Zum Inhalt springen
supertobs

Einzelaktiendepot

Empfohlene Beiträge

juro

Heute Kauf von 145 mal BHP Billiton PLC, damit "Pacific" mit Ex-Japan rebalanced.

 

BHP Billition PLC (aus GB) statt der AU-Variante genommen weil:

- Liquidier, geringer Spread

- keine Quellensteuer

- höhere Div-Rendite

 

Wert wird trotzdem als "Pacific" (AU) geführt. Soviel gestalterische Freiheit leiste ich mir ...

 

Sehr schönes Basisinvestment im Bereich Rohstoffe. Hätte mich auch für die GB-Variante entschieden. Zusammen über 10% im MSCI World Materials! Und mit eines der grössten Unternehmen im MSCI World. BHP ist mal ein sehr schönes Beispiel, dass das Land der Börsennotierung bzw. Listung rein gar nichts mit dem Tätigkeitsfeld zu tun haben muss. Die gestalterische Freiheit passt voll u. ganz. :thumbsup:

 

Ein grosses Aktienrückkaufprogramm ist geplant, was sich auf die Ergebnisse/Aktie auswirken wird. Den gescheiterten Übernahmen bei Potash u. Rio Tinto damals sei dank. Und ist wahrscheinlich auch die bessere Variante. Der Hauptabsatzmarkt ist Asien u. insbesondere China. Hauptumsätze werden bei Öl, Kohle mit ca. 40%, Eisenerz mit ca. 40%, u. Nichteisen-Produkte mit ca. 12% gemacht.

 

Die Rentabilitätszahlen sind sehr gut. Allerdings hängt die Nachfrage bzw. das Wachstum. insbesondere stark von China ab u. deren Wachstum.

 

Auf Basis geschätzter Zahlen für 2011 komme ich auf ein KGV von 9,7 - KCV von 11,3 - KUV von 2,9 - KBV von 4,3. Wobei bei dieser Branche sicher eigene Regeln gelten. Bei der sehr guten Eigenkapitalrendite ist das KBV garantiert nicht zu hoch. Das Unternehmen ist m.E. fair bis leicht günstig bewertet mit gutem Kurspotenzial für die Zukunft.

 

M.E. schönes Basisinvestment im Bereich Rohstoffe.

Diesen Beitrag teilen


Link zum Beitrag
supertobs

Durch den kleinen Absturz Japans müsste ich dort als nächstes im RK3-Bereich nachkaufen. Aus obiger Liste ergibt sich nichts, war auch so erst mal nicht geplant. Könnte jetzt einfach den MSCI Pacific nachkaufen. Alternativ dachte ich an Toyota, frei nach Buffet: Kaufe Top-Unternehmen die gerade Probleme haben. Die Autos überzeugen mich ziemlich, habe gerade einen bekommen und bin recht zufrieden.

 

Meinungen zu Toyota? Sind ja gute Einstiegsdaten zur Zeit (KBV von 1, KGV von 11). Oder wenn Auto dann lieber Tata aus Indien? Oder anderer (möglichst bekannter) Titel aus Japan?

Diesen Beitrag teilen


Link zum Beitrag
supertobs
· bearbeitet von supertobs

Kauf von CEZ Group, dem tschechischen Versorger in meiner üblichen Chargenhöhe. CEZ ist Marktführer in Südosteuropa. Market "Emerging", Industrie "Utility". KGV ca. 11,8, KBV 1,8, Dividendenrendite von 5,5%.

 

Mehr Infos hier: http://www.cez.cz/en/investors/shares/basic-shares-information.html.

 

Damit habe ich folgenden Zwischenstand erreicht:

post-7927-0-61970300-1307002895_thumb.jpg

 

Die Verteilung:

post-7927-0-65568700-1307003009_thumb.jpg

 

In Anzahl Aktien

post-7927-0-77501900-1307002897_thumb.jpg

 

In Pacifc gehe ich per ETF. Habe auf die Schnelle keine Aktie gefunden und will erst mal breiter nachkaufen.

Diesen Beitrag teilen


Link zum Beitrag
supertobs
· bearbeitet von supertobs

Zweiter Kauf heute, ich löse den Investitionsstau auf. Beides zu guten Preisen im Direkthandel, einige Börsen sind heute auch auf.

 

Rebalancing-Pfeil zeigte auf North America Core. Dadurch Kauf heute aus der Watchlist: Procter & Gamble; Consumer Goods, KGV 16,8, KBV 4,2, , DivR 2,97 %. Erstinvestment direkt in USA.

 

So sieht es nun danach aus. 6 von 10 Aktien nun da, Verteilung schon ganz nett:

post-7927-0-52109200-1307028780_thumb.jpg

 

post-7927-0-00068300-1307028782_thumb.jpg

Diesen Beitrag teilen


Link zum Beitrag
supertobs

Gestern Kauf von Johnson und Johnson, da Rebalancing-Pfeil des Gesamtdepots (mit ETF und Direktanlage von Anleihen) auf "Nordamerika Value" gezeigt hat. Damit habe ich 7 Aktien. Es bleiben 2 aus EM und 1 Aktie aus USA noch zu investieren.

 

post-7927-0-27777100-1322589146_thumb.jpg

 

post-7927-0-00640300-1322589148_thumb.jpg

Diesen Beitrag teilen


Link zum Beitrag
supertobs

Gestern Kauf von McDonalds. USA ist damit komplett. Es fehlen nur noch 2 Sektoren, beide fülle ich aus EM.

 

post-7927-0-69493600-1330707972_thumb.jpg

 

post-7927-0-67510000-1330707970_thumb.jpg

Diesen Beitrag teilen


Link zum Beitrag
Sven1083

@ supertobs

 

Wie immer klasse Arbeit von dir! Hast du dich denn in EM schon für Einzeltitel entschieden ?

Diesen Beitrag teilen


Link zum Beitrag
supertobs

Ja, diese stehen auf der Watchlist (Samsung und China Mobile), CEZ habe ich schon.

Diesen Beitrag teilen


Link zum Beitrag
Der T

Hi supertobs,

 

ich finde den Ansatz interessant.

Führst Du das Portfolio noch? Wie hat es sich entwickelt? Kam es zu zwischenzeitlichen Umschichtungen?

 

 

Gruß

T

Diesen Beitrag teilen


Link zum Beitrag
supertobs
· bearbeitet von supertobs

Ja, ich führe das Depot noch. Habe nur BP verkauft um Neugewinne mit Altverluste verrechnen zu können. Habe die nicht wieder in diesem Titel angelegt sondern in MSCI Europe. Der Kauf war auch eher ein Zock nach der Ölkatastrophe damals.

 

3 Titel habe ich aufgestockt (JnJ, P&G, Munich Re) auf ca. 8 k Einkaufswert (also 2 Chargen). Habe auch nicht EM vervollständigt bisher.

 

Bin da so nach Gefühl vorgegangen. Eine klare Entscheidung mal in die Titel oder in das allgemeine Depot zu gehen habe ich nicht getroffen (Z.B. Zielvolumen). Ist doch ein hoher Aufwand die Titel auszuwählen. Meine ganze Freizeit verbringe ich zur Zeit mit den Kindern, Einzeltitel stehen da nicht so im Fokus. Das gute an dem passiven Ansatz ist ja auch mal ein paar Jahre nichts machen zu müssen. Das Depot steht saftig im Plus. Ich denke ich führe so 6 - 8 Titel weiter. Zur Zeit lasse ich mich da etwas treiben.

 

Wenn ich Zeit habe, dann in Verkauf/Kauf um Altverluste zu verrechnen. Da habe ich schon 16 k von 20 k Altverlusten geschafft.

 

post-7927-0-05012800-1368553578_thumb.jpg

 

post-7927-0-33295400-1368553579_thumb.jpg

Diesen Beitrag teilen


Link zum Beitrag
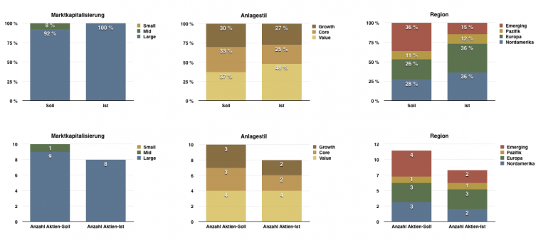
supertobs

Einzelaktiendepot Stand 12/2014

 

Ziel bleibt es immer noch mein "Welt-Sampling-Depot" von 10 Positionen a 10 k. Das Depot soll zwei Zwecke erfüllen: Valle-Direktanlagen als Value-Übergewichtung (ich kenne die Diskussionen dazu) und ein passives Weltdepot mit Einzelaktien nach Branchen, Regionen, Large- und Midcap. Die Freude hier meinen Analysedrang (Sampling-Methoden) auszuleben steht natürlich der Aufwand und vor allem die Auswahlschwierigkeiten gegenüber. Deswegen bin ich hier nicht so aktiv. Bei einigen Positionen denke ich auch über 2 * 5k verschiedene Aktien nach statt 1 mal 10k.

 

Ich habe 8 Aktien, in Summe 60 k derzeit. Muss also noch ein wenige aufstocken...

 

post-7927-0-58734300-1420195675_thumb.png

 

post-7927-0-53445100-1420195678_thumb.png

 

post-7927-0-32663800-1420195680_thumb.png

Diesen Beitrag teilen


Link zum Beitrag
AiGelb

Inzwischen sind wiederum 9 Monate vergangen.

Hast du inzwischen aufgestockt? Kleines Update wäre super!

 

Ansonsten sage ich mal Respekt vor deiner Arbeit, sehr sehr gut :thumbsup:

 

 

Grüße

AiGelb

Diesen Beitrag teilen


Link zum Beitrag
Kontron

Klar Supertobs mache mal Bitte wieder,,

auch wenn du viel bei deinen Unternehmen und mit Frau und Kind zutun hast würde uns eine neue Abwechslung sehr zu sagen.

 

du bist nämlich derjenige von den ich was über ETF`S erfahren habe und gelernt habe, durch Dich habe ich nach langer Zeit wieder mit Börse angefangen .thumbsup.gif

Musste aber auch Gewinne einfachen.tongue.gif

Einen schönen Tag noch und Danke

Diesen Beitrag teilen


Link zum Beitrag
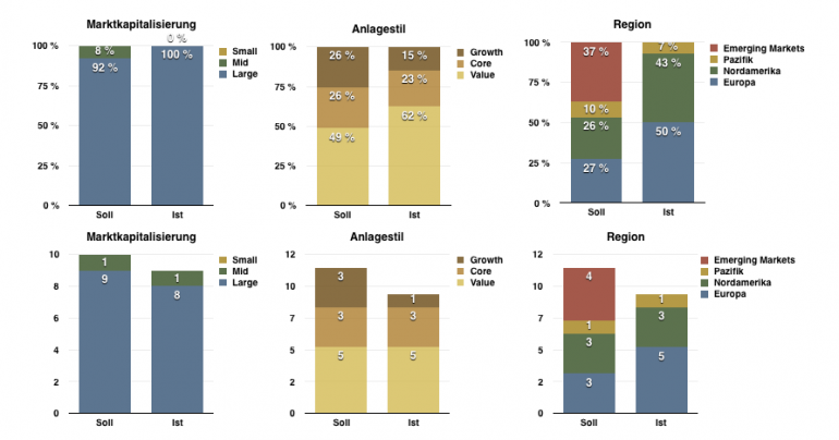
supertobs
· bearbeitet von supertobs

Einzelaktiendepot(Anteil) 05/2016

Hallöchen, leider bin ich für ein Jahresupdate deutlich zu spät dran ...

 

Ich habe zwischenzeitlich EM-Aktien dazugekauft und nach dem Aktientief wieder abgestoßen. EM Aktien passen nicht zu mir: Auswahl fällt mir schwer (Hatte Samsung, China Mobile und CEZ) und bei Tiefphasen bin ich wieder schnell am zweifeln. Die gleich Auswahlschwierigkeiten habe ich im "Growth" Bereich (was immer Growth und Value genau definiert).

 

Das ist der Stand:

post-7927-0-81010200-1462706597_thumb.png

 

Statt "Die Welt in 10 Aktien" lasse ich 3 von 10 EMs weg und den Rest im Wesentlichen in defensive, ertragstarke, langjährige "Dividendenaristokraten". Wie im Musterdepot beschrieben, dotiere ich also den "Value-Übergwichtungsanteil" nach 2009 nicht per ETF sondern mit diesen Aktien:

post-7927-0-70633700-1462706598_thumb.png

 

Nach wie vor diversifiziere ich nach den Branchen (ICB Schema):

post-7927-0-14204000-1462706600_thumb.png

Diesen Beitrag teilen


Link zum Beitrag
supertobs

Dieses Projekt ist größtenteils beendet. Hauptgrund ist Reduktion Komplexität sowie "ewiges" Nachdenken ob man alles richtig macht.

 

Ich habe noch: MA-Atkien, JnJ und Münchener Rück.

 

Bildschirmfoto 2017-02-02 um 17.31.59.png

Diesen Beitrag teilen


Link zum Beitrag

Erstelle ein Benutzerkonto oder melde dich an, um zu kommentieren

Du musst ein Benutzerkonto haben, um einen Kommentar verfassen zu können

Benutzerkonto erstellen

Neues Benutzerkonto für unsere Community erstellen. Es ist einfach!

Neues Benutzerkonto erstellen

Anmelden

Du hast bereits ein Benutzerkonto? Melde dich hier an.

Jetzt anmelden

×
×
  • Neu erstellen...