Zum Inhalt springen
FalloutBoy

Kapitallebensvers. mit SEB Immoinvest -Einzahlungen auf SEB Aktienfonds switchen?

Empfohlene Beiträge

FalloutBoy

Hallo,

 

im Juni 1998 hat mein Vater über die Aachen Münchener eine Fondsgebundene Lebensversicherung auf den Todes- und Erlebensfall (wie sich jetzt herausstellte ohne Garantie bei Erlebensfall) für mich abgeschlossen. Diese habe ich dann im Laufe der Jahre als Beitragszahler übernommen. Der Ablauf der Versicherung ist am 30.06.2013.

Die Beiträge wurden gesplittet angelegt in

 

60% BfG (SEB) Immoinvest

40% BfG (SEB) Aktienfonds

 

Da der SEB Immoinvest nun geschlossen ist, hat man mir angeboten die künftigen Beiträge bis zum Ablauf zu 100% in den SEB Aktienfonds einzuzahlen.

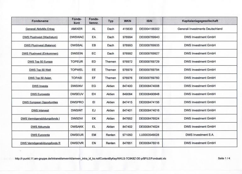
Alternativ zu diesem habe ich eine Auflistung aller hierfür verfügbaren Fonds angefordert. Diese sind

 

Generali AktivMix Ertrag

DWS PlusInvest (Wachstum)

DWS PlusInvest (Balance)

DWS PlusInvest (Einkommen)

DWS Top 50 Europa

DWS Top 50 Welt

DWS Top 50 Asien

DWS Investa

DWS Eurovesta

DWS European Oppurtunities

DWS Interinvest

DWS Vermögensbildungsfonds I

DW Akkumula

DWS Eurorenta

DWS Vermögensbildungsfonds R

 

und noch 33 weitere Fonds der DWS.

 

Was soll ich nun machen? Künftig in den SEB Aktienfonds einzahlen oder in einen anderen?

 

Wie geht es für mich eigentlich weiter, wenn der Vertrag Mitte 2013 ausläuft und der Immoinvest in der Abwicklung ist / bereits abgewickelt wurde?

Wie bekomme ich mein Geld zurück? Häppchenweise, auf einmal, in Fondsanteilen auf ein Depot (habe gar keins)?

 

Die bei der Aachen Münchener halten die sich bedeckt und mein zuständiger Berater hat weniger Ahnung als ich....

 

Vielen Dank

Diesen Beitrag teilen


Link zum Beitrag
ghost_69

Hallo und Willkommen hier im Forum FalloutBoy

 

Die bei der Aachen Münchener halten die sich bedeckt und mein zuständiger Berater hat weniger Ahnung als ich....

 

Es ist auch kein Berater, den gibt es gar nicht, es ist ein Verkäufer nichts anderes.

 

Wie geht es für mich eigentlich weiter, wenn der Vertrag Mitte 2013 ausläuft und der Immoinvest in der Abwicklung ist / bereits abgewickelt wurde?

Wie bekomme ich mein Geld zurück? Häppchenweise, auf einmal, in Fondsanteilen auf ein Depot (habe gar keins)?

 

Bisher ist der SEB ImmoInvest nicht in einer Abwicklung, es ist noch unentschieden.

 

Wenn es denn so wäre, gibt es sicherlich einen Plan

indem das Kapital sicherlich nicht auf einmal sondern

eher auf ca. 3 Jahre zurück kommt, aber da auch nur

das was die Gesellschaft schaffen kann.

 

Der SEB Aktienfonds.pdf

ist nicht schlecht, doch zielt er nur auf Deutschland,

das wäre mir zu riskant, ich würde den anderen

in einen anderen Fonds tauschen,

 

Zeige uns doch mal alle Möglichkeiten.

 

Wenn Du sagst DWS, dann würde ich das Geld

auf den DWS Top Dividende setzen.

 

Ghost_69 :-

Diesen Beitrag teilen


Link zum Beitrag
FalloutBoy

Hallo,

 

vielen Dank schon mal für die Antwort.

 

Hier die Auswahl die ich zu weiteren Anlage der Beträge zur Verfügung habe.

 

Grüße

post-21910-0-23054200-1329987408_thumb.jpg

post-21910-0-59482000-1329987415_thumb.jpg

post-21910-0-16863500-1329987424_thumb.jpg

post-21910-0-21067100-1329987430_thumb.jpg

Diesen Beitrag teilen


Link zum Beitrag
ghost_69

Ich bleibe dabei:

 

1.) SEB Aktienfonds

2.) SEB ImmoInvest tauschen in DWS Top Dividende

 

Ghost_69 :-

Diesen Beitrag teilen


Link zum Beitrag
FalloutBoy

Vielen Dank, dann gebe ich denen mal die entsprechende Info.

 

Grüße

Diesen Beitrag teilen


Link zum Beitrag

Erstelle ein Benutzerkonto oder melde dich an, um zu kommentieren

Du musst ein Benutzerkonto haben, um einen Kommentar verfassen zu können

Benutzerkonto erstellen

Neues Benutzerkonto für unsere Community erstellen. Es ist einfach!

Neues Benutzerkonto erstellen

Anmelden

Du hast bereits ein Benutzerkonto? Melde dich hier an.

Jetzt anmelden

×
×
  • Neu erstellen...