Zum Inhalt springen
Detlef

Lohnt sich Riestern? Riester vs. Privater ETF Sparplan - Excel-Tool

Empfohlene Beiträge

polydeikes
Auf die monatliche Rente habe ich jetzt keine größere Mühe verwandt weil mich primär das aufgebaute Vermögen zu Rentenbeginn innteressiert.

 

Genau das ist bei Riester völlig irrelevant. Nur 30 % können als Kapitalwahlrecht außen vor gelassen werden. Für den gesamten Rest ist die Verrentung das A und O. Und gerade bei Riester Banksparplänen heißt "in die Verrentung gehen" sehr optimistisch auf die nächsten X Jahrzehnte zu schauen.

 

Hier wird eher ein privater Auszahlplan als eine wirkliche Rente simuliert.

Du kannst Schicht 2 nicht mit Auszahlplänen vergleichen, siehe Äpfel und Birnen vergleichen.

 

Eine Rentenversicherung würde wahrscheinlich eine geringere Rente zur Fogle haben.

Okay, ich halte Milkakühe auch für weit mehr Lila als Osterhasen ... aber was genau bringt dich zu deiner Einschätzung?

 

Und was in aller Welt unterstellst du als RK1 Rendite und als Rendite eines Riester Banksparplans? Bei den nicht langfristig festgelegten / starren Referenzzinsätzen gibts für Riester Banksparpläne rund 1 % Zinsen. Da fallen mir eine Menge RK1 Alternativen ein, die das um mehr als 1 % outperformen.

Diesen Beitrag teilen


Link zum Beitrag
moonraker
· bearbeitet von moonraker

[...]

Rein Interessehalber: Ab Zeile 152 Spalte C habe ich die monatliche Rentenauszahlung per Solver berechnet. Bekommt man das auch mit einer einfachen Fomel ohne Makros hin?

[...]

 

Bei diesem Punkt kann Wikipedia helfen: r = B*q^(n-1)*(q-1) / (q^n -1)

Diesen Beitrag teilen


Link zum Beitrag
tyr

Was haltet ihr von der generellen Überlegung Riester für den RK1 Teil zu verwenden?

Ich finde du kannst es dir deutlich einfacher machen. Hier kannst du (grob) einsehen, welches Modell der zweiten Schicht der Altersvorsorge sich für dich eher lohnen kann:

http://www.welt.de/finanzen/article1028665/Qual-der-Wahl-bei-Riester-Ruerup-und-Betriebsrente.html

 

Mir fallen kaum Argumente gegen einen Riestervertrag ein, wenn man denn zulagenberechtigt ist. Aber viele Gründe dafür: staatliche Förderung durch nachgelagerte Besteuerung, Zulagen, Abgeltungssteuerfreiheit und Hartz-4-Pfändungssicherheit. Zudem sind bei Riesterprodukten noch die Einzahlungen und Zulagen garantiert. Welches Anlageprodukt aus der dritten Schicht bietet das in dieser Kombination?

 

Der förderfähige Riester-Höchstbetrag ist mit 1946 Euro pro Jahr ohnehin begrenzt, damit kann man keine großen Sprünge machen. Warum also nicht beides: ein Riesterprodukt besparen und die Vorteile mitnehmen und zusätzlich sich um den Vermögensaufbau in der dritten Schicht kümmern. Selbst wenn man in der zweiten Schicht Riester und bAV bespart reicht das meines Erachtens kaum, um eine ausreichende Risikostreuung aufzubauen.

 

Es gibt bei Riesterprodukten natürlich auch schwache Produkte, für die persönliche Situation ungeeignete Riesterarten und Fallstricke. Riester ist kein Gütesiegel, bringt aber schon einiges an Potenzial mit für einen sinnvollen Baustein zum Aufbau einer Altersvorsorge.

 

Wenn wieder ein Jahr ohne Riestervertrag verstrichen ist, dann hat man wieder die Zulage, Steuervorteile und die H4-Pfändungssicherheit für dieses Geld verloren. Das erste Quartal des Jahres ist ein guter Zeitpunkt, um sich in Ruhe eine für die absehbar mögliche Lebenssituation in den nächsten Jahrzehnten passende Riesterart herauszusuchen und Produkte zu vergleichen. Und wenn man erst Ende des Jahres dazukommt kann man immer noch schnell einen kostenlosen Riester-Banksparplan abschließen, sich die Vorteile für das Jahr sichern und dann im nächsten Jahr zu geringen Kosten in ein anderes Riesterprodukt wechseln.

 

Ich würde wenn möglich immer zuerst die zweite Schicht der Altersvorsorge (Riester oder bAV) aufbauen und erst danach die dritte Schicht mit ungeförderter freie Kapitalanlage angehen.

Diesen Beitrag teilen


Link zum Beitrag
boll
· bearbeitet von boll

[...]

Rein Interessehalber: Ab Zeile 152 Spalte C habe ich die monatliche Rentenauszahlung per Solver berechnet. Bekommt man das auch mit einer einfachen Fomel ohne Makros hin?

[...]

 

Bei diesem Punkt kann Wikipedia helfen: r = B*q^(n-1)*(q-1) / (q^n -1)

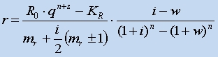
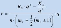
@Detlef: Wenn du es noch "verzweigter" haben möchtest, hier eine Erweiterung zur obigen Formel:

 

Die (anfängliche) Rente r, ausgezahlt in regelmäßigen Entnahmen mr pro Jahr, aus einem Kapitalstock / Rentenbarwert R0, der mit einem Zinssatz i verzinst wird (wobei q = 1+i), mit Berücksichtigung eines möglichen Restkapitals KR nach Rentenbezugsdauer n (in Jahren) und ggf. nach Berücksichtigung einer Wartezeit z (in Jahren) vor Beginn der Rentenzahlung sowie mit einer gewünschten Dynamik w (Rentenerhöhung pro Jahr) errechnet sich wie folgt:

Für i ≠ w:

post-18063-0-75184300-1394522073_thumb.jpg

Wenn i = w, dann

post-18063-0-35592600-1394522067_thumb.jpg

Das ± ist so zu verstehen: Wenn die Rente vorschüssig gezahlt werden soll, dann +1. Wenn nachschüssig, dann -1.

 

Edit: Wenn die Rente monatlich gezahlt werden soll, dann ist mr = 12. Formel analog Entnahmeplan-Rechner.

Diesen Beitrag teilen


Link zum Beitrag
Detlef
· bearbeitet von Detlef
Auf die monatliche Rente habe ich jetzt keine größere Mühe verwandt weil mich primär das aufgebaute Vermögen zu Rentenbeginn innteressiert.

 

Genau das ist bei Riester völlig irrelevant. Nur 30 % können als Kapitalwahlrecht außen vor gelassen werden. Für den gesamten Rest ist die Verrentung das A und O. Und gerade bei Riester Banksparplänen heißt "in die Verrentung gehen" sehr optimistisch auf die nächsten X Jahrzehnte zu schauen.

 

Wenn ich aber die Annahme treffe, bei Renteneintritt das gesamte Vermögen verrenten zu lassen, interessiert mich trotzdem erstmal nur mit welcher Sparvariante ich am meisten Vermögen bis zum Renteneintritt angespart habe. Und darauf liegt mein Fokus. Je größer mein zu verrentendes Kapital => desto größer die Rente. Obwohl du natürlich Recht hast, dass wenn man das Vermögen aus privater Anlage mit Renteneintritt in eine Sofortrente stecke, noch zusätzliche Steuern anfallen. Wenn ich später noch Zeit finde, befasse ich mich gerne noch einmal mit dem Retenfaktor und baue ihn ein.

 

WIe vergleicht man denn am besten einen privaten Auszahlplan mit einer Rente (?)

 

 

Und was in aller Welt unterstellst du als RK1 Rendite und als Rendite eines Riester Banksparplans? Bei den nicht langfristig festgelegten / starren Referenzzinsätzen gibts für Riester Banksparpläne rund 1 % Zinsen. Da fallen mir eine Menge RK1 Alternativen ein, die das um mehr als 1 % outperformen.

 

1% oder weniger ist die aktuelle Verzinsung. Du musst ja schon eine Durchschnittsannahme für die gesamte Laufzeit treffen. Du kannst ja mal mit den Zinssätzen herumspielen. Die Überrendite der privaten RK1 Anlage muss schon ordentlich sein, um mit dem Riestersparvertrag konkurieren zu können.

 

 

@moonraker @boll: Vielen Dank für die Formel. Habe ich eingebaut.

Diesen Beitrag teilen


Link zum Beitrag
Detlef

Was haltet ihr von der generellen Überlegung Riester für den RK1 Teil zu verwenden?

Ich finde du kannst es dir deutlich einfacher machen. Hier kannst du (grob) einsehen, welches Modell der zweiten Schicht der Altersvorsorge sich für dich eher lohnen kann:

http://www.welt.de/f...riebsrente.html

 

Mir fallen kaum Argumente gegen einen Riestervertrag ein, wenn man denn zulagenberechtigt ist. Aber viele Gründe dafür: staatliche Förderung durch nachgelagerte Besteuerung, Zulagen, Abgeltungssteuerfreiheit und Hartz-4-Pfändungssicherheit. Zudem sind bei Riesterprodukten noch die Einzahlungen und Zulagen garantiert. Welches Anlageprodukt aus der dritten Schicht bietet das in dieser Kombination?

 

Der förderfähige Riester-Höchstbetrag ist mit 1946 Euro pro Jahr ohnehin begrenzt, damit kann man keine großen Sprünge machen. Warum also nicht beides: ein Riesterprodukt besparen und die Vorteile mitnehmen und zusätzlich sich um den Vermögensaufbau in der dritten Schicht kümmern. Selbst wenn man in der zweiten Schicht Riester und bAV bespart reicht das meines Erachtens kaum, um eine ausreichende Risikostreuung aufzubauen.

 

Es gibt bei Riesterprodukten natürlich auch schwache Produkte, für die persönliche Situation ungeeignete Riesterarten und Fallstricke. Riester ist kein Gütesiegel, bringt aber schon einiges an Potenzial mit für einen sinnvollen Baustein zum Aufbau einer Altersvorsorge.

 

Wenn wieder ein Jahr ohne Riestervertrag verstrichen ist, dann hat man wieder die Zulage, Steuervorteile und die H4-Pfändungssicherheit für dieses Geld verloren. Das erste Quartal des Jahres ist ein guter Zeitpunkt, um sich in Ruhe eine für die absehbar mögliche Lebenssituation in den nächsten Jahrzehnten passende Riesterart herauszusuchen und Produkte zu vergleichen. Und wenn man erst Ende des Jahres dazukommt kann man immer noch schnell einen kostenlosen Riester-Banksparplan abschließen, sich die Vorteile für das Jahr sichern und dann im nächsten Jahr zu geringen Kosten in ein anderes Riesterprodukt wechseln.

 

Ich würde wenn möglich immer zuerst die zweite Schicht der Altersvorsorge (Riester oder bAV) aufbauen und erst danach die dritte Schicht mit ungeförderter freie Kapitalanlage angehen.

 

 

Ganz so einfach finde ich das nun nicht. Zum einen finde ich Riester oder Betriebsrente nicht unbedingt eine entweder-oder entscheidung, zum Anderen ist die Riesterrente in meinen Augen nicht in jedem Fall der privaten Vorsorge vorzuziehen. Wie mein Rechner zeigt, finde ich, sofern die Kalkulation soweit i.W. korrekt sind, Riester als RK1 Alternative wesentlich interessanter als im RK3 Bereich. Ich würde eure Meinungen dazu gerne noch einmal hören....

Diesen Beitrag teilen


Link zum Beitrag
polydeikes

WIe vergleicht man denn am besten einen privaten Auszahlplan mit einer Rente (?)

 

In dem Fall hier gar nicht. Es sind keine Grundlagen für die Verrentung (RBanksparplan / RFondssparplan) bekannt. Du kannst nur Modellannahmen treffen.

 

---

 

1% oder weniger ist die aktuelle Verzinsung. Du musst ja schon eine Durchschnittsannahme für die gesamte Laufzeit treffen. Du kannst ja mal mit den Zinssätzen herumspielen. Die Überrendite der privaten RK1 Anlage muss schon ordentlich sein, um mit dem Riestersparvertrag konkurieren zu können.

 

Nun, du hast 2 Alternativen. Entweder eine ungeförderte RK1 Investition oder bspw. den Versicherungsmantel einer klassischen Riester PRV.

 

Erstere reicht vom DKB Sparplan bis hin zu Renten ETFs, es gibt unzählige wesentlich rentablere Varianten. Wahlweise mit starrer oder variabler Verzinsung / Rendite ...

Zweitere entwickelt das Renditeniveau bei Zinsanstiegen ebenfalls und ggf. sogar schneller als die Umlaufrendite, da das Anlageuniversum nicht auf Staatsanleihen beschränkt ist und auch Kursgewinne zu Renditen führen ...

 

---

 

Ich gönn mir Riester nun seit etwa einem Jahrzehnt tagtäglich in allen möglichen Facetten. Die Idee einen RK1 Ersatz damit zu basteln hatte ich noch nie ... und das hat so seine Gründe ... meine persönliche Meinung.

Diesen Beitrag teilen


Link zum Beitrag
tyr

 

Ganz so einfach finde ich das nun nicht. Zum einen finde ich Riester oder Betriebsrente nicht unbedingt eine entweder-oder entscheidung, zum Anderen ist die Riesterrente in meinen Augen nicht in jedem Fall der privaten Vorsorge vorzuziehen. Wie mein Rechner zeigt, finde ich, sofern die Kalkulation soweit i.W. korrekt sind, Riester als RK1 Alternative wesentlich interessanter als im RK3 Bereich. Ich würde eure Meinungen dazu gerne noch einmal hören....

Sind denn in deinem Rechner auch die Steuervorteile, die Zulagen, die nachgelagerte Besteuerung (keine Abgeltungsteuer in der Ansparphase) und der weiche Faktor der Hartz-4-Pfändungssicherheit des Riesterproduktes abgebildet?

 

Ich habe immer noch den Eindruck, dass Äpfel und Birnen verglichen werden. Mir ist nicht klar, wieso man auf geförderte AV der zweiten Schicht verzichten sollte und wieso Schicht 2 eine Alternative für Schicht 3 sein kann oder umgekehrt. Meiner Meinung nach bekommt man die Förderung für die zweite Schicht, dann lohnt sie sich normalerweise, dann sollte man immer zuerst Schicht 2 abdecken und erst dann Schicht 3. Oder man kann z. B. wegen Selbständigkeit kein Priester/bAV nutzen, dann ist man nach Schicht 1 gleich in Schicht 3.

Diesen Beitrag teilen


Link zum Beitrag
etherial

Meiner Meinung nach bekommt man die Förderung für die zweite Schicht, dann lohnt sie sich normalerweise, dann sollte man immer zuerst Schicht 2 abdecken und erst dann Schicht 3.

 

Zum einen ist die Förderung ja kein Geschenk. Für den Normalaltersvorsorger ist es nur eine Möglichkeit die Steuer auf die Rente zu schieben - und das mit erheblichen Pferdefüßen:

- Riester muss als Leibrente oder Wohneigentum verwendet werden und das nur im Inland

- Rürup ist heute noch nur zu Bruchteilen von der Steuer absetzbar

- bei BAV gab es mal das Problem mit Doppelbesteuerung, aber auch die Problematik, dass man nicht beliebig anfangen und übertragen kann

 

Und ganz unabhängig davon gibts da noch die Produkte ... Die sind allesamt teurer als vergleichbare ungeförderte Varianten, d.h. die Finanzwirtschaft lässt sich die Förderung saftig bezahlen. Beim Vergleich zwischen Fondssparplänen und ETF-Sparplänen geht das ganze soweit, dass die ungünstigeren (die sowohl 5% AA als auch 2,5% TER verlangen) von der Performance her schlechter sind, und darüber hinaus noch Probleme wie Zwangsumschichtung, Umschichtung zum falschen Zeitpunkt oder unflexible Risikostrategie haben.

Diesen Beitrag teilen


Link zum Beitrag
tyr

- bei BAV gab es mal das Problem [...], dass man nicht beliebig anfangen und übertragen kann

Ist das nicht immer noch so? Es gibt soweit ich weiß keine Wahlfreiheit der bAV, da gibt es Einschränkungen. Ich glaube der Arbeitgeber muss mindestens eine Möglichkeit zur Direktversicherung anbieten, wenn er nichts weiter anbietet. Der AG kann aber glaube ich auch nur die eigene Pensionskasse o.ä. anbieten.

 

Und übertragen kann man das bAV-Kapital ja weiterhin nur in andere bAV-Formen soweit ich weiß. Wenn sich die gesetzlichen Rahmenbedingungen um die bAV also in Zukunft wieder mal zu Ungunsten der Sparer entwickeln bekommt man das Geld dort nicht wie bei Riester (förderschädlich) wieder heraus, sondern muss es um Gedeih und Verderb bei einem bAV-Anbieter stehen lassen, egal ob es z. B. durch eine galoppierende Inflation zwischenzeitlich entwertet wird, man kommt vor Rentenbeginn nicht an das Kapital heran.

 

Eine Einlagensicherung/Insolvenzsicherheit scheint auch nicht bei allen Pensionskassen vorhanden zu sein. Bekommt man es rechtzeitig mit, bevor eine Pensionskasse in Schieflage gerät, so dass man das bAV-Vermögen in einen anderen bAV-Vertrag übertragen kann?

 

Neben den ganzen Punkten, die man an den Schicht-2-Produkten kritisieren kann stehen aber immer noch die Förder-Vorteile, die so kein oder kaum ein Schicht-3-Produkt bieten kann. Wenn man sich ein wenig damit beschäftigt finden bestimmt viele darin einen sinnvollen Baustein für ihre Altersvorsorge.

Diesen Beitrag teilen


Link zum Beitrag
broker561

Ohne dass ich mir die Berechnungen in der Excel Datei genauer angeguckt habe mal eine kurze Frage: Warum wird denn mit dem durchschnittlichen Steuersatz die Steuererattung in der Ansparphase berechnet?

Das muss in jedem Fall der Grenzsteuersatz sein und damit verändert sich die gesamte Berechnung.

 

Wurde tatsächlich einfach mit dem Tagesgeldzinssatz abgezinst? Wurde da die Steuer berücksicht? Weil 3% brutto sind netto ja nur 2,21% (3% x 00,73625).

 

Ich würde sagen, da müsste noch mal einiges geändert werden...

Diesen Beitrag teilen


Link zum Beitrag
Würzburger

Vielleicht sollte man sich den eigenen Riestervertrag genau ansehen. Hier ist fast nur von Steuern die Rede, kaum vom Produkt. Dabei ist gerade die steuerliche Fixierung der Grund, die Rendite der Anlage zu übersehen.

 

Konkret: Ich hatte seit Ende 2008 DWS TopRenteDynamik (wird auch heute noch zu den "Guten" gezählt) ohne AA mit dem jeweiligen Maximalbetrag bespart. Seit einem Jahr ist der Vertrag beitragsfrei, vor einem Monat habe ich ihn gekündigt. Zum Zeitpunkt der Kündigung betrug der Aktienanteil knapp 74 Prozent. Zwei der wichtigsten Fonds sind 984811 und 847652. Durch die Kündigung werden Zulagen und Steuerermäßigung zurück gefordert. Und was ergab sich? Eine Rendite auf die eingezahlten Beiträge von -0,7%.

 

Von daher ist die Konzentration auf die Steuerermäßigung doch nicht so falsch, da nur durch sie und die Zulagen überhaupt eine positive Rendite erzielt werden konnte. Theoretisch und im Moment. In der Auszahlungsphase kommt die Steuerbelastung ja noch, wenn auch nicht so hoch. Wenn man dagegen vergleicht, was obige Fonds (ohne ein Fan von ihnen zu sein) in dieser Zeit für eine Rendite erwirtschaftet haben, kann man beim Riestersparen nur von einem Betrug am Sparer sprechen. Deshalb bereue ich meine Entscheidung nach dem Motto "lieber ein Ende mit Schrecken" keineswegs.

Diesen Beitrag teilen


Link zum Beitrag
polydeikes
· bearbeitet von polydeikes

Ohne hier irgendwie das DWS Produkt verteidigen zu wollen, den Ausführungen ggü. bin ich skeptisch. Selbst in sehr rentenlastigen Verträgen hätte Ende 2008- heute zwangsläufig eine positive Performance entstehen müssen. Umschichtungen hin oder her ...

 

Auch widerspricht das den zahlreichen Darstellung im Produkt Thread. Die Rendite mag auch in der letzten attraktiven Börsenphase mies, aber keinesfalls negativ gewesen sein.

 

Siehe bspw. Bolls Auswertung:

https://www.wertpapier-forum.de/topic/37511-wertentwicklung-riestervertrge/?do=findComment&comment=863386

 

Und bei Boll weiss ich, dass er richtig rechnet ...

 

Ich vermute hier eher Rechenfehler im Kontext der förderschädlichen Verwendung. Du hast nicht bspw. einfach die Steuerrückzahlung in den Vertragswert rein gerechnet?

Diesen Beitrag teilen


Link zum Beitrag
boll

Die WKNs 984811 bzw 847652 führen zu den Fonds DWS Top Dividende (ISIN DE0009848119) bzw. DWS Vermögensbildungsfonds I (ISIN DE0008476524), welche letztlich nur zwei von vielen Zielfonds im Dachfonds DWS Top Dynamic (LU0350005186) sind. Ich denke, es ist zielführender, sich die Wertentwicklung des Dachfonds (und zusätzlich die der Rentenkomponente) anzusehen.

 

Zu berücksichtigen ist auch, dass es wenig sinnvoll ist, die Rendite eines Sparplans (welcher ggf. noch Umschichtungen enthält) mit der Rendite einer Einmalzahlung zu vergleichen...

 

Auch ich kann mir schwer vorstellen, dass die Wertentwicklung deines Vertrags derart negativ ausgefallen sein sollte. Wie polydeikes schon hervorhob, besteht dein Vertragsguthaben aus den Zulagen und deinen Einzahlungen, wobei letztere noch um die Steuererstattungen bereinigt werden müssen. Beispielrechnung mit Fantasie aus o.g. Auswertung hergeleitet:

a) Vertragsguthaben zum Zeitpunkt der förderschädlichen Kündigung: 13.400 € (halte ich in deinem Fall für realistisch, Einmalzahlung 1.946 € Ende 2008, dann 162,17€ mtl., ab 04/2013 beitragsfrei)

b] abzgl. Zulagen: 770€

c) abzgl. Steuererstattungen: 2.500€

d) abzgl. eigene Einzahlungen nach Steuererstattung 7.700 €

e) Gewinn = 2.430 € (bereinigt um Förderung)

 

f) wobei c) + d) deine Einzahlungen in den Vertrag vor Steuer sind (10.200 €).

g) wobei a) - b] - c) = 10.130 € im Verhältnis zu f) = 10.130 € / 10.200 € = 99,3 % = -0,7 % sind, welche du vermutlich andeuten wolltest.

 

Zur Info: Der Gewinn e) ist im Nachgang der förderschädlichen Kündigung noch zu versteuern. I-wo im WPF wurde herausgearbeitet, dass dieser Gewinn mit dem persönlichen Steuersatz zu versteuern sein soll...

Diesen Beitrag teilen


Link zum Beitrag
polydeikes

Nee, halt net. Es ist einfach:

 

Vertragsguthaben - Zulagen - Einzahlungen = "Gewinn vor Steuern"

 

Die Steuererstattungen fließen doch gar nicht in den Vertrag, sie fließen direkt zum Riester Sparer. Ich kann also die Steuererstattungen nicht vom Vertragsguthaben abziehen, ohne sie vorher wieder drauf zu rechnen. Diesen gedanklichen Fehler halte ich für am Wahrscheinlichsten.

 

Nehmen wir mal an, dass die reale Förderung bei 56 % lag, was einem Brutto von ca. 45k entsprechen würde. Dann machen die Steuerersparnisse ca. 30 % von den 1946 Euro Brutto Eigenbeitrag aus. Wenn er jetzt bspw. diese 30 % einfach vom Vertragswert abgezogen hat, könnte das mit einer leicht negativen Gesamtrendite durchaus passen.

 

Wäre dann aber natürlich völliger Unsinn, da ja wie gesagt die Steuerersparnis nie in den Vertrag selbst fließt.

 

Der unzulässige Vergleich Sparplan / Einmalanlage wäre aber auch eine Möglichkeit. Nur dürfte das nicht genügend Unterschied erzeugen, um auf eine leicht negative Rendite zu kommen.

Diesen Beitrag teilen


Link zum Beitrag
polydeikes
· bearbeitet von polydeikes
Zur Info: Der Gewinn e) ist im Nachgang der förderschädlichen Kündigung noch zu versteuern. I-wo im WPF wurde herausgearbeitet, dass dieser Gewinn mit dem persönlichen Steuersatz zu versteuern sein soll...

 

Adun hatte das mal ausgearbeitet und ausformuliert. Der gedankliche Fehler in dem Fall kam von mir, hab die ganze Verwirrung damals versehentlich ausgelöst. Es ist halt so:

 

Kündige ich die Kapitalversicherung vor 12 Jahren Laufzeit, habe ich seit 2009 Abgeltungssteuer statt persönlichem Steuersatz. Im Beispiel mit Adun haben wir aber gerechnet, ob eine förderschädliche Verwendung kurz vor Rentenbeginn lohnt. Dann greift aber nicht die Abgeltungssteuer, da in unserer Annahme Laufzeit > 12 Jahre.

 

Abgeltungssteuer greift auch beim Verkauf von Kapitalversicherungen, diese Option entfällt aber im Kontext Riester.

 

edit: Wobei ich nicht weiss was passiert, wenn ich mein Riester Guthaben in eine andere Riester Police übertrage .... :lol: :lol: :lol:

Diesen Beitrag teilen


Link zum Beitrag
boll

Vertragsguthaben - Zulagen - Einzahlungen = "Gewinn vor Steuern"

Ich glaube, wir wollen beide aufs Gleiche hinaus. Denn die Einzahlungen wollte ich mit mit f) ausdrücken.

 

Vertragsguthaben a) - Zulagen b] - Einzahlungen f) = Gewinn vor Steuer,

wobei sich die Einzahlungen f) - rein kalkulatorisch - auf die Steuererstattungen c) und eigenen Einzahlungen nach Steuererstattungen d) aufteilen lassen; f = c + d. Wie gesagt, rein kalkulatorisch, im Vertrag sind die Steuererstattungen natürlich so nicht zu sehen...

 

a) 13.400 €

abzgl. b] 770€

abzgl. f) 10.200 €

= e) Gewinn 2.430 €

 

In den Einzahlungen f) könnten etwa 2.500 € Steuererstattungen c) enthalten sein, so dass - rein kalkulatorisch - nach Steuererstattung selbst nur etwa 7.700 € d) eingezahlt wurden. Die reale Förderquote würde dann (770 + 2500) / 7.700 = 42,5% betragen...

 

Zurückzahlen muss Würzburger in jedem Fall die gesamte Förderung, b] + c) = 3.270 €. "Ausgezahlt" werden demnach a) - b] - c) = 10.130 € = g)

Seine Sichtweise, so wie ich sie interpretiere, sagt nun, dass dieser Auszahlbetrag g) 0,7% weniger als seine gesamten Einzahlungen f) sind und er somit keinen Gewinn gemacht habe...

 

Wie auch immer - irgendwas scheint nicht zu stimmen...

 

Danke für's Aufklären der steuerlichen Auswirkungen bei einer förderschädlichen Kündigung! :thumbsup:

Diesen Beitrag teilen


Link zum Beitrag
polydeikes

Du weisst doch: Meine mathematischen Fähigkeiten sind auf reines Rechnen mit Punkt- und Strichrechnung limitiert. Sobald da noch Buchstaben dazu kommen ... bin ich überfordert. ;)

 

Um die reine Vertragsrendite nach Kündigung zu betrachten reicht halt:

 

Vertragsguthaben - Zulagen - Einzahlungen = "Gewinn vor Steuern"

 

Die Steuererstattungen kann man da einfach gänzlich außen vor lassen ... die fließen niemals in den Vertrag, beeinflußen also die Rendite des Vertrags selbst überhaupt nicht.

 

Wir haben bestimmt das Gleiche gemeint, ich kann dir nur schlichtweg nicht folgen. ;)

Diesen Beitrag teilen


Link zum Beitrag
Würzburger

Vertragsguthaben - Zulagen - Einzahlungen = "Gewinn vor Steuern"

Ich glaube, wir wollen beide aufs Gleiche hinaus. Denn die Einzahlungen wollte ich mit mit f) ausdrücken.

 

Vertragsguthaben a) - Zulagen b] - Einzahlungen f) = Gewinn vor Steuer,

wobei sich die Einzahlungen f) - rein kalkulatorisch - auf die Steuererstattungen c) und eigenen Einzahlungen nach Steuererstattungen d) aufteilen lassen; f = c + d. Wie gesagt, rein kalkulatorisch, im Vertrag sind die Steuererstattungen natürlich so nicht zu sehen...

 

a) 13.400 €

abzgl. b] 770€

abzgl. f) 10.200 €

= e) Gewinn 2.430 €

 

In den Einzahlungen f) könnten etwa 2.500 € Steuererstattungen c) enthalten sein, so dass - rein kalkulatorisch - nach Steuererstattung selbst nur etwa 7.700 € d) eingezahlt wurden. Die reale Förderquote würde dann (770 + 2500) / 7.700 = 42,5% betragen...

 

Zurückzahlen muss Würzburger in jedem Fall die gesamte Förderung, b] + c) = 3.270 €. "Ausgezahlt" werden demnach a) - b] - c) = 10.130 € = g)

Seine Sichtweise, so wie ich sie interpretiere, sagt nun, dass dieser Auszahlbetrag g) 0,7% weniger als seine gesamten Einzahlungen f) sind und er somit keinen Gewinn gemacht habe...

 

Wie auch immer - irgendwas scheint nicht zu stimmen...

 

Danke für's Aufklären der steuerlichen Auswirkungen bei einer förderschädlichen Kündigung! :thumbsup:

 

 

Bin ich denn der Einzige, der schon seinen Vertrag gekündigt hat?

 

Also, konkret: Abgeschlossen über AAV (ohne AA) Januar 2008, anscheinend konnte man durch Einmalbetrag noch die Förderung 2007 mitnehmen. Mein letzter aussagekräftiger Auszug erfolgte mit Stand 31.12.2013:

 

Seit Beginn eingezahlte Beiträge: 10 675 Euro

Grundzulagen: 761,95 Euro

Guthaben: 13 123,71 Euro

 

Guthaben bei Kündigung Anfang März 2014: 13 345,05 Euro

 

 

 

Abzüge: Zulagen: 761,95 Euro (Vertrag ruhte 12 Monate)

gewährte Steuerermäßigung: 2 288,44 Euro

Depotentgelt: 15,40 Euro

 

Auszahlungsbetrag: 10 279,26 Euro

 

Über die Jahre ergibt sich also ein Minus von insgesamt 3,7 Prozent (und nicht 7). Trotzdem schon interessant, da ich beide Fonds auch noch so von vor 2009 im Depot habe und deren Entwicklung (wenn auch nicht berauschend, zumal davor auch recht schlecht) sehe.

 

Meine Frage, nachdem ihr euch schon so anregend um Antworten bemüht: Könnte der DWS ein Fehler unterlaufen sein?

Diesen Beitrag teilen


Link zum Beitrag
polydeikes

Nein, nicht der DWS ist ein Fehler unterlaufen ... du hast genau den vermuteten Fehler gemacht.

 

Du musst rechnen:

13345,05

-761,95 Zulagen

- 10675 Beiträge

 

Was übrig bleibt ist deine Vertragsrendite vor Steuern. Das sind immerhin gute 20 %.

 

Die Steuern darfst du rechnerisch nicht abziehen. Die Steuererstattung fließt nicht in den Vertrag. Die wurde wahlweise erstattet oder eben "verrechnet" ggü. einer potentiellen Steuernachzahlung. Sprich sie landete auf deinem Konto, nicht im Vertrag.

 

Abgezogen wird die Steuerschuld durch das FA allerdings vom Vertragsguthaben, ist der einfachste Weg. Ansonsten müsste das Finanzamt deiner Steuerschuld hinterherlaufen ...

 

Einzig und allein dein Verständnisfehler ...

Diesen Beitrag teilen


Link zum Beitrag
Würzburger

Nein, nicht der DWS ist ein Fehler unterlaufen ... du hast genau den vermuteten Fehler gemacht.

 

Du musst rechnen:

13345,05

-761,95 Zulagen

- 10675 Beiträge

 

Was übrig bleibt ist deine Vertragsrendite vor Steuern. Das sind immerhin gute 20 %.

 

Die Steuern darfst du rechnerisch nicht abziehen. Die Steuererstattung fließt nicht in den Vertrag. Die wurde wahlweise erstattet oder eben "verrechnet" ggü. einer potentiellen Steuernachzahlung. Sprich sie landete auf deinem Konto, nicht im Vertrag.

 

Abgezogen wird die Steuerschuld durch das FA allerdings vom Vertragsguthaben, ist der einfachste Weg. Ansonsten müsste das Finanzamt deiner Steuerschuld hinterherlaufen ...

 

Einzig und allein dein Verständnisfehler ...

 

Na, theoretisch beruhigend. Nur was habe ich ehrlich gesagt davon? Bleibt trotzdem ein Minusgeschäft. Nach Steuern. Also praktisch.

Diesen Beitrag teilen


Link zum Beitrag
polydeikes

Keine Ahnung wo dein Verständnisproblem liegt. Die Steuerstattung hast du jedes Jahr bekommen, siehe deine Steuererklärungen / -bescheide für diese Jahre. Du hast förderschädlich aufgelöst, also zahlst du diesen Vorteil zurück. Aber eben nicht von deinem privaten Konto, wo das Geld seinerzeit auch gelandet ist ... sondern der Einfachheit halber gleich vom Vertragsguthaben.

 

Du hast KEIN Minusgeschäft gemacht.

Diesen Beitrag teilen


Link zum Beitrag
Würzburger

Keine Ahnung wo dein Verständnisproblem liegt. Die Steuerstattung hast du jedes Jahr bekommen, siehe deine Steuererklärungen / -bescheide für diese Jahre. Du hast förderschädlich aufgelöst, also zahlst du diesen Vorteil zurück. Aber eben nicht von deinem privaten Konto, wo das Geld seinerzeit auch gelandet ist ... sondern der Einfachheit halber gleich vom Vertragsguthaben.

 

Du hast KEIN Minusgeschäft gemacht.

 

Na, dann hast mir du ja den jungen Tag gerettet und ich kann beruhigt ins Bett.

 

Nein, ich bin nun mal kein Freund von einem starren Korsett, das dir so ein Vertrag aufzwingt, sondern behalte lieber meine Flexibilität in Sachen Geldanlage.

Diesen Beitrag teilen


Link zum Beitrag
polydeikes
· bearbeitet von polydeikes

Das sind zwei völlig unterschiedliche Dinge. Du hast dich gegen das Produkt und gegen das Konzept entschieden, das ist ganz allein deine Entscheidung und dein gutes Recht. Wobei das eine mit dem anderen nicht einmal was zu tun hat ... aber wollen wir es hier nicht mehr unnötig übertreiben.

 

Nur die Aussage, dass du MIESE gemacht hast bleibt schlichtweg FALSCH. Du hast das Prinzip schlichtweg nicht verstanden.

 

Riester ist komplex und viele Riester Sparer verstehen es nicht ansatzweise. Wir helfen im Forum diesbezüglich gern weiter.

 

ABER

 

Das ist überhaupt nicht das Problem ...

 

Ich zitiere dazu deinen Eingangspost:

 

Von daher ist die Konzentration auf die Steuerermäßigung doch nicht so falsch, da nur durch sie und die Zulagen überhaupt eine positive Rendite erzielt werden konnte. Theoretisch und im Moment. In der Auszahlungsphase kommt die Steuerbelastung ja noch, wenn auch nicht so hoch. Wenn man dagegen vergleicht, was obige Fonds (ohne ein Fan von ihnen zu sein) in dieser Zeit für eine Rendite erwirtschaftet haben, kann man beim Riestersparen nur von einem Betrug am Sparer sprechen. Deshalb bereue ich meine Entscheidung nach dem Motto "lieber ein Ende mit Schrecken" keineswegs.

 

Oder kurz formuliert ... bla bla bla ... Stammtischparole ... bla bla bla ...

 

Und genau da liegt mein Problem. Hättest du gesagt ... dies, das, jenes ... ist das nicht evtl. ... könnte das nicht ... oder ähnliches, alles kein Problem. Aber nein, du polterst mit nicht existentem Wissen für die Zusammenhänge in den thread und stellst Behauptungen auf.

 

Und das ist genau das, was mit Riester passiert. Die Leute sind gefrustet, weil sie Zusammenhänge nicht verstehen oder nicht verstehen können. Wobei ich mit Ersterem "nicht wollen" im Kontext "keine Zeit dafür aufwenden" meine. Das kann ich alles nachvollziehen.

 

Die Stammtischreaktionen, siehe das Zitat, kann ich allerdings nicht nachvollziehen. Nur weil ich selbst etwas nicht verstehe, begeht noch lange niemand anderes eine Straftat (Betrug = Straftat).

Diesen Beitrag teilen


Link zum Beitrag
tyr
· bearbeitet von tyr

Nein, ich bin nun mal kein Freund von einem starren Korsett, das dir so ein Vertrag aufzwingt, sondern behalte lieber meine Flexibilität in Sachen Geldanlage.

Wo siehst du bei Riester ein starres Korsett? Riesterverträge sind doch sehr flexibel. Du kannst sowohl die Einzahlungs-, als auch die Auszahlungsphase mit einer Vielzahl unterschiedlicher Produkte und Möglichkeiten flexibel gestalten und diesen Baustein zur Altersvorsorge deinen Bedürfnissen entsprechend anpassen. Du kannst auch vor dem Ablauf förderschädlich kündigen wie in deinem Fall, dann fließen nur die erhaltenen Förderungen wieder an den Staat zurück. Die mit der Zulage erzielten Erträge darfst du behalten. Das ist mehr als fair.

 

Vergleiche diese Flexibilität doch mal mit dem zweiten Konstrukt zur Altersvorsorge in der zweiten Schicht, der betrieblichen Altersversorgung. In dem Rahmen kannst du vergleichen. Und bei der bAV kommst du soweit ich weiß vor Renteneintritt gar nicht an das eingezahlte Geld heran und du hast viel weniger Freiheitsgrade als bei Riester. Das ist unflexibel im Vergleich.

 

Wenn die gegebene meines Erachtens große Flexibilität von Riesterprodukten nicht ausreicht bleibt nur noch freies Sparen in der dritten Schicht. Aber eben dann ohne die Riestervorteile. Die Erträge sind sofort steuerpflichtig, es gibt keine staatliche Zulage und das angesparte Vermögen muss im Fall von Hartz-4-Bezug aufgebraucht werden. Viel Spaß, wenn du mal vor Erreichen des Rentenalters einer der statistisch z.B. 20 % aller Büroarbeiter wirst, die berufsunfähig werden. Dann darfst du erstmal alles das, was du mühsam in Schicht 3 privat angespart hast verbrauchen, bevor es Geld vom Sozialamt gibt. Gefördertes Riestervermögen ist davor geschützt. Das muss auch nicht dir passieren, es reicht, wenn es jemandem in deiner Familie passiert. Sind denn alle Einkommen in deiner Familie vor Renteneintritt z. B. mit privaten Risiko-LV, Privathaftpflicht und Berufsunfähigkeitsversicherungen abgesichert?

Diesen Beitrag teilen


Link zum Beitrag

Erstelle ein Benutzerkonto oder melde dich an, um zu kommentieren

Du musst ein Benutzerkonto haben, um einen Kommentar verfassen zu können

Benutzerkonto erstellen

Neues Benutzerkonto für unsere Community erstellen. Es ist einfach!

Neues Benutzerkonto erstellen

Anmelden

Du hast bereits ein Benutzerkonto? Melde dich hier an.

Jetzt anmelden

×
×
  • Neu erstellen...