Zum Inhalt springen
Schlaftablette

Dividend-Diskont-Modell / Gordon-Growth-Modell: Verstaendnis, Schwachstellen, Grenzen und praktische Anwendung

Empfohlene Beiträge

Schlaftablette

Hallo zusammen,

 

Beim Lesen diverser Blogs, Kommentare und auch hier im Forum treffe ich gelegentlich auf die Frage, wie der Innere Wert einer Aktie bestimmt (oder besser gesagt geschaetzt) werden kann. Diese Frage ist keineswegs trivial. Ich selber habe sie mir seit Beginn meiner Aktionaerskarriere gestellt – und stelle sie mir bis heute. Eine einfache Antwort bzw. Formel habe ich nicht gefunden und ich bezweifele auch stark, dass es sie gibt.

 

Zur Schaetzung des Inneren Wertes gibt es unterschiedliche Ansaetze. Eine Turn-Around Aktie (z.B. seinerzeit Praktiker) wuerde man anders bewerten als einen Extrem-Zykliker (z.B. Daimler), und noch anders eine Dividend-Growth-Aktie. Da ich mich weitgehend auf letzteres spezialisiert habe, wuerde ich mich an dieser Stelle ueber eine Diskussion ueber Bewertungen von Dividend-Growth-Aktien freuen. Insbesondere habe ich hier das Dividend-Diskont-Modell (DDM) im Auge. Wenn jemand weitere Bewertungsansaetze fuer Dividend-Growth Aktien zur Auswahl hat, wuerde ich vorschlagen, dass diese erwaehnt werden, aber die anschliessende Diskussion sollte in einen separaten Thread ausgelagert werden. Beispielhaft sei hier noch die sogenannten „Easy-Buffet Methode“ genannt. Sollte sich hier eine nuetzliche Diskussion ueber das DDM entwickeln, koennte der Thread durch die Mods anschliessend gerne in ein entsprechendes Unterforum verschoben und festgepint werden.

 

Mir schwebt vor, dass wir zuerst den theoretischen Unterbau etwas beleuchten, und uns mathematische und logische Grenzen ansehen. Dabei sollten Staerken, aber auch Schwachstellen des Modells klar werden. Wenn wir das ganze mit ein paar Beispielrechnungen abrunden und die zugrundeliegenden Annahmen diskutieren koennten, waere ich sehr zufrieden.

 

Was ich mir davon erhoffe? Ich bin ehrlich gesagt etwas egoistisch. Mir fehlt manchmal das Gefuehl dafuer, wie man den Inneren Wert einer Aktie einschaetzt. Wann ist sie teuer, und ab wann waere sie guenstig? Bisher bin ich von den Durchschnitts-KGVs der vergangenen Dekade ausgegangen (mind. aber seit 2005/2006, um eine Wirtschaftskrise mitzunehmen). In mehreren Blogs bin ich auf das DDM gestossen. Als Ingenieur habe ich allerdings eine goldene Regel: Bevor ich eine Formel anwende, will ich wissen, welche Grenzen dieser Formel gesetzt sind, wann die Ergebnisse plausibel sind, und in welchem Bereich die Gueltigkeit der Formel in Zweifel zu ziehen ist. Mit anderen Worten: Ich will das Modell verstehen und ein Gefuehl dafuer bekommen, und ich hoffe, ihr helft mir dabei.

 

1. Generelles Prinzip des Modells:

 

Beim DDM geht man davon aus, dass die Aktie genauso viel Wert ist, wie die Summe aller zukuenftigen Dividenden. Dabei gibt es allerdings einen Haken. 1€ heute ist mehr Wert als 1€ in einem Jahr. Denn wenn ich den 1€ heutezu 10% Zinsen anlegen koennte, dann waere er in 1 Jahr 1,10€ wert. Und in 2 Jahren waere der 1 € aufrund des Zinseszinses sogar 1,21€ wert. Um diesen Effekt zu beruecksichtigen, muessen zukuenftige Dividenden abgezinst (bzw. „diskontiert“) werden, daher auch der Name des Models.

 

 

2.1. Erster Fall: Dauerhaft konstante Dividende

 

Zuerst wuerde ich auf den einfachsten Fall eingehen: Ein Unternehmen schuettet Jahr fuer Jahr dieselbe Dividende pro Aktie aus, naemlich 1€ pro Aktie. Die Formel dafuer lautet: Unternehmenswert = aktuelle Dividende / Diskontsatz. Gehen wir davon aus, dass wir 10% Vorsteuer-Rendite einfahren wollen. Dann wuerde sich folgendes Bild ergeben:

 

post-23911-0-56428700-1411145320_thumb.jpg

Der Barwert (d.h. was die zukuenftige Dividende heute wert waere) naehert sich immer weiter gegen Null, erreichen diese aber nie. Die Mathematiker nennen diesen Zustand „asymptotisch“. Wuerde man die Barwerte der zukuenftigen Dividenden ab heute bis in alle Ewigkeit aufaddieren, wuerde die Summe genau 10 € betragen. Daraus ergeben sich zwei interessante Punkte:

a. Der Schwachpunkt der Modells: Man geht von einem Unternehmen mit ewig konstanter Dividende aus. Wir wissen aber, dass es keine ewigen Unternehmen gibt. Selbst bei stabilen Unternehmen sind 10 Jahre mit einer gewissen Unsicherheit behaftet (Beispiel: ehemals klassische Dividendenpapiere wie Eon, RWE, Deutsche Bank).

b. Dem entgegen steht, dass die ersten Jahre deutlich wichtiger fuer den Unternehmenswert sind als die spaeteren Jahre. Um bei unserem Beispiel mit 1€ Dividende und 10% Diskontsatz zu bleiben: Jahr 1 bis Jahr 10 ist 6,51€ wert (also fast 2/3 des Wertes). Jahr 11 bis Jahr 20 bringen immerhin noch 2,27€ und Jahr 21 bis 31 sind gerade eben noch 0,79€ wert.

 

2.2. Bedeutung und Wirkung unterschiedlicher Diskontsaetze bei konstanter Dividende

Nachfolgendes Diagramm zeigt die Entwicklung des Barwerts bei Diskontsaetzen von 5%, 10% und 15%:

post-23911-0-13231200-1411145574_thumb.jpg

Interessanterweise faellt auf, dass ein hoeherer Diskontsatz den Barwert schneller gegen 0€ laufen laesst. Damit werden immer weniger Jahre entscheidend. Legt man die o.g. Formel an, dann stellt man fest, dass der Unternehmenswert bei hoeheren Diskontsaetzen niedriger wird. Hoehere Diskontsaetze fuehren zu konservativeren Ergebnissen. Setzt man den Diskontsatz zu hoch an, dann kann das zu laecherlich niedrigeren Aktienkursen kommen, zu denen man das Unternehmen selbst in einer Krise wie 2008/09 nicht kaufen kann. Letztlich repraesentieren die Diskontsaetze die erwarteten Renditen. Schaetzt man die Dividende als sehr sicher ein, kann man niedrigere Diskontsaetze annehmen. Glaubt man dagegen, dass das Risiko hoeher ist, dann sollte man auch hoehere Diskontsaetze annehmen.

 

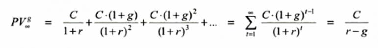
3. Zweiter Fall: Konstant Wachsende Dividende

 

Im zweiten Fall gehen wir davon aus, dass die Dividende kontinuierlich waechst. Gleichzeitig werden die zukuenftigen Dividenden wiederum abdiskontiert. Hier ein Beispiel einer Aktie, die mit 3% p.a. waechst und mit 10% abdiskontiert wird:

post-23911-0-53042300-1411145685_thumb.jpg

Die Formel dafuer lautet: Unternehmenswert = aktuelle Dividende / (Diskontsatz-Dividendenwachstum). Im Oben genannten Beispiel wuerde sich folgender Wert ergeben: 1€/(10%-3%)=14,29€. Damit wird klar, dass das Dividendenwachstum den Effekt aus dem Abdiskontieren reduziert. Die Aktie aus dem oberen Beispiel verhaelt sich genauso, als wuerden wir die Dividende als konstant annehmen und mit einem effektiven Diskontsatz von 7% abdiskontieren. Streng genommen ist Fall 1 ein Sonderfall von Fall 2, naemlich Dividendenwachstum von 0%. Je naeher die Wachstumsrate an die Diskontrate ranrueckt, desto unzuverlaessiger wird der errechnete Unternehmenswert. Falls man Wachstumsrate = Diskontrate erreicht, dann wird der Unternehmenswert unendlich. Hier liegt der mathematische Sonderfall einer Division durch Null vor. Was passiert im echten Leben? Nun, wenn die Dividende von 1€ um 10% waechst, und zugleich um 10% abdiskontiert wird, dann ist die Dividende von Jahr 2 auch 1€ wert, ebenso die Dividende von Jahr 3, 4, 5 u.s.w. Die Dividende der Zukunft wird nicht weniger wert, strebt nicht gegen Null. Auch in 10.000 Jahren ist die Dividende immer noch 1€ wert. Man muss nur lange genug warten, dann waere jeder Preis gerechtfertigt. Das widerspricht unserer Lebenserfahrung.

 

4. Praxisbeispiel: Gerry Weber AG

 

Nach all der Theorie wollen wir uns jetzt mit einem Praxisbeispiel beschaeftigen. Ich habe dazu die Gerry Weber AG gewaehlt. Hier mal eine Uebersicht ueber die EPS- und die Dividendenentwicklung seit 2003:

post-23911-0-41935900-1411145834_thumb.jpg

 

Dabei sind mehrere Punkte interessant:

 

--> Bis 2005 wurde nach HGB bilanziert, die Zahlen sind also nicht umittelbar vergleichbar mit den Zahlen nach 2005. Wir wollen diesen Punkt an der Stelle aber nicht weiter vertiefen.

 

--> Bis etwa 2012 fand eine sehr beachtliche Expansion auf dem deutschen Markt statt. Mittlerweile gibt es praktisch in jeder Stadt ueber 50.000 Einwohner eine Filiale, das Wachstum stoesst in Deutschland an seine Grenzen. Gerry Weber versucht die Expansion ins Ausland. Sollte dies gelingen, kann man davon ausgehen, daus auch in der naechsten Dekade ein aehnliches Wachstum wie in der letzten Dekade hingelegt werden kann. Andernfalls sollte man von deutlich niedrigerem Wachstum in Zukunft ausgehen.

 

--> Die Pay-out ratio blieb in etwa konstant zwischen 40 und 50%. Das werte ich als Positiv. Haette Gerry Weber die Pay-out ratio erhoeht, dann musste man fuer die Zukunft ein geringeres Dividendenwachstum prognostizieren, denn eine Erhoehung der Pay-out ratio laesst sich nicht endlos durchziehen.

 

--> Die EK-Quote wurde von 52% in 2003 auf 74% in 2013 erhoeht. Das ist fuer uns sehr positiv, denn es bedeutet, das mehr Gewinn einbehalten wurde, um die EK-Quote zu steigern, anstatt dass die Dividenden erhoeht wurden. Nun ist das „Fettpolster“ an der Grenze dessen, was noch moeglich ist. Es gibt fast keine Schulden mehr, die noch abgezahlt werden muessen. Entweder wird das Geld in Zukunft an die Aktionaere ausgeschuettet (was bei konstantem Gewinn-Wachstum fuer hoeheres Dividendenwachstum als in der vergangenen Dekade sorgen sollte), oder das Geld wird investiert (was theoretisch denselben Effekt haben sollte). Sowie eine Pay-out ratio nicht endlos erhoeht werden kann, so kann auch die EK-Quote nicht endlos erhoeht werden.

 

Wenn ich mir das EPS- und das Dividendenwachstum ueber 10, 5 und 3 Jahre ansehe, dann denke ich, dass ein zukuenftiges Dividenden-Wachstum von 8% p.a. realistisch ist – sofern man an den Erfolg der Auslandsexpansion glaubt. Wenn man nun 10% Rendite p.a. erwartet, dann waere der Faire Preis bei 0,75€ / (10%-8%) = 37,50€. Ist jemand mutig und geht gar von 9% Wachstum aus, dann laege der faire Preis bei 0,75€ / (10%-9%) = 75€. Das ist ein ziemlicher Sprung! Hier liegt meiner Meinung nach die Haupt-Schwaeche des DDM: liegen Diskontsatz und Wachstum nah beieinander, so kommt es zu extremen Schwankungen. Ich persoenlich glaube, dass sowohl Gewinn als auch Dividende in der naechsten Dekade um ca. 8-10% p.a. steigen werden. Was allerdings danach passiert ist „in die Glaskugel schauen“.

 

5. Staerken des DDM:

 

--> Das Model ist recht einfach aufgebaut, mit etwas Uebung kann man einen Unternehmenswert in etwa im Kopf abschaetzen

 

--> Dividenden sind stetiger als Gewinne. Insbesondere Unternehmen, die sich zu kontinuierlich steigenden Dividenden bekannt haben, steigern ihre Dividenden selbst dann, wenn der Gewinn mal stagniert oder in einer Krise einbricht. Das geht natuerlich nur, wenn die Pay-Out Ratio zwischen Gewinn und Dividende nicht zu hoch ist, und es geht auch nicht auf Dauer.

 

--> Die Dividende ist bei DGI-Aktien leichter abzuschaetzen als Cash-Flows. Versucht man, den Cash-Flow ueber die naechsten 3 Jahre abzuschaetzen, kann man sich locker im deutlichen 2-stelligen Prozent-Bereich vertun.

 

6. Schwaechen des DDM:

 

--> Langes Fortschrei ben in die Zukunft – wer traut sich ernsthaft Prognosen ueber 30 Jahre und mehr zu? Selbst KO zahlt erst sein etwas ueber 50 Jahren kontinuierlich steigende Dividenden.

 

--> Modell steht und faellt mit den Annahmen zum Diskontsatz und dem Dividendenwachstum

 

--> Geringe Aenderungen in den Annahmen aendern das Ergebnis enorm, speziell im Grenzbereich, wenn das Dividendenwachstum nahezu gleich dem Diskontsatz ist.

 

--> Steigende Zinsen beeinflussen den Diskontsatz. Aktuell gibt es fuer risikoarme 10-jaehrige Bundesanleihen ca. 1%. Da scheinen 5% erwartete Rendite auf Aktieninvestitionen interessant zu sein. Bei 4% auf 10-jaehrige Bundesanleihen sieht das Bild schon ganz anders aus. Und mit dem DDM legen wir uns auf Dekaden fest.

7. Fallen:

 

--> Vergangenes Dividendenwachstum wurde verzerrt. Beispiel: Clorox. Bei Clorox wurde in der letzten Dekade die EK-Quote massiv gesenkt. Dadurch wird ein Dividendenwachstum suggeriert, dass sich in der Form nicht beliebig fortsetzen laesst. Umgekehrter Fall: Gerry Weber, Fuchs Petrolub. Da wurde die EK-Quote in Richtung 100% aufgeblasen, auch das laesst sich beliebig fortsetzen. Dadurch wird das zukuenftige Dividendenwachstum vermutlich hoeher ausfallen, als es eine reine Vergangenheitsbetrachtung hergeben wuerde.

 

--> Auch ueber die Pay-out-ratio laesst sich das Dividendenwachstum eine Weile „manipulieren“. Da sollte man vorsichtig mit Zukunftsprognosen sein, die einfach nur auf einer Zahlenreihe der Jahresdividende aufbauen.

 

 

 

Nun meine Fragen an euch:

 

- Wer sieht weitere interessante Punkte bzgl. des DDM?

 

- Nutzt Ihr das DDM? Vielleicht regelmaessig? Wie legt ihr eure Parameter fest? Gerne mit einem oder mehreren Musterrechnungen.

 

- Habt ihr andere Methoden, nach denen ihr versucht, den Inneren Wert einer DGI-Aktie zu bestimmen?

 

 

 

Weitere Quellen

 

http://www.wiso.uni-...1959_Gordon.pdf

 

http://de.wikipedia....on_Growth_Model

 

http://www.hans-mark...tierungsmodell

Diesen Beitrag teilen


Link zum Beitrag
Schildkröte
· bearbeitet von Schildkröte

Hallo Schlaftablette,

 

erstmal thumbsup.gif für Deinen tollen Beitrag! Wir Aktionäre müssen hier weiter die Fahne für unsere Anlageproduktklasse hochhalten, da ist die strukturierte Vorstellung seiner eigenen Investmentansätze nur begrüßenswert. Mit dem Diskontmodell habe ich mich bisher noch gar nicht so richtig beschäftigt, mit DGI-Aktien im Sinne von Onassis und Karl Napf sehr wohl. Gerne kann ich mich auch zu den Thesen der beiden und mir in diesem Zusammenhang äußern, aber vielleicht in einem separaten Thread? Nach dem Lesen Deines Beitrags und einer gewissen Auseinandersetzung mit dem Diskontmodell möchte ich nachfolgend einige konstruktive Kritikpunkte äußern:

 

Ich selbst würde mich nicht trauen, die mittlere Rendite bis in alle Ewigkeit zu schätzen - genau das müsste ich aber für diese Methode können (sofern ich Deinen Ansatz richtig verstanden habe?). Sind 10% in der aktuellen Welt mit einer historisch hohen Verschuldung und historisch niedrigen Zinsen noch realistisch? Wer weiß so etwas mit großer Sicherheit? Die Fragestellung, die man mit dieser Methode beleuchten könnte, ist der "faire Preis" einer Aktie. Aber nützt mir der etwas? Ich kann damit vielleicht entscheiden, ob ich überhaupt in Aktien investiert sein will oder lieber an der Seitenlinie warten möchte. Leider bezahlt diese Seitenlinie aber derzeit erbärmlich schlechte Zinsen - und dieser Fakt ist in der Abdiskontierungsformel der Dividenden anscheinend gar nicht enthalten. Es ist schließlich auch ein Unterschied, ob ich gegenwärtig bei einer historisch betrachtet "leicht" überteuerten Aktie immer noch eine Dividendenrendite von 2 bis 3 % bezogen auf den aktuellen Aktienkurs erhalte oder vor dem Ausbruch der Finanzkrise noch bis zu 5 % aufs Tagesgeld bekommen habe. Ich muss letzten Endes das "kleinste Übel" kaufen - egal ob überbewertet oder nicht. Deine Formel sieht folgendermaßen aus:

 

Unternehmenswert = aktuelle Dividende / (Diskontsatz-Dividendenwachstum)

Was bedeutet Diskontsatz = Dividendenwachstum? Dann erhält man eine Division durch Null, wie Du bereits erwähnt hast. Und das ist ein keineswegs seltenes Szenario für Wachstumsaktien. Hier liegt also offenbar ein Knackpunkt in Deiner Formel, den es zu beheben gilt. Ich bin zwar ebenfalls Ingenieur, aber vielleicht könnte hier mal ein Mathematiker oder Physiker was zu sagen? Insgesamt bin ich mit Dir und Deinen Überlegungen d´accord! Ich halte allerdings 8-10% als Rendite für das nächste Jahrzehnt für etwas zu optimistisch. Das wäre ja eine ähnliche Rendite wie im Schnitt der letzten 30 Jahre. Dagegen sprechen jedoch meines Erachtens folgende Aspekte:

 

a )

Die Staaten sind hoch verschuldet und können die Wirtschaft nicht mehr so stark durch Subventionen stimulieren wie bisher.

 

b )

Die Steuersätze sind historisch niedrig - dies hat zum Gewinnwachstum der Unternehmen beigetragen, ist aber wohl kaum wiederholbar (im Gegenteil versucht die OECD, die Besteuerung der Unternehmen durch Schließen von Schlupflöchern wieder zu verschärfen).

 

c )

Das Wachstum der Emerging Markets flacht ab - auch dies hat zum Gewinnwachstum beigetragen und wird künftig als (großer) Wachstumstreiber fehlen. Gut, die Frontier Markets sollte man ebenfalls nicht außer Acht lassen. Dort gilt es allerdings erstmal die Rechtslage und die politische Stabililät zu verbessern, bevor man sich als Investor da rantrauen sollte.

 

d )

Die Verlagerung von Arbeitsplätzen in Niedriglohnländer, die das Gewinnwachstum ebenfalls befeuert hat, ist nicht beliebig wiederholbar. Im Gegenteil: Arbeitnehmer in solchen Ländern wollen und kriegen inzwischen sowie künftig immer mehr Gehalt.

 

e )

Selbst die rekordniedrigen Zinsen, welche in den vergangenen 30 Jahren enorm gesunken sind und dadurch die Investitionstätigkeit stimuliert haben, reichen heute nicht mehr aus, um die Wirtschaft in Schwung zu bringen. Die Unternehmen kaufen lieber auf Kredit Aktien zurück, als in zusätzliche Produktionsstätten zu investieren, weil sie anscheinend keine wachsenden Märkte für ihre Produkte mehr sehen.

 

Die Erwartungen für das Weltwirtschaftswachstum liegen heute niedriger als zu den Boom-Zeiten der BRIC-Staaten. Mit inflationsbereinigten Lohnkürzungen, längerer Lebensarbeitszeit, Billigproduktionsstätten, Subventionen, Steuerkürzungen und niedrigen Zinssätzen hat das kapitalistische System in den vergangenen 30 Jahren sein Pulver fast komplett verschossen. Das Einzige, was noch geht, ist der weitere Abbau von Zollschranken - deshalb wäre das umstrittene TTIP gerade jetzt so wichtig. Ansonsten werden wir künftig nur noch Wachstum in dem Maß erleben, wie die Produktivität der Herstellung von Gütern zunimmt - und da ist in vielen Bereichen schon einiges ausgereizt.

 

Grüße von einem Kostolany-Fan!

Diesen Beitrag teilen


Link zum Beitrag
Schlaftablette

Nur damit es keine Missverständnisse gibt: Ich nutze das DDM momentan nicht. Ich wollte aber mal gerne prüfen, ob es ein zusätzliches Werkzeug für die Zukunft sein könnte.

Diesen Beitrag teilen


Link zum Beitrag
Sapine

Das Modell krankt an der Festlegung des Diskontsatzes und an der fehlerhaften Vorhersagemöglichkeit. Ich möchte mich jedenfalls nicht aus dem Fenster lehnen und Prognosen für alle Ewigkeit abgeben. Der dritte Schwachpunkt ist meiner Meinung nach die Fixierung auf die Dividenden, denn diese können sehr wohl über einen gewissen Zeitraum künstlich hoch gehalten werden.

Diesen Beitrag teilen


Link zum Beitrag
Der Pate
· bearbeitet von Der Pate

Beim Lesen diverser Blogs, Kommentare und auch hier im Forum treffe ich gelegentlich auf die Frage, wie der Innere Wert einer Aktie bestimmt (oder besser gesagt geschaetzt) werden kann.

Der innere Wert ist immer relativ und von Person zu Person unterschiedlich und basiert auf Rendite-Erwartungen. Nunja, der innere Wert eines Unternehmens ist einfach gesagt die Summe aller abdiskontierten zukünftigen Free-Cashflows. Am Ende der Bewertungsperiode (z.B. wenn man 30 Jahre in die Zukunft schätzt) bleiben allerdings noch Assets übrig und das Unternehmen erwirtschaftet immernoch einen Free-Cashflow. Zu diesem Punkt komme ich weiter unten.

 

Der Schwachpunkt der Modells: Man geht von einem Unternehmen mit ewig konstanter Dividende aus. Wir wissen aber, dass es keine ewigen Unternehmen gibt.

Es gibt aber Unternehmen, deren Zukunft man einigermaßen einschätzen kann. Als klassisches Beispiel Coca-Cola. Und dementsprechend lassen sich Diskont-Modelle auf solche Unternehmen einfacher anwenden.

 

Die Formel dafuer lautet: Unternehmenswert = aktuelle Dividende / (Diskontsatz-Dividendenwachstum).

Ich weiß nicht woher du die Formel hast, aber die ist falsch. Die richtige Formel für Reihen/Summen in diesem Fall ist Unternehmenswert = (Dividende in Euro/(1-(Dividendenwachstum/Diskontsatz))), aber nur mit |Dividendenwachstum/Diskontsatz|<1 (Betrag von Dividendenwachstum/Diskontsatz). Ansonsten divergiert die Reihe/Summe und der Unternehmenswert hat keinen Grenzwert. In diesem Fall könnte man ja aber einfach selber eine Summe bilden und ausrechnen.

Damit löst sich auch das von Schildkröte angesprochene Problem, wenn der Diskontsatz kleiner bzw. gleich dem Dividendenwachstum ist.

 

Je naeher die Wachstumsrate an die Diskontrate ranrueckt, desto unzuverlaessiger wird der errechnete Unternehmenswert.

Falsch, siehe obige Formel.

 

Man muss nur lange genug warten, dann waere jeder Preis gerechtfertigt. Das widerspricht unserer Lebenserfahrung.

Ist aber nicht ganz falsch. Allerdings lebt man nicht ewig. Hier dürfte man also kein Kurs/Dividenden-Verhältnis von über der Restlebenszeit zahlen, sofern das Dividendenwachstum gleich der erwarteten Rendite entspricht. Diese Überlegung ist aber nur zum besseren Verständnis und in der Praxis wohl eher nicht anwendbar.

 

Wenn man nun 10% Rendite p.a. erwartet, dann waere der Faire Preis bei 0,75€ / (10%-8%) = 37,50€. Ist jemand mutig und geht gar von 9% Wachstum aus, dann laege der faire Preis bei 0,75€ / (10%-9%) = 75€. Das ist ein ziemlicher Sprung! Hier liegt meiner Meinung nach die Haupt-Schwaeche des DDM: liegen Diskontsatz und Wachstum nah beieinander, so kommt es zu extremen Schwankungen.

Dies passiert nur, wenn man unendlich weit in die Zukunft geht. Probier es mal mit Summen bis 30 Jahre aus, dort liegt der Wert für 8% Wachstum bei 25€ und für 9% bei 30€, also ein Unterschied von 20%.

 

Bleibt die Frage, welchen Diskontsatz setzt man vernünftigerweise an.

Ich würde immer die Rendite nehmen, die man selbst erwartet.

 

 

 

Jetzt habe ich genug zitiert. Nun noch kurz ein paar Punkte zum Diskutieren:

 

1. werden die Dividenden künstlich mit neuen Schulden hochgehalten (natürlich in einem gesunden Maß) kann mir das egal sein. Was aus dem Unternehmen rausgeflossen ist, gehört schließlich mir. Wenn das Unternehmen am Ende der Haltedauer massiv verschuldet ist, ist es doch egal denn die Dividenden habe ich alle kassiert, auch wenn das Unternehmen dann eventuell pleite geht. Ich würde den Ansatz dennoch nur bei Unternehmen mit einem gesunden Gewinn- und Dividendenwachstum anwenden, da sicherer.

 

2. Sollte das Unternehmen keine Dividende zahlen, aber in 10 Jahren das 4fache verdienen, ist es nach DDM dennoch wertlos. Hier liegt das Problem des Modells. Es werden nur Dividenden und nicht der Rest des Free-Cashflows beachtet. Das unterstreicht aber die vorherrschende Meinungen privater Investoren, denen Dividenden anscheinend sehr wichtig sind.

 

 

Ich persönlich benutze eine eigene entwickelte Variante des Discounted Free-Cashflow Modells, die ich aber nicht veröffentlichen möchte. Ich kann nur empfehlen, den Discounted Free-Cashflow anstatt DDM zu benutzen, aber auf keinen Fall einzeln.

 

 

Viele Grüße,

Der Pate

 

PS. Entschuldigt bitte die straighte Schreibweise. Die Korrekturen sind auf keinen Fall böse gemeint ;)

Diesen Beitrag teilen


Link zum Beitrag
Andey
· bearbeitet von Andey
Unternehmenswert = (Dividende in Euro/(1-(Dividendenwachstum/Diskontsatz)))

 

Sorry aber hier liegst du falsch und nicht deine Vorposter. Dazu muss man deine Formel gar nicht gross zerlegen, es zeigt sich alleine schon daran, dass im Fall Dividendenwachstum = 0 bei dir => Diskontsatz verschwindet und Unternehmenswert = Dividende in Euro

 

Wenn du möchtest kannst du mir zu jederzeit ein Finanzprodukt verkaufen, dass dein Modell erfüllt, kein Wachstum an den Tag legt und der Preis nach deinem Modell bestimmt wird, da die Verzinsung 100% (exkl. Steuer) betragen würde :blink:

 

Unternehmenswert = aktuelle Dividende / (Diskontsatz-Dividendenwachstum).

 

ist richtig, aber eine äusserst vereinfachte Formel, bei der insbesondere das Dividendenwachstum mit Vorsicht zu geniessen ist, da die Annahme dahinter steckt, dass dieses in die Unendichkeit existiert - wie ich aber glaube gelesen zu haben, wurde auf diesen Umstand schon hingewiesen.

 

PS: Top Thread! Wirklich schön zu sehen, wie sich manche in diesem Forum tatsächlich Zeit nehmen derart ins Detail zu gehen :thumbsup:

Diesen Beitrag teilen


Link zum Beitrag
Der Pate
· bearbeitet von Der Pate

Da hast du falsch gedacht.

Ein Dividendenwachstum von 0% würde eine 1 in der Formel bedeuten. Da verschwindet also gar nichts. Weiterhin ist meine genannte Formel die offizielle Formel für Reihen bzw. Summen.

Also ist meine und nicht die andere Formel richtig.

Diesen Beitrag teilen


Link zum Beitrag
Andey
· bearbeitet von Andey
Unternehmenswert = (Dividende in Euro/(1-(Dividendenwachstum/Diskontsatz)))

 

Bsp: D = 10, Dividendenwachstum = 0, Diskontsatz = x (<0 v >0)

 

laut dir: Unternehmenswert = (10/(1-(0/x))) <=> 10/(1-(0/x)) <=> 10/(1-0/x) <=> 10/(1-0) <=> 10 = Dividende

 

edit: du kannst die Formel des DDM auch auf Wikipedia nachlesen, alternativ gibt es auch zig andere Seiten oder falls es wissenschaftlicher sein soll: jedes Standard Uni-Buch über Corporate Finance wird die Formel entweder im DDM oder Ertragswert (als Extremsituation) anführen

Diesen Beitrag teilen


Link zum Beitrag
Der Pate
· bearbeitet von Der Pate

Bsp: D = 10, Dividendenwachstum = 0, Diskontsatz = x (<0 v >0)

 

laut dir: Unternehmenswert = (10/(1-(0/x))) <=> 10/(1-(0/x)) <=> 10/(1-0/x) <=> 10/(1-0) <=> 10 = Dividende

 

Nein, laut mir: Unternehmenswert = 10/(1-(1/x))

Wenn wir von einem Wachstum von x Prozent reden (unter 100% in diesem Fall), benutzt man 1,x.

 

Der Wikipedia-Artikel ist absolut falsch. Diese Formel geht alleine schon nicht, wenn die Wachstumsrate gleich dem Diskontierungssatz ist. Das muss dir doch auffallen.

Diesen Beitrag teilen


Link zum Beitrag
Der Pate

Hier nochmal der Beweis:

 

Im Folgenden ist x= Dividendenwachstum/Diskontierungssatz, y der Unternehmenswert und die Dividende ist 1

 

Die Summe ist definiert als y = 1 + x + x^2 + x^3 + x^4 + ... + x^n. Mit Multiplikation von (1-x) folgt

1 + x + x^2 + x^3 + x^4 + ... + x^n*(1-x) = 1 + x + x^2 + x^3 + x^4 + ... + x^n - (x + x^2 +x^3 + ... x^(n+1)) = 1 - x^(n+1). Also folgt:

1 + x + x^2 + x^3 + x^4 + ... + x^n*(1-x) = 1 - x^(n+1). Mit Division von 1-x folgt:

1 + x + x^2 + x^3 + x^4 + ... + x^n = (1-x^(n+1))/(1-x), da |x| aber <1 ist x^(n+1) = 0 für n unendlich

Also folgt: y = 1/(1-x)

 

Überzeugt dich das?

Diesen Beitrag teilen


Link zum Beitrag
Andey
· bearbeitet von Andey

Ein Wachstum wird immer als % angegeben d.h. Dividendenwachstum von 10% = 0,1 = 10% und nicht 1,1 = 110%, insofern hättest du deine Formulierung auch von Anfang an überarbeiten müssen.

 

Alles weitere und wann deine Angaben zutreffen und wann nicht, kannst du aus der Formel entnehmen die ich dir hier hochgeladen habe.

 

So nun sollte es hochgeladen sein

 

edit: eigentlich wollte ich nichts mehr dazu schreiben, aber nur für den Fall, dass die Grafik alleine als Aufschluss nicht reicht: du hast (abgesehen von der wie oben beschrieben falschen Ursprungsformulierung von Wachstum in deinem ersten Kritik-Posting) bei deiner Berechnung die erste Dividende nicht abgezinst, weshalb du auf ein anderes Resultat kommst. Lässt man deine Formulierung aber aussen vor, dann stimmt sowohl deine hier im vorigen Post aufgestellte mathematische Gleichung, als auch die, welche Schlaftablette gepostet hat und welche konventionell in der Literatur verwendet wird, da sie sich nur darin unterscheiden, dass in deiner Berechnung du davon ausgehst die Dividende sofort zu erhalten, während man im konventionellen Modell davon ausgeht, dass man diese erst in der nächsten Periode erhält

post-8637-0-91609400-1411251776_thumb.jpg

Diesen Beitrag teilen


Link zum Beitrag
Der Pate
· bearbeitet von Der Pate

Das habe ich auch gerade bemerkt. Allerdings habe ich nur anders gedacht als du, nämlich dass man investiert und nach einem Jahr die erhöhte und abdiskontierte Dividende bekommt. Dann habe ich am Ende nochmal die ursprüngliche Dividende abgezogen da meine Summe bei x=0 gestartet ist. Damit unterschied sich der Unternehmenswert der beiden Formeln um den Faktor des Dividendenwachstums.

Also Andey, tut mir leid, dass ich die Formel in Frage gestellt habe. :-

Deine Formel ist natürlich um einiges einfacher.

Diesen Beitrag teilen


Link zum Beitrag
ImperatoM

Das Modell krankt an der Festlegung des Diskontsatzes und an der fehlerhaften Vorhersagemöglichkeit.[...] Der dritte Schwachpunkt ist meiner Meinung nach die Fixierung auf die Dividenden, denn diese können sehr wohl über einen gewissen Zeitraum künstlich hoch gehalten werden.

 

Die Kritik ist absolut richtig - und dennoch begrüße ich die Vorstellung des mathamatischen Modells. Abseits von der berechtigten Kritik an den möglichen Störfaktoren ist das Modell ("Modell" durchaus im Sinne einer bewussten Reduktion) ja vollkommen richtig, und auch ich stelle ähnliche Hintergrundüberlegungen an, wenn ich Aktien einschätze.

 

Die Konsequenz aus der Kritik sollte daher meiner Meinung nach nicht sein, den Ansatz aufzugeben. Stattdessen sollte man sich nicht an dem sich ergebenden konkreten Zahlwert orientieren. Wer sich jedoch in das Modell hineindenkt, bekommt mit der Zeit ein Gespür dafür, bei welchem Unternehmen sich der innere Wert ober- oder unterhalb des aktuellen Kurswertes befindet. Insofern kann es sich durchaus lohnen, sich damit zu beschäftigen, denke ich.

Diesen Beitrag teilen


Link zum Beitrag
otto03
· bearbeitet von otto03

 

 

Die Konsequenz aus der Kritik sollte daher meiner Meinung nach nicht sein, den Ansatz aufzugeben. Stattdessen sollte man sich nicht an dem sich ergebenden konkreten Zahlwert orientieren. Wer sich jedoch in das Modell hineindenkt, bekommt mit der Zeit ein Gespür dafür, bei welchem Unternehmen sich der innere Wert ober- oder unterhalb des aktuellen Kurswertes befindet. Insofern kann es sich durchaus lohnen, sich damit zu beschäftigen, denke ich.

 

Ich kann/könnte das nicht. Wer kann das zuverlässig und dauerhaft?

Und vor allem: Welche Konsequenzen für den Anlageerfolg hätte das?

Könnte es sein, daß der Markt eine dauerhafte Unter-/Überbewertung eines Unternehmens (ausgedrückt im Aktienkurs) für sinnvoll hält?

Diesen Beitrag teilen


Link zum Beitrag
Der Pate

Du wirst beim fair value der Aktie aber in etwa den gleichen Wert wie bei dem DCF-Modell bekommen.

Nur wird beim DCF-Modell das Aufnehmen von Schulden nicht berücksichtigt, ob das gut oder schlecht ist muss jeder selbst entscheiden.

Diesen Beitrag teilen


Link zum Beitrag
ImperatoM

Könnte es sein, daß der Markt eine dauerhafte Unter-/Überbewertung eines Unternehmens (ausgedrückt im Aktienkurs) für sinnvoll hält?

 

Auf jeden Fall KANN das sein. Es gibt aber immer wieder auch Unternehmen, bei denen der Markt sich täuscht (ohne damit die immerwährende Grundsatzdiskussion über effiziente Märkte jetzt hier weiterführen zu wollen ;) ).

Diesen Beitrag teilen


Link zum Beitrag
otto03
· bearbeitet von otto03

Könnte es sein, daß der Markt eine dauerhafte Unter-/Überbewertung eines Unternehmens (ausgedrückt im Aktienkurs) für sinnvoll hält?

 

Auf jeden Fall KANN das sein. Es gibt aber immer wieder auch Unternehmen, bei denen der Markt sich täuscht (ohne damit die immerwährende Grundsatzdiskussion über effiziente Märkte jetzt hier weiterführen zu wollen ;) ).

 

 

Der Markt kann sich nicht täuschen, da er die Realität setzt.

Diesen Beitrag teilen


Link zum Beitrag
StinkeBär

Wert= Dividende/(Diskontierungszinssatz-Dividendenwachstum)

 

Okay, die aktuelle Dividende ist ja leicht zu schätzen.

Dividendenwachstum = Mittelwert aus der Vergangenheit

Diskontierungszinssatz = abgeleitet aus Markt 1/KGV ?

 

Ich verstehe den Hype von Dividendenwachstumsaktien nicht? (ziemlich in Mode zur Zeit)

 

1 Euro Dividende r=0,1 und g=0,05

macht 20 KGV von 20

 

3 Div. r=0,1 und g=-0,05

macht auch 20 KGV 6,67

 

Kursgewinn: Kauf sehr gute und damit teuere Unternehmen in der Hoffnung, dass diese noch besser als erwartet Dividenden ausschütten.

Kursgewinn: Kauf schlechte und damit billige Aktien in der Hoffnung, dass diese die Dividenden weniger stark schrumpfen werden als erwartet.

 

Beim Kursgewinn spekuliert man also auf ein besser als erwartet!

Wer also zusätzlich Kursgewinne ansetzt, traut dem Unternehmen ein noch höheres Div.wachstum zu als die bereits optimistische Fortschreibung der Vergangenheit. (r mal konstant gelassen)

 

Eine hohe Eintrittswahrscheinlichkeit und damit Gründe für die Beliebtheit sehe ich nicht, wahrscheinlich ist es das gute Gefühl teuer Qualität gekauft zu haben. ;)

Diesen Beitrag teilen


Link zum Beitrag
StinkeBär

Ableitungen für r vom Markt, bspw. erwartete Marktrendite * Beta-Faktor, sind Momentaufnahmen und nicht für 30 Jahre in die Zukunft ansetzbar.

Mindestzinssatz ist der 10 jährige Unternehmensanleihenzins.

 

Dies finde ich als erste Untergrenze gut, da das DDM kein Substanz Eigenkapital berücksichtigt und damit eine Abhängigkeit vom Markt gepreist wird.

 

Unsystematische Risiken, die durch Diversifikation ausgeräumt werden können, werden nicht vergütet, wohl aber systematische Unternehmensrisiken.

Schwierige ist die Anwendung bei zyklischen oder Turnaroundaktien, da diese phasenweise keine Ausschüttungen vornehmen.

 

Im Endeffekt hat jeder dann doch eine eigene Renditeforderung/-vorstellung (sicherer Zins + erwartete Inflation + auskömmliche Risikoprämie).

 

Für einen ersten Eindruck ist durch die Einfachheit der Formel bei Aktien oder Immobilien(Abschreibung nicht vergessen) ein erster Überschlag schnell möglich, wodurch sie für die Praxis relevant ist.

 

Dividendenwachstum liegt in der unsicheren fernen Zukunft, weswegen viele - wie auch ich - eine hohe Initialdividendenrendite durch den schnelleren Rückfluss und Kalkulierbarkeit vorziehen. Allerdings sind das meist reife Konzerne, die in der Tendenz stagnieren und nicht großes Gewinnwachstum mehr produzieren(Versorger, Telekom, Tabak, Ölmultis, große Versicherer oder Immobilienbestandshalter wie REITS...).

Diesen Beitrag teilen


Link zum Beitrag

Erstelle ein Benutzerkonto oder melde dich an, um zu kommentieren

Du musst ein Benutzerkonto haben, um einen Kommentar verfassen zu können

Benutzerkonto erstellen

Neues Benutzerkonto für unsere Community erstellen. Es ist einfach!

Neues Benutzerkonto erstellen

Anmelden

Du hast bereits ein Benutzerkonto? Melde dich hier an.

Jetzt anmelden

×
×
  • Neu erstellen...