Zum Inhalt springen
supertobs

Einzelaktiendepot

Empfohlene Beiträge

Kezboard

Nur wenn ich blind Kezboard vertraue

Lesen, lesen, lesen -> eigene Meinung bilden. Wenn ich einigen hier blind vertrauen würde, hätte ich massenhaft RBS und A.S. Creation im Depot sowie ein Dauerabo von Rocco! :huh:

Diesen Beitrag teilen


Link zum Beitrag
juro

Hallo supertobs,

 

Fasse mich kurz da immer noch unterwegs und nur mit iPhone bewaffnet.

 

Habe heute eine Charge Münchener Rück gekauft. Damit Europa, Blend und Large abgedeckt. Für einen Finanztitel eine gute Wahl finde ich.

 

Als nächstes wäre ich mal an einer Aktie aus Pacific interessiert. Ich dachte an Australien / Rohstoffe oder Japan / Automobil oder Japan / Technologie. Jemand einen Tipp a la "Qualität zum günstigen Preis"?

 

Bhp billiton waere bei deiner Strategie mE eine gute Wahl und eine ganz große Nummer im Bereich Rohstoffe. Fundamentalzahlen sehen gut aus.

 

Automobilbranche direkt wuerde ich weglassen - kaum Margen und extremst zyklisch.

 

Wenn ich in ein technologieunternehmen bluechip aus Asien investieren wollte wuerde ich wahrscheinlich Samsung nehmen. Gute fundentalzahlen u. Sehr günstig bewertet als ich sie mir das letzte mal angeschaut hatte. Da auch im Halbleitereich taetig branchenbedingt ziemlich zyklisch wie zb auch Intel oder Texas Instruments.

 

 

Ja, das Einzelaktiendepot soll meinen RK1/2/3 Ansatz und den RIsiken dort entsprechen. Ich will keinen Sattelite als Zock-Entschuldigung. Ich kann z.B. wunderbar Einzeltitel kaufen um die TER einiger Regionen-ETF zu senken. So wäre eine BHP Billiton für 0% TER eine nette Beimischung zum MSCI Pacific mit 0,4% TER. Ebenso gibt es ja immer noch keinen MSCI North America Value. Hier kann ich 2-3 Titel platzieren und so meine eigentliche Strategie umsetzen. Z.B. ist mein Kauf der Münchener Rück so ein Beispiel für MSCI Europe Value. Ebenfalls könnte ich selektiv bei RK1/2 EInzeltitel nehmen. Das Einzeltiteldepot muss für mich in das Hauptbild passen. Von etwas anderem a la Bottom-Up wäre ich überfordert,

 

Kann ich nachvollziehen, irgendwelche Satellite-Spielchen mach ich auch nur wenn ich zum höheren Risiko eine sehr ueberdurchschnittliche Chance kurspotenzial erkennen kann u. Nur in aus ahmefaellen.

 

 

Ich habe Deine und Kezboards-Analysen gescreent und mich auch sonst noch etwas belesen. Für steht folgende Watchlist:

- BHP Billiton (klarer Kauf)

- Johnson & Johnson (klarer Kauf)

- China Mobile (muss noch grübeln)

- Procter & Gamble (muss noch grübeln)

(- Wincor Nixdorf (für Mid-Cap und TEchnologie) -> Nur wenn ich blind Kezboard vertraue .... (also, muss auch noch grübeln))

 

Zusammen mit BP, MuRe und meiner eigenen Firma (MA-Aktien, Blue-Chip) habe ich schon 7 Titel die fast perfekt auch die Weltregionen, 7 Industrien darstellen abdecken und zudem Valuelastig sind. Eben wie mein ETF-Portfolio.

 

 

Mit einem Top-Down-Ansatz, kombiniert mit ausgewählten Aktien ohne Zeitdruck und Kaufzwang fühle ich mich gut unterwegs. Nebenbei lerne ich eine Menge über die Firmen, Auslandsaktien etc. Meine TER könnte ich nebenbei noch um 20% senken. [/Quote]

 

 

Kurze zu deiner Selektion:

 

BHP gute Wahl

Munich RE gute Wahl

J&J gute Wahl

PG gute Wahl

China mobile gute Wahl

Samsung gute Wahl

Wincor Nixdorf hab ich mir noch nicht angeschaut.

 

Selbstverstaendlich nur meine persoenliche Meinung und keine kaufempfehlung u erst recht nicht abschließend. Das ist ja nur ein kleiner ausschnitt an unternehmen. Es gibt insgesamt so viele tolle Unternehmen zur Auswahl. Je nachdem wie du die prioritaeten nach Branchen etc setzen willst.

 

Ansonsten lass dir Zeit fuer deine Entscheidungen u bilde dir deine Eigene meinung. Dir lauft nichts davon!

Diesen Beitrag teilen


Link zum Beitrag
Kaffeetasse

hallo supertobs,

wie schaut's denn mit dem projekt hier aktuell aus?

lg :thumbsup:

Diesen Beitrag teilen


Link zum Beitrag
supertobs

Danke der Nachfrage. Ich habe mich ja in letzter Zeit auf die Einzelauswahl in RK1 und RK2 konzentriert. Wie oben dargestellt sollen die EInzeltitel in mein ETF-Depot passen. Ich kaufe also die Titel in der Reihenfolge des Rebalancing-Bedarfs. Durch den starken Anstieg der Aktien kaufe ich weiterhin nur RK1 und RK2. Jeden Monat so ca. 4K. Erst in 2 Monaten müsste eine Aktie für den Raum PAzifik her. Da ich vor 2009 einen Japan ETF statt einem Pacific ETF nehmen musste, passt hier perfekt als Ergänzung der Kauf von BHP Billiton aus Australien.

 

Dieser Titel ist auf meiner Watchlist. Einige Lücken in der Watchlist habe ich auch noch, insbesondere USA Large Value. Bei der Einteilung folge ich Morningstar.com. DIe Klassifizieren aber auch die MunichRe als "Core". Die Einteilung ist noch ein kleiner Schwachpunkt. China Mobile habe ich auch noch als "Pacific" da stehen. Eigentlich sind die aber EM. Vielleicht erweitere ich meinen Ansatz da noch.

 

Hier ist der aktuelle Stand, weiß meine Mitarbeiteraktien.

 

post-7927-0-33134900-1290245055_thumb.jpg

Diesen Beitrag teilen


Link zum Beitrag
Warlock

stümmt...sorry für off topic, @supertobs.

 

ich sehe da aber im prinzip nicht wirklich n grosses problem drin, sich schnell ein einigermassen gut regional und nach branchen diversifiziertes welteinzelaktiendepot zu bauen: mach halt 30/30/30/10 nordamerika/europa/emerging markets/ pacific, genau wie im etf portfolio global oder im arero-aktienanteil. minimum kapitaleinsatz sollte so bei 10000 liegen. dann kuckst du noch, dass deine titel 8-10 verschiedenen branchen angehörn und solide grosse global player sind mit langfristiger guter geschäftsentwicklung, starken marken und guter marktstellung.

 

n bsp:

north america

1) procter+gamble (haushalts- und konsumgüter)

2) coca cola (getränke)

3) johnson+johnson (pharma und medizintechnik)

europe

4) siemens (technologie)

5) basf (chemie)

6) nestle (nahrungsmittel)

em

7) china mobile (telekommunikation)

8) infosys (software)

9) lukoil (öl/gas)

pacific

10) bhp billiton ltd (rohstoffe)

 

Finde den Ansatz sehr interressant, habe mir schon ähnliche Gedanken gemacht, bin allerdings noch nicht sooo weit, bin aber direkt auch auf 6 dieser Titel gekommen (procter & gamble, coca cola, siemens, basf, nestle, bhp billiton).

 

Wenn man sich solide Titel ins Depot holt braucht man sicherlich nicht so stark zu diversifizieren, gerade alles was mit Gütern des täglichen Bedarfs zu tun hat sind sehr robust in der Krise. Da kann man dann auch viel Boden gut machen gegenüber offensiven Anlegern.

 

Einen Titel habe ich noch der hier noch auftaucht, der auch im Momnet total überteuert ist aber sicherlich gut langfristige Ertragsmöglichkeiten mitbringt: LVMH (Lious Vitton, Moet, Hennesy). Passt natürlich nicht mehr in dein Konzept.

Diesen Beitrag teilen


Link zum Beitrag
Kaffeetasse

lvmh is einfach bombastisch, @warlock. könnte man prinzipiell locker in die liste mit aufnehmen. eine sache noch:

wenn man wegen der EM in sachen einzeltitel bedenken hat, kann man eigentlich auch relativ ohne probleme auf

amerikanische oder europäische global player mit großenumsatzanteilen in den EMs setzen, bspweise statt

china mobile kann man telefonica nehmen, die sehr stark in lateinamerika aktiv sind.

Diesen Beitrag teilen


Link zum Beitrag
Emilian
· bearbeitet von Emilian

Hallo Supertobs,

 

da Du gerade oben nochmal Dein Einzelaktien-Projekt ansprichst... - eine Frage: Wäre es nicht interessant, diese Energie (Auswahl von Einzelaktien und deren Kauf) in evt. fehlende Marktsegmente im Weltportfolio zu leiten. Ab einer gewissen Größenordnung, die bei Dir ja längst erreicht ist, könnte es vielleicht interessant sein, fehlende Fondsposten grob mit Einzelengagments abzudecken. Ich denk da z.B. an ValueAktien für den Raum Nordamerika usw. Wie denkst Du darüber?

 

Gruß Emilian.

 

PS: Gerade die Valueaktien Amerikas könnten in kommender Zukunft nicht ganz uninteressant sein.

Diesen Beitrag teilen


Link zum Beitrag
supertobs
· bearbeitet von supertobs

Wäre es nicht interessant, diese Energie (Auswahl von Einzelaktien und deren Kauf) in evt. fehlende Marktsegmente im Weltportfolio zu leiten. Ab einer gewissen Größenordnung, die bei Dir ja längst erreicht ist, könnte es vielleicht interessant sein, fehlende Fondsposten grob mit Einzelengagments abzudecken. Ich denk da z.B. an ValueAktien für den Raum Nordamerika usw. Wie denkst Du darüber?

 

Hallo Emilian,

 

so ist das eigentlich geplant. Ich stelle erst mal ein 10er-Portfolio aus Einzelaktien auf und kaufe allerdings dort die Titel die sich eben aus dem Rebalancing des Gesamtdepots (ETF+Einzeltitel) ergeben.

 

Konkret will ich z.B. einen Titel aus Australien nehmen um beim MSCI Pacific nachzulegen. Den hatte ich ja nur mit dem Japan Topix ETF abgedeckt. Da füllt das nächste Einzelinvest die Lücke perfekt.

 

Genau so sieht es auch mit MSCI North Amerika Value aus. Den Select Dividend USA kaufe ich nicht mehr nach, sondern nehmen lieber einen Value-Titel. Ich habe dort nur das Problem der genauen Value-Definition. Die ist für viele Titel widersprüchlich und im Forum wurde ja auch schon eine Menge dazu geschrieben.

 

Ansonsten bin ich ja schon einigermaßen über die Welt verteilt. Es geht also erst mal um Rebalancing mit Hilfe dieser EInzeltitel. Lücken gäbe es bei den Frontier Markets und bei der Übergewichtung EM Value und EM Small. Bei der Auswahl solcher Titel muss man mir aber helfen, das stemme ich nicht alleine. Ich hätte z.B. gerne einen Mid Size Titel aus den EMs aus dem Industriesektor "Consumer Services", genauer "Retailer". Am liebsten einen indischen titel, alternativ aus Osteuropa. Indisch habe ich nichts gefunden. Osteuropa ist auch eine dünne Datenlage. Da die EMs aber so abgingen, ist hier erst mal niedrige Prio angesagt.

 

Hier ist der Rebalance-Bedarf (grün = nächster Invest von 4K):

post-7927-0-53800600-1294686746_thumb.jpg

 

 

Gruss

 

supertobs

Diesen Beitrag teilen


Link zum Beitrag
Kezboard

Ich hätte z.B. gerne einen Mid Size Titel aus den EMs aus dem Industriesektor "Consumer Services", genauer "Retailer". Am liebsten einen indischen titel, alternativ aus Osteuropa. Indisch habe ich nichts gefunden. Osteuropa ist auch eine dünne Datenlage.

Hallo supertobs,

 

das ist natürlich "sehr speziell". Vielleicht helfen dir diese Links weiter:

 

Wikipedia: Category:Retail companies of India

 

India Retail Report (kostet ein wenig was)

 

Top 10 Retailers in India:

 

  1. Pantaloon Retail India
  2. K Raheja Group
  3. Tata Group
  4. RPG Group
  5. Landmark Group
  6. Piramal Group
  7. Subhiksha
  8. Bharti-Walmart
  9. Reliance
  10. AV Birla Group

Vom indischen Markt habe ich leider genauso wenig Ahnung wie vom osteuropäischen. In das Thema muss man sich wahrscheinlich erst einmal einarbeiten ...

Die wichtigsten Fragen sind ja: a ) gibt es ein Unternehmen in diesem Land und in dieser Branche, die gewissen Mindestanforderungen (qualitativ) genügt und b ) kann ich dieses auch einigermaßen liquide handeln?

Diesen Beitrag teilen


Link zum Beitrag
supertobs
· bearbeitet von supertobs

Vielleicht helfen dir diese Links weiter:

 

Wikipedia: Category:Retail companies of India

 

Top 10 Retailers in India:

 

  1. Pantaloon Retail India
  2. K Raheja Group
  3. Tata Group
  4. RPG Group
  5. Landmark Group
  6. Piramal Group
  7. Subhiksha
  8. Bharti-Walmart
  9. Reliance
  10. AV Birla Group

Vom indischen Markt habe ich leider genauso wenig Ahnung wie vom osteuropäischen. In das Thema muss man sich wahrscheinlich erst einmal einarbeiten ...

Die wichtigsten Fragen sind ja: a ) gibt es ein Unternehmen in diesem Land und in dieser Branche, die gewissen Mindestanforderungen (qualitativ) genügt und b ) kann ich dieses auch einigermaßen liquide handeln?

 

Das kannte ich schon. War sehr aufschlussreich.

 

Das Problem liegt erst mal bei B). Keiner dieser Retailer ist auch an einer deutschen Börse handelbar (ING-Diba-Beschränkung). Indischer Markt ist wohl generell ziemlich überteuert gerade, Osteuropa muss ich mir mal anschauen. Es eilt ja nicht so.

Diesen Beitrag teilen


Link zum Beitrag
Emilian

...so ist das eigentlich geplant...

Ok, verstehe! Interessante Idee! - allerdings Einzelaktien in EM-Bereich herauszufischen, evt. sogar auch noch SmallCaps dort ist sicher eine recht anspruchsvolle Aufgabe. Viel Erfolg wünsch ich dir dabei.

 

Gruß Emilian.

 

 

PS: Die Rebalancing-Tabelle ist interessant. Ist das Zufall oder hast Du in den letzten Monaten auch erstmal Pacific bis zum Schluss aufgehoben? :rolleyes:

 

 

Diesen Beitrag teilen


Link zum Beitrag
supertobs

PS: Die Rebalancing-Tabelle ist interessant. Ist das Zufall oder hast Du in den letzten Monaten auch erstmal Pacific bis zum Schluss aufgehoben? :rolleyes:

 

Ich hatte 2 Positionen des Einzeldepots in Europa schon gekauft bevor ich mich entschieden habe das konsequent in das Langfristportfolio einzugliedern und meine Tabellen mussten die zusätzlichen Titel auch erst alle einprogrammiert bekommen. Pacific war aber schon ein paar mal nah dran am investieren. Ich schaue halt wirklich sklavisch welcher Kategorie es nun sein soll jeden Monat.

Diesen Beitrag teilen


Link zum Beitrag
Emilian

Ich gebe zu, als letztes Jahr der $ mal auf 1,40 war, hab ich die Amerika-Werte erstmal vorgezogen.

Diesen Beitrag teilen


Link zum Beitrag
saibottina

Ich gebe zu, als letztes Jahr der $ mal auf 1,40 war, hab ich die Amerika-Werte erstmal vorgezogen.

Emilian als Markettimer... Heutzutage kann man sich auf nix mehr verlassen... ;)

Diesen Beitrag teilen


Link zum Beitrag
Emilian
· bearbeitet von Emilian

Ich möchte supertobs´ tollen Thread hier nicht zumüllen, aber dazu möcht ich mich doch noch schnell äußern:

Emilian als Markettimer... Heutzutage kann man sich auf nix mehr verlassen... ;)

Ausgangspunkt war damals, dass ich mich kurz nach dem letzten Rebalancing befand. Ich hatte also die freie Wahl, welchen Posten ich als nächstes kaufe. Da hab ich mich bei dem Dollar-Stand eben für die Ami-fonds (normalerweise beginne ich immer mit EM) entschieden. Ich hab also keine "Gesetzmäßikeit des passiven Investierens" verletzt.

Gruß Emilian.

Diesen Beitrag teilen


Link zum Beitrag
Plutos

Habe heute eine Charge Münchener Rück gekauft. Damit Europa, Blend und Large abgedeckt. Für einen Finanztitel eine gute Wahl finde ich.

 

Als nächstes wäre ich mal an einer Aktie aus Pacific interessiert. Ich dachte an Australien / Rohstoffe oder Japan / Automobil oder Japan / Technologie. Jemand einen Tipp a la "Qualität zum günstigen Preis"?

 

Ist jetzt nicht Japan oder Rohstoffe, aber wäre nicht Cheung Kong etwas für dich? Die Region Asien/Pacifik ist in meinem Depot ziemlich untergewichtet, einen Titel den ich aber seit Jahren halte ist Cheung Kong wegen seiner breiten Aufstellung, HK eher westlich angehaucht, aber trotzdem China Potential. Geführt von Li Ka-shing, dem Warren Buffet der Asiens.

 

 

Cheung Kong (Holdings) Limited ("Cheung Kong Holdings") is the flagship of the Cheung Kong Group, the leading Hong Kong based multi-national conglomerate. In Hong Kong alone, members of the Cheung Kong Group include Cheung Kong Holdings (stock code: 0001), Hutchison Whampoa Limited (stock code: 0013) and Hongkong Electric Holdings Limited (stock code: 0006), which are constituent stocks of the Hang Seng Index; Cheung Kong Infrastructure Holdings Limited (stock code: 1038), CK Life Sciences Int'l., (Holdings) Inc. (stock code: 0775), Hutchison Telecommunications Hong Kong Holdings Limited (stock code: 0215), Hutchison Harbour Ring Limited (stock code: 0715) and TOM Group Limited (stock code: 2383), which are companies listed on the Main Board of the Hong Kong Stock Exchange. The combined market capitalisation of the Cheung Kong Group's Hong Kong listed companies amounted to HK$810 billion as at 30 November, 2010. The Cheung Kong Group operates in 53 countries and employs about 240,000 staff worldwide.

 

Cheung Kong Holdings is a property development and strategic investment company. It is one of the largest developers in Hong Kong of residential, commercial and industrial properties. About one in seven private residences in Hong Kong were developed by the company.

 

The company also has substantial interests and operations in life sciences and other businesses."

 

Diesen Beitrag teilen


Link zum Beitrag
supertobs
· bearbeitet von supertobs

Analyse zu Value und Growth Charakteristiken - Die MSCI Vorgehensweise

Mein Post aus der Resturlaubswoche ...

 

Motivation

Im Rahmen meines Einzelaktiendepots wollte ich ja die Anlagewelt einigermaßen repräsentativ abbilden. Hierzu gehört für mich auch die EInteilung der Aktien nach Stil, d.h. nach "Value" und "Growth"-Charakteristik. Leider sind die Informationsquellen hier sehr dünn. Man kann anhand von Value und Growth-ETFs einige Positionen sehen, aber das ist nicht sehr umfassend. Einige meiner Watchlistaktien habe ich sowohl in Value als auch in Growth-Listen gesehen. So kann das für mich nicht mehr weitergehen. Abhilfe muss her. Darum dreht sich dieser Post. Ich wollte mit meiner Analyse verstehen, wie diese Stilbewertungen entstehen, in der Lage sein das Anlageuniversum korrekt abbilden sowie meine Wunschaktien selbst einteilen können.

 

Die MSCI Methode

Bei morningstar.com gibt es eine Einteilung in "Value", "Blend" und "Growth", aber eine genaue Methode ist dort nicht beschrieben (nur das hier läßt sich finden und das hier). Auch Stoxx hat Value und Growth-Indices, aber auch hier ist keine genaue Methode beschrieben (nur oberflächlich im Indexguide). Von MSCI gibt es eine schöne Beschreibung:

http://www.mscibarra.com/eqb/methodology/meth_docs/MSCI_Dec07_GIMIVGMethod.pdf

 

Grundsätzlich sind "Value Aktien" Substanzwerte bei denen die aktuellen Ergebnisse im Vordergrund stehen. Growth-Aktien sind mehr durch die Hoffnung auf Erträge in der Zukunft charakterisiert. Für mich ist ist "Value"-Investing nicht gleichbedeutend mit der Suche nach unterbewerteten Unternehmen (Stock-Pickung) mit Verkauf zum fair-bewerteten Zeitpunkt (Markettiming). Aber das nur am Rande.

 

Entsprechend dieser zwei Sichtweisen bewertet die MSCI-Methodik jede Aktien nach ihren Value-Eigenschaften und nach Growth-Eigenschaften, das ist dann ein zweidimensionaler Ansatz. Wobei interessanterweise ein Aktie sowohl Value als auch Growth sein kann bzw. von beidem nichts. Dies ist der Überblick über diesen Ansatz:

 

1.2.1 Multi-Factor Approach

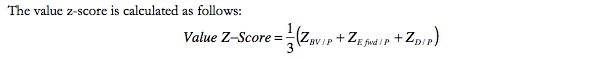
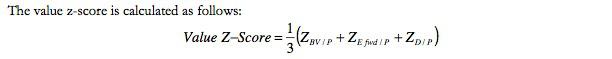
The value investment style characteristics for index construction are defined using the following three variables:

Book value to price ratio (BV / P)

12-month forward earnings to price ratio (E fwd / P)

Dividend yield (D / P)

The growth investment style characteristics for index construction are defined using the following five variables:

Long-term forward earnings per share (EPS) growth rate (LT fwd EPS G)

Short-term forward EPS growth rate (ST fwd EPS G)

Current Internal Growth Rate (g)

Long-term historical EPS growth trend (LT his EPS G)

Long-term historical sales per share (SPS) growth trend (LT his SPS G)

(Quelle MSCI)

 

Value wird also nach KBV, KGV (beide invers) und nach der Dividendenrendite bewertet. Als Wert aus der Zukunft kommt eigentlich nur die Gewinnerwartung der nächsten 12 Monate in die Rechnung rein. Bei Growth stehen sehr stark die Zukunftserwartungen und der bisher ereichten Wachstumsraten (grob Growth = bisheriges Wachstum und Wachstum in der Zukunft) im Vordergrund.

 

Die 8 Einzelwerte pro Aktie muss man also bilden, im zweiten Schritt werden diese Werte anhand des Free-Float-Marktkapitalisierten Mittelwerts und der Standardabweichung ins Verhältnis gesetzt und schliesslich ein einen Value-z-Wert und einen Value-Growth-Wert berechnen.

 

Normierung eines Einzelwerts:

post-7927-0-62511300-1295730875_thumb.jpg

 

Bildung der Growth, Value-Z-Gesamtwerte:

post-7927-0-37428700-1295730874_thumb.jpg

post-7927-0-31812000-1295730873_thumb.jpg

 

Growth und Value-Z-Werte werden dann in ein entsprechendes Koordinatensystem eingetragen:

post-7927-0-08940400-1295730877_thumb.jpg

 

Ungereimtheiten bei MSCI Methodik - Vereinfachungen

  • Bei LT_fwd_EPS_G ist keine Definition angebenen. Ich nehme analog von ST_fwd_EPS_G die Definition: LT_fwd_EPS_G = (EPS_2013 - EPS12B) / abs(EPS13B). Wichtig ist eben für alle die gleiche Definition zu nehmen.
  • Das "Winsoring" der Variablen (Section 2.2.1.) führt zum weiteren "Weichspülen der Ergebnisse". Die Graphiken in diesem Post sind erst mal nicht "ge-winsored".

 

 

Ich schreibe das deshalb so ausführlich, weil damit klar wird:

- Es gibt keine Fundamentalbewertung einer Aktie, sie wird immer relativ zu ihrem Markt bewertet

- Große Aktienunternehmen dominieren über ihr MCap dies Gesamtbewertung. Wenn es Ausreißer gibt, dann eher bei kleinen Aktien.

- Die Abweichungen sind vermutlich gering, da 1-2 Sigma-Abstände schon sehr groß sind.

 

Als Nachteil sehe ich auch, nicht den Gesamtweltmarkt als Grundlage zu nehmen, sondern einzelne Länder oder Regionen. Ein Value in USA ist dann vielleicht ein Growth in Europe. MSCI will einen 50/50 Schnitt machen. Konkret heißt das, es werden Aktien aus dem linken unteren Quadranten und dem rechten oberen auch nachträglich in "reines" Value und "Growth" gepresst. Doch dazu später mehr,

 

Erste Vermutung: Stecken im "Value und Growth" Quadranten die "Qualität zum günstigen Preis"-Aktien? Stecken im "Neither Value or Growth" die schlimmsten Seuchaktien, überteuert bei wenig Wachstum?

 

Notwendige Daten für eine Einzelaktienbewertung

Pro Aktie benötigt man einen ganzen Satz an Werten, keine Finanzseite hat hier eine einfache Copy-Paste-Lösung. Zudem darf man auch die Daten meist nicht mal runterladen geschweige denn weitergeben. Ich veröfffentliche deshalb meine Quellen und das Berechnungsprogramm nicht. Benötigt werden:

- Grunddaten zur Aktien (Land, Regionen, Anteil Freefloat, Anzahl aktien, Kurse, Datum Geschäftsjahresende)

- Daten aus der Fundamentalanalyse (Gewinn je Aktie, Dividende je Aktie, Umsatz je Aktie, Eigenkapital (Buchwert) je Aktie)

- Prognose über die nächsten 3-5 Jahre an Gewinn pro Aktie (hier ist der Analyst Consensus zu finden, schwieriger Teil).

- Währungskurse zur Umrechnung (USD, GBP, SEK, CHF), meine Rechnung hat noch eine kleine Schwäche, da ich alle Vergangenheitswerte mit den aktuellen Kursen umrechne.

 

Analyse des DJ Stoxx Europe 50 Index

Um sinnvoll Einzelaktien bewerten zu können, muss man ja die Durchschnittsdaten aus dem Anlageuniversum eines Landes bzw. einer Region haben. Ich habe mir die Mühe gemacht für Europa als Grundlage alle 50 Aktien des DJ Stoxx Europe 50 Index zu analysieren. Das sind zwar die "Very Large Caps" aber irgendetwas darüber ist mir doch zu aufwendig. Von den 50 Aktien konnte ich für 45 Aktien genug Daten für eine Analyse sammeln.

 

Die gesamt Methodik von MSCI haben ich (bis auf die Gesamtreihung) habe ich in Apple Numbers nachprogammiert. Hier ist das graphische Ergebnis in Anlehnung an die leeren Quadranten des obigen MSCI-Bilds:

post-7927-0-66653200-1295737441_thumb.jpg

 

Das hatte ich mir schon gedacht: so weit können die Werte ja gar nicht abweichen. Extreme Ausreißer gibt es nicht. Das Bild wollte ich unbedingt zeigen, zoomt man rein, ergibt sich natürlich ein differenziertes Bild. Man sollte sich aber bewußt sein, das rein nach (diesen) Zahlen ein Stock-Picking z.B. schwierig ist.

 

Die Durchnittswerte und Standardabweichungen sind wie folgt:

Kennzahl - 		BV/P	EPS_12F/P	DPS/P	LT_fwd_EPS_G	ST_fwd_EPS_G	g	LT_his_EPS_G	LT_his_SPS_G
Durchschnitt - 		0,57	0,06		0,03	0,53		0,70		0,05	0,06		0,05	
Standardabweichung - 	0,51	0,06		0,02	0,64		1,91		0,09	0,26		0,09

 

Die europäische Durchschnittsaktie hat also eine KBV von 1,75, ein KGV von 17,02 bei einer Dividendenrendite von 3,37%. Aktien mit niedrigeren KBVs, niedrigeren KGVs und höheren Dividendenrenditen haben also eine Value-Charakteristik. Das gleiche gilt bei Growth, höhere Wachstumsraten sind eben Growth. Toll sind natürlich die Aktien, die beides zeigen (oberer rechter Quadrant). Auffallend finde ich die recht hohen Gewinnsteigerungserwartungen von 70% kurzfristig im nächsten Jahr und 50% über 3 Jahre (total, Durchschnitt 15% pro annum also). Ob das mit dem Ende der Finanzkrise oder mit brutalen Rechenfehlern bei mir zu tun hat, kann ich heute Abend nicht mehr sagen ...

 

Also, zoomen wir noch mal ein bisschen rein:

post-7927-0-05218000-1295738976_thumb.jpg

 

Es gibt wenige Aktien "links unten". Der rote Pfeil zeigt auf Nestle. Die haben auch in letzter Zeit einen rasanten Kursanstieg hinter sich. Rechts oben zeigt der Pfeil auf Unicredit. Interessanter Kauf aus Italien? Witzigerweise ist die Dt. Telekom auch "Value _und_ Growth". Ich hätte sie links unten vermutet.

 

Ich nehme wie morningstar.com die Bezeichung "Blend" für die nicht eindeutigen Werte. Nach Anzahl gibt es deutlich mehr Growth-Aktien, gewichtet nach Marktkapitalisierung haben wir fast die Drittelverteilung wie ich auch beim x-Ray vom MSCI-World gesehen habe. Viele Schwergewichtsaktien sind demnach "Blend".

post-7927-0-34343900-1295739472_thumb.jpg

 

Als Bubble-Chart, die Dickschiffe tummeln sich in der Mitte (auch aufgrund der Definition natürlich). Leider kann ich (oder mein Excel:Mac 2011) nicht zusätzlich die Aktiennamen an die Bubbles schreiben. Deswegen unten die Ergebnisse im Detail zum Selberschauen.

post-7927-0-61110000-1295740320_thumb.jpg

 

MSCI würde nun hingehen und zwei Aktienlisten bilden, eben Value und Growth. Die komplizierte Zuordnung wird hier gezeigt:

post-7927-0-69487800-1295740583_thumb.jpg

 

Das habe ich nicht gemacht. Ich denke das macht auch keinen Sinn. Ich will ja mit einem MSCI Value-Index klare Value-Titel haben und nicht Value + 50% Blend damit 50% vom Gesamtmarkt abgebildet werden. Dies ist vermutlich auch der Grund, warum die MSCI Value-Indices sich nicht richtig vom Gesamtmarkt absetzen können. Die Aufteilung der "blends" ist auch der Grund, warum ich dieselben Aktien sowohl in Value-Listen als auch Growth-Listen gefunden habe. Ich hätte lieber einen ETF auf "MSCI ganz klar Value"

 

Fazit

Wieder mal eine Menge gelernt. Diese Übung war richtig aufwendig. Ich habe mich wieder wie an der Uni gefühlt. Leider habe ich keine Zeit mehr den Dow Jones 30 zu analysieren. So richtig bin ich nicht mehr von MSCI Value überzeugt. Ich kann nun meine Einzeltitel neu bewerten. BHP Billiton ist schon mal Growth und nicht mehr Value. Ich würde auch das große Musterportfolio wohl nicht mehr mit MSCI Value übergewichten sondern lieber mit einem (einigen) selbstausgesuchten Value-Titel übergewichten. Das ist natürlich eine Frage der Depotgröße. An den alten ETFs rüttel ich natürlich nicht mehr.

 

Nächste Schritte

- Es wäre schön, wenn jemand mal den einen oder anderen Wert auch berechnen kann zur Kontrolle meiner Gesamtrechung.

- Ein besseres Bubble-Chart bekomme ich mit Bordmitteln nicht hin. Kann jemand ein Bubble-Chart erzeugen, bei dem dem Aktiennamen neben der Blase stehe?

 

Ergebnisse

Name	Growth z	Value z	MCap	Overall Style Characteristics
ABB N		0,24	-0,43	41,28	Growth
Anglo American	0,46	-0,76	53,7	Growth
BASF N		0,45	-0,39	52,64	Growth
Bayer N		0,28	-0,39	45,91	Growth
BHP Billiton	0,66	-0,65	67,38	Growth
Daimler N	0,11	-1,16	62,25	Growth
Diageo		0,14	-0,44	41,34	Growth
Ericsson -B-	0,59	-0,37	28,37	Growth
HSBC Hldg	0,33	-0,21	148,26	Growth
ING Groep	0,54	0	30,23	Growth
Nokia		0,44	-0,02	30,35	Growth
Novartis N	0,02	-0,06	113,51	Growth
Rio Tinto	0,55	-0,52	81,83	Growth
Roche Hldg G	0,67	-0,17	17,52	Growth
SAP		0,28	-0,72	50,05	Growth
Siemens N	0,25	-0,58	83,82	Growth
Ste Generale-A-	1,2	-0,27	34,02	Growth
Tesco PLC	0,03	-0,15	39,83	Growth
UBS N		0,02	-1,03	47,91	Growth
Unilever Cert	0,18	-0,48	38,92	Growth
Nestle N	-0,03	-0,27	148,59	Non-Value and Non-Growth
Allianz N	-0,55	0,58	44,02	Value
Axa		-0,17	0,83	33,66	Value
Banco Santander R	-0,14	1,15	72,46	Value
Barclays	-0,91	1,34	42,45	Value
BBVA R		-0,06	0,88	38,18	Value
BNP Paribas	-0,05	0,55	63,15	Value
CS Group N	-0,55	0,78	40,31	Value
Deutsche Bank N	-0,77	0,96	40,56	Value
E.ON N		-0,56	1,3	48,43	Value
France Telecom	-0,29	0,96	41,47	Value
GDF Suez	-0,38	0,57	65	Value
Intesa Sanpaolo	-0,2	1,18	26,58	Value
Royal Dutch Shell-A	-0,04	0,26	158,41	Value
Total		0	0,45	99,5	Value
Zurich Finl Svcs N	-0,23	0,68	28,99	Value
Astrazeneca	0,2	0,3	52,26	Value and Growth
BP		0,05	0,85	126,58	Value and Growth
Dt Teledumm	0,24	0,73	41,34	Value and Growth
Eni		0,17	0,52	70,59	Value and Growth
GlaxoSmithKline	0,17	0,19	79,03	Value and Growth
Sanofi-Aventis	0,13	0,41	67,18	Value and Growth
Telefonica	0,19	0,36	81,17	Value and Growth
Unicredit	0,87	0,55	33,29	Value and Growth
Vodafone Grp	0,09	0,24	123,31	Value and Growth
Anheus.-Busch InBev				
BG Group				
British American Tobacco				
Hennes & Mauritz-B-				
Standard Chartered				

Diesen Beitrag teilen


Link zum Beitrag
supertobs

Weiteres Weichspülen der Ergebnisse

 

Jetzt habe ich noch mal das "Winsoring" aus Section 2.2.1 eingebaut mit 95 und 5%-Perzentil. Es hat noch mal einen Effekt, die Graphik hat sich deutlich verschoben. Ich musste die Achsen umstellen um mit oben vergleichbar zu sein. Unicredit ist wieder in die Menge zurückgepfiffen worden ...

 

Ergebnisse mit Winsoring

post-7927-0-50964600-1295776831_thumb.jpg

Diesen Beitrag teilen


Link zum Beitrag
Bärenbulle

Bittschön:

post-12435-0-55806300-1295778285_thumb.png

Diesen Beitrag teilen


Link zum Beitrag
Emilian

Hervorragende Arbeit, supertobs! Vielen Dank dafür!

 

Ich würde auch das große Musterportfolio wohl nicht mehr mit MSCI Value übergewichten sondern lieber mit einem (einigen) selbstausgesuchten Value-Titel übergewichten. Das ist natürlich eine Frage der Depotgröße.

 

Genau das meinte ich mit meiner damaligen Anfrage.

 

Oder anders: Für Leute, die jetzt erst mit ihren Depots beginnen sollte Value erstmal in den Hintergrund treten. SmallCap in der richtigen Gewichtung ist natürlich weiterhin interessant. Erst bei entsprechend "dickem" Portfolio kann man sich Values einkaufen, besonders bei fehlenden ETFs (z.B. Amerika) könnte "gezwungenermaßen" eine Einzelaktienauswahl interessant sein. Belohnung dafür wären das evt. Value-Premium und ein etwas besserer Inflationshedge. Könnte man das so sehen?

 

Gruß Emilian.

 

 

Diesen Beitrag teilen


Link zum Beitrag
supertobs

Oder anders: Für Leute, die jetzt erst mit ihren Depots beginnen sollte Value erstmal in den Hintergrund treten. SmallCap in der richtigen Gewichtung ist natürlich weiterhin interessant. Erst bei entsprechend "dickem" Portfolio kann man sich Values einkaufen, besonders bei fehlenden ETFs (z.B. Amerika) könnte "gezwungenermaßen" eine Einzelaktienauswahl interessant sein. Belohnung dafür wären das evt. Value-Premium und ein etwas besserer Inflationshedge. Könnte man das so sehen?

 

ETFs auf Small-Caps sind unverzichtbar. Da ist es besser den breiten Markt zu nehmen.

 

Man könnte natürlich weiterhin den MSCI Value-Index zum Ansparen nehmen und dann ggfs. umschichten. Einzeltitelauswahl ist aber nicht jedermanns Sache. Die MSCI Indices sind ja gut zugänglich, müsste man mal eine Analyse Core/Value über einige Indices machen.

 

Mit dem Infaltionshedge verstehe ich nicht. Da gibt es zur Einzeltitelauswahl keinen Unterschied.

Diesen Beitrag teilen


Link zum Beitrag
supertobs

Heute Kauf von 145 mal BHP Billiton PLC, damit "Pacific" mit Ex-Japan rebalanced.

 

BHP Billition PLC (aus GB) statt der AU-Variante genommen weil:

- Liquidier, geringer Spread

- keine Quellensteuer

- höhere Div-Rendite

 

Wert wird trotzdem als "Pacific" (AU) geführt. Soviel gestalterische Freiheit leiste ich mir ...

Diesen Beitrag teilen


Link zum Beitrag
Kaffeetasse

huhu supertobs ;)

guter kauf, evtl. n bissl zu früh kurzfristig, aber dennoch *thumbs up*.

welche einzelwerte hast du denn mittlerweile alles mit an bord? hab iwie den überblick verloren...

Diesen Beitrag teilen


Link zum Beitrag
supertobs

Ich habe erst 4 Aktien von den 10 geplanten. Hier ist der Stand, ausgeblendet die subventionierten MA-Aktien.

 

post-7927-0-71433000-1296237511_thumb.jpg

 

post-7927-0-56835200-1296237509_thumb.jpg

Diesen Beitrag teilen


Link zum Beitrag
Akaman

huhu supertobs ;)

guter kauf, evtl. n bissl zu früh kurzfristig, aber dennoch *thumbs up*.

Oder zu spät? Meine liegen satt grün im Depot. Egal: die Investition haut hin! Also von mir auch: :thumbsup:

Diesen Beitrag teilen


Link zum Beitrag

Erstelle ein Benutzerkonto oder melde dich an, um zu kommentieren

Du musst ein Benutzerkonto haben, um einen Kommentar verfassen zu können

Benutzerkonto erstellen

Neues Benutzerkonto für unsere Community erstellen. Es ist einfach!

Neues Benutzerkonto erstellen

Anmelden

Du hast bereits ein Benutzerkonto? Melde dich hier an.

Jetzt anmelden

×
×
  • Neu erstellen...