

Quelle: Bedingungswerk Debeka

 

Kaskoversicherung / Vollkasko und Teilkasko / Leistungen

 

Die Vollkasko beinhaltet die Leistungen der Teilkaskoversicherung.

 

Leistungen bei der Teilkasko

 

  • Feuer oder Explosion
  • unmittelbare Einwirkung von Sturm, Hagel, Blitzschlag und Überschwemmung
  • Zusammenstoß des sich in Bewegung befinden Fahrzeugs mit Haarwild (z.B. Rehe)
  • Entwendung, insbesondere Diebstahl, unerlaubten Gebrauch durch fremde Personen,
  • Raub und Unterschlagung,
  • Glasbruchschäden
  • durch Kurzschluß verursachte Brand- oder Schmorschäden der Verkabelung

weiterer Schutz bei Vollkasko

 

  • zahlt bei allen Schäden, die am eigenen KFZ durch selbstverschuldete Unfälle enstanden sind
  • wenn kein Verursacher zu ermitteln ist (Fahrerflucht)
  • mutwillige Handlungen fremder Personen
  • wenn der Schadenverursacher nicht haftbar zu machen ist (zum Beispiel bei Schäden durch deliktunfähigen Kindern)
  • wenn wegen fehlendenden Versicherungsschutzes keine Haftpflichtversicherung eintritt und der Unfallgegner zahlungsunfähig ist

Die durchschnittliche jährliche Kilometerleistung

 

Der Versicherungsnehmer gibt vor Vertragsabschluss die womögliche jährliche Kilometerleistung an. Dabei gibt es auch Kilometergrenzen, die für die jeweilige Berechnungsgrundlage des Versicherungsbeitrages verwendet werden.

Kommt der Versicherungsnehmer über die bei Vertragsabschluss gewählte jährliche Kilometerleistung, hat er es der Versicherung laut Bedingungswerk mitzuteilen, sonst kann es auch mal passieren, dass der Versicherer die Leistungen oder Rabatte kürzt oder den Vertrag gänzlich kündigt.

 

Jährliche Kilometergrenzen aufgeteilt in die einzelnen Kilometerklassen

 

Kilometerklasse 1 bis 6.000 km Wenigfahrer

Kilometerklasse 2 bis 9.000 km

Kilometerklasse 3 bis 12.000 km

Kilometerklasse 4 bis 15.000 km

Kilometerklasse 5 bis 20.000 km

Kilometerklasse 6 bis 25.000 km

Kilometerklasse 7 bis 30.000 km

Kilometerklasse 8 über 30.000 km Vielfahrer

 

Rabattschutz

 

Ein Rabattschutz schützt den Versicherungsnehmer insgeheim vor einer Zurückstufung nach einem Unfall in der jeweiligen Schadensfreiheitsklasse der Haftpflicht- oder Vollkaskoversicherung.

 

Beispiel:

 

Der Versicherungsnehmer baut einen Unfall und befindet sich derzeit in der KFZ Haftpflichtversicherung und in der Vollkaskoversicherung in der SF8.

 

Der Versicherer wird den Versicherungsnehmer trotz Rabattschutz insgeheim in der Schadensfreiheitsklasse zurückstufen, indem der Versicherer, je nachdem welche Versicherungsart (Haftpflicht oder die Vollkaskoversicherung) der Unfall zugeordnet wird, 4 Jahre in der SF8 bleiben, bevor die Schadensfreiheitsklasse wieder hoch geht. Sprich von SF8 auf SF9.

 

Ohne Rabattschutz würde der Versicherungsnehmer von der SF8 auf die SF4 zurückgestuft. Er muss dabei auch wieder 4 Jahre den etwas höheren Beitrag bezahlen,

eh er wieder bei der SF8 ist. Da aber jedes Jahr eine Weiterstufung von der SF4 über die SF5 zur SF6 dann SF7 bis zur SF8 stattfindet,

zahlt man jedes Jahr weniger an Beitrag.

Findet die Zurückstufung der Schadenfreiheitsklasse in der KFZ Haftpflichtversicherung statt, bleibt eine Zurückstufung in der Vollkaskoversicherung unberührt. Genauso ist es auch umgekehrt der Fall.

Die Schadensfreiheitsklasse würde sogar im Folgejahr in der Kaskoversicherung auf die SF9 hoch gehen, was einen niedrigeren Beitrag zur folge hat.

 

Bei der Teilkaskoversicherung kann man nicht zurückgestuft werden, da es in der Teilkaskoversicherung keine Schadensfreiheitsklassen gibt.

 

Weitere Umgehung einer Zurückstufung in der Schadensfreiheitsklasse

 

Bei einem Unfall bekommt man meist 100%, 50% oder weniger der Schuld zugewiesen. Zahlt man den entstandenen Schaden selbst, wird man nicht in der Schadensfreiheitsklasse zurückgestuft. Im Folgejahr wird man sogar in der Schadensfreiheitsklasse hochgestuft und die Prozente sinken, was einen niedrigeren Versicherungsbeitrag zur folge hat, was sich natürlich positiv auf den Geldbeutel auswirkt.

 

Bekommt man bei einem Unfall z.B. 100% Schuld zugewiesen und fühlt sich im Recht, dass man nicht Schuld am Unfall ist, kann man sich über den Gang zum Gericht mit einem Anwalt sein Recht einklagen, indem man versucht 50% Teilschuld einzuklagen. Falls es gut läuft, kann man auch vielleicht nur noch z.B. 20% Teilschuld zugesprochen bekommen. Zahlt man also die 20% Teilschuld selber, umgeht man auch einer Zurückstufung der Schadensfreiheitsklasse.

 

Der Gang zum Anwalt und der anschließende Gerichtsweg sollte aber vorher genau geprüft werden. Eine eventuell vorhandene Rechtsschutzversicherung kann da auch helfen.

 

Man kann bei den Äußerungen "weiterstufen", "zurückstufen", "hochstufen" etc ganz schön durcheinander kommen. Daher eine kurze Erläuterung.

 

Erklärung "weiterstufen", "zurückstufen", "hochstufen"

 

Man wird in eine Schadensfreiheitsklasse (SF) beim Abschlus einer KFZ Versicherung eingeteilt. Diese SF geht mit der Anzahl der schadenfreien Jahre nach oben oder wird weitergestuft. Gleichzeitig sinken aber die Prozente der Haftpflicht und einer zusätzlichen Vollkaskoversicherung. (nachzulesen anhand der oben eingefügten Tabelle)

Mit jungen Jahren wird man in eine niedrige Schadensfreiheitsklasse und sehr hohen Prozenten eingestuft. Wie schon erwähnt, wird man mit den Jahren weitergestuft, indem die SF nach oben geht und die Prozente sinken.

 

Baut man einen Unfall, wird man in der Schadensfreiheitsklasse (SF) zurückgestuft und in den Prozenten hochgestuft. Was demzufolge einen höheren Beitrag beinhaltet.

 

Ob sich ein Rabattschutz wirklich lohnt, muss man immer individuell betrachten. Ein Rabattschutz ist immer mit einem gewissen Mehrbeitrag verbunden. Man bleibt aber über eine gewisse Anzahl von Jahren in der jeweiligen SF hängen, eh man wieder weitergestuft wird.

 

Vereinbarung einer Werkstattbindung

 

Die Vereinbarung einer Werkstattbindung hat ihre Vorteile aber auch gravierenden Nachteile und man sollte es vor Vertragsabschluss genau prüfen, ob man eine Werkstattbindung im Vertrag einschließt.

 

Vorteile und Erklärungen:

 

Die Vorteile der Werkstattbindung bestehen darin, dass der Versicherungsnehmer einen niedrigeren Beitrag bezahlt, da der Versicherer einen Partnervertrag mit einer Werkstatt abschließt, die in vielen Fällen günstiger sind als Vertragswerkstätten und der Versicherer die Einsparungen durch Prämienrabatte dem Versicherungsnehmer weitergibt.

Eine Werkstattbindung kann daher für PKW-Fahrer, die ältere Autos ohne Werksgarantie fahren lohnend sein.

 

Aber vorsicht!

 

Nachteile und Erklärungen

 

Eine Werkstattbindung kann für den Versicherungsnehmer sehr teuer werden, indem er sich eine andere Werkstatt als die vom Versicherer vorgeschriebenen Werkstatt aussucht. Als folge kann der Versicherer eine Selbstbeteiligung verlangen oder die Leistungen kürzen.

 

Beispiel:

 

Es wird sehr oft von einigen Scheibenwechselfirmen suggeriert, dass ein Scheibenwechsel kostenlos über die Teilkasko durchgeführt werden kann. Wenn jetzt diese Werkstatt nicht vom Versicherer vorgeschrieben wurde und man trotzdem die Scheibe wechseln lässt, kann der Versicherer eine Selbstbeteiligung verlangen und die Leistungen kürzen.

 

Die Werkstattbindung ist auch für geleaste und fremdfinanzierte Autos ungeeignet, da diese Autos unter bestimmten Bedingungen stehen, wo eine Werkstattbindung Schaden anrichten kann. Bei Neuwagen bekommt man eine Herstellergarantie, nutzt man aber für eine Reparatur eine andere Werkstatt, die der Versicherer nicht vorgegeben hat und lässt sich keine Originalteile einbauen, kann man ganz schnell die Herstellergarantie verlieren.

 

Wenn man sich die gravierenden Nachteile betrachtet, ist der dafür zu erhaltende Rabatt viel zu gering. Die Assekuranz bekommt aber durch die Vereinbarung einer Werkstattbindung die absolute Kostenkontrolle.

 

Vereinbarung eines KFZ Schutzbriefes

 

Gegen einen geringen Mehrbeitrag, kann man einen KFZ Schutzbrief in den KFZ Vertrag integrieren. Welche Leistungen können in dem KFZ Schutzbrief vorhanden sein?

 

Leistungen eines KFZ Schutzbriefes:

 

  • schnelle Hilfe bei einer Panne, Unfall und auch Naturkatastrophen
  • Bergen, Abtransport, Abschleppen
  • Übernachtung, Mietwagen, Rückfahrt
  • Fahrzeugtransport
  • Kinderrückholung, Kranken Rückstransport
  • Ersatzbeschaffung von Ersatzdokumenten
  • Arzneimittelversand und noch einige weitere Leistungen

Die einzelnen Leistungen sind von Versicherer zu Versicherer unterschiedlich und man sollte da genau hinsehen und vergleichen. Viele sind bestimmt Mitglied in einem Automobilclub und würden bei eine Panne etc. den jeweiligen Club anrufen, damit man schnelle Hilfe bekommt. Meist sind aber für einen kostenlosen Mietwagen Bedingungen beim Automobilclub zu erfüllen. Meist sind es 50km vom Wohnort Entfernung die man haben muss. Wenn man zur Arbeit pendelt und sogar auswärts arbeitet z.B. in einer anderen Stadt und man hat eine Reparatur in einer Werkstatt durchzuführen, bekommt man meist für 7 Tage einen Mietwagen kostenlos gestellt.

 

Sind die Bedingungen so, dass man einen Unfall in der eigenen Stadt hat und man einen Mietwagen laut Automobilclub selbst bezahlen muss, kann ein Schutzbrief helfen einen kostenlosen Mietwagen bei einem Unfall gestellt zu bekommen.

 

KFZ Insassenunfallversicherung

 

Eine KFZ Insassenunfallversicherung ist in der Regel nicht notwendig. Bei einem möglichen Unfall ist der Beifahrer über die KFZ Haftpflichtversicherung des Versicherungsnehmers im Schadensfall versichert. Der Fahrer ist über seine eigene private Unfallversicherung abgesichert, falls vorhanden.

Die KFZ Insassenunfallversicherung wird sehr oft zusätzlich angeboten, ist aber nicht notwendig.

 

Vereinbarung einer Selbstbeteiligung

 

Durch eine Vereinbarung einer Selbstbeteiligung (die der Kunde im Schadensfall selbst bezahlt) ist der Versicherungsschutz zu niedrigeren Prämien erhältlich.

 

Die modellhaften Selbstbeteiligungseigenleistungen im Schadensfall können bei der Teil- und / oder Vollkaskoversicherung wie folgt aussehen.

Vollkaskoversicherung 300 - 500 und bei der Teilkaskoversicherung 150 - 300

 

Zusatzleistungen

 

Auf Zusatzleistungen sollte geachtet werden. Sprich, dass ein Schaden nach einem Unfall mit einem Wild ersetzt wird und auch als Wildschaden anerkannt wird. Auch sollten Schäden nach einem Marderbiss bezahlt werden.

 

Ausschlüsse

 

  • grobe Fahrlässigkeit (allerdings versichern einige Versicherer Ereignisse der groben Fahrlässigkeit wie das Überfahren einer roten Ampel mit)
  • Vorsatz
  • fahren unter Alkoholeinfluss, Drogeneinfluss etc.
  • Schäden durch Kernenergie
  • Schäden, wenn Sie an Fahrtveranstaltungen und Übungsfahrten teilnehmen, bei denen es auf Höchstgeschwindigkeit ankommt
  • für die Fahrzeug- und Insassenunfallversicherung auch Schäden durch Aufruhr, innere Unruhen, Kriegsereignisse, Verfügungen von hoher Hand oder Erdbeben

 

Allgemeines zu der KFZ-Versicherung

 

31 Punkte KFZ-Versicherung.pdf

 

Versicherungsombudsmann

 

Ein "Mann" für viele Fälle: Versicherungsombudsmann

 

KFZ-Schiedsstelle

 

Für Verbraucher, die der Meinung sind, dass unnötige Reparaturen, die am eigenen KFZ verkauft wurden, überflüssig waren, gibt es sogenannte KFZ-Schiedsstellen,

an die man sich in einem solchen Fall wenden kann.

Das habe ich jetzt mal allgemein hier eingefügt, da es bestimmt einige gibt, denen die Werkstätten mehr am eigenen KFZ repariert haben, als nötig.

Diesen Beitrag teilen


Link zum Beitrag
Gast
Dieses Thema wurde für weitere Antworten geschlossen.

×
×
  • Neu erstellen...