Zum Inhalt springen
geldvermehrer

Markowitz und Sharpe

Empfohlene Beiträge

Hicks&Hudson
· bearbeitet von Hicks&Hudson
vor 1 Stunde von Hicks&Hudson:
vor 1 Stunde von Saek:

Historisch war die Korrelation meines Wissens leicht positiv, nicht negativ.

Stimmt. Ich meinte GERINGE.

Noch kurz zum Thema Korrelation.

Entscheidend ist nicht eine dauerhaft geringe Korrelation, sondern entscheidend ist, dass in Marktschocks / Assetklassenschocks / Krisen eine negative Korrelation der Anlageklassen erreicht werden kann.

Genau hier ist Risk Parity aber extrem effektiv gewesen mit den drei klassischen Anlageklassen u. aufgrund des ausgeglichenen Hebels jeder Assetklasse.

Es ist mit Curvo sehr gut sichtbar auf die nahezu letzten beiden Dekaden (man achte nicht nur auf die Charts, sondern die sich schön ausgleichenden Perfomance Zahlen in den hineingezoomten Krisen / Schocks). Genau dies führte zur ziemlich glatt ´gebügelten Chartlinie´ auf Gesamtportfolioebene.

 

ÜBERSICHT DREI ASSETKLASSEN MIT ÄHNLICHEM HEBEL:

https://curvo.eu/backtest/compare?config={"withTer"%3A"false"}&portfolios=NoIgggwg6gkiA0xQwKIAY0CEBsAlArAEyH4CcCAjALo1A%2C NoIg4g9gNgJiA0xQBECiAGTBBdBlAnGAELoICMAulUA%2C NoIglgygFghgTgUwM4AICqEAiKAqiZICucAnigEID2AdgCYoBMADANQlzoDCAkjhCgFEcAMXRYUACgCCAYxkBKEABpgobgKZNywgLIA2HJwCsADmUBGALrWgA

 

FINANZKRISE:

https://curvo.eu/backtest/compare?config={"withTer"%3A"false"%2C"periodStart"%3A"2007-08"%2C"periodEnd"%3A"2009-04"}&portfolios=NoIgggwg6gkiA0xQwKIAY0CEBsAlArAEyH4CcCAjALo1A%2C NoIg4g9gNgJiA0xQBECiAGTBBdBlAnGAELoICMAulUA%2C NoIglgygFghgTgUwM4AICqEAiKAqiZICucAnigEID2AdgCYoBMADANQlzoDCAkjhCgFEcAMXRYUACgCCAYxkBKEABpgobgKZNywgLIA2HJwCsADmUBGALrWgA

 

GOLD CRASH 2012:

https://curvo.eu/backtest/compare?config={"withTer"%3A"false"%2C"periodStart"%3A"2012-09"%2C"periodEnd"%3A"2013-10"}&portfolios=NoIgggwg6gkiA0xQwKIAY0CEBsAlArAEyH4CcCAjALo1A%2C NoIg4g9gNgJiA0xQBECiAGTBBdBlAnGAELoICMAulUA%2C NoIglgygFghgTgUwM4AICqEAiKAqiZICucAnigEID2AdgCYoBMADANQlzoDCAkjhCgFEcAMXRYUACgCCAYxkBKEABpgobgKZNywgLIA2HJwCsADmUBGALrWgA

 

CORONA CRASH:

https://curvo.eu/backtest/compare?config={"withTer"%3A"false"%2C"periodStart"%3A"2020-01"%2C"periodEnd"%3A"2020-05"}&portfolios=NoIgggwg6gkiA0xQwKIAY0CEBsAlArAEyH4CcCAjALo1A%2C NoIg4g9gNgJiA0xQBECiAGTBBdBlAnGAELoICMAulUA%2C NoIglgygFghgTgUwM4AICqEAiKAqiZICucAnigEID2AdgCYoBMADANQlzoDCAkjhCgFEcAMXRYUACgCCAYxkBKEABpgobgKZNywgLIA2HJwCsADmUBGALrWgA

 

BOND CRASH AB 2020:

https://curvo.eu/backtest/compare?config={"withTer"%3A"false"%2C"periodStart"%3A"2020-05"}&portfolios=NoIgggwg6gkiA0xQwKIAY0CEBsAlArAEyH4CcCAjALo1A%2C NoIg4g9gNgJiA0xQBECiAGTBBdBlAnGAELoICMAulUA%2C NoIglgygFghgTgUwM4AICqEAiKAqiZICucAnigEID2AdgCYoBMADANQlzoDCAkjhCgFEcAMXRYUACgCCAYxkBKEABpgobgKZNywgLIA2HJwCsADmUBGALrWgA

 

Übrigens hier noch eine Stelle von knapp 2 Minuten aus einem neuen Video mit Martin Weber, in welcher er auch kurz auf Markowitz und das ´1/3, 1/3, 1/3´eingeht und diese Heuristik (wie auch schon in anderen Interviews sehr lobt und darauf basiere ja sein Arero). Warum er sich aber dann doch für eine andere (mit meinen Worten ´schiefere´ Gewichtung / Heuristik entschieden haben könnte, habe ich hier vermutet.

 

Diesen Beitrag teilen


Link zum Beitrag
Gast231208
· bearbeitet von pillendreher
vor 6 Stunden von Hicks&Hudson:

Hier habe ich zwei ganz einfache Risk Parity Portfolios erstellt.

Sie bestehen aus einem Drittel Aktien (ACW), einem Drittel Gold und einem Drittel langlaufende IG Staatsanleihen.

 

Vorausschickend: ich habe deinen Beitrag nicht weiter gelesen (ist einfach zu heiß für so was heute), aber was hat deine je 1/3 Aufteilung mit einem Risk Parity Ansatz zu tun?

Zitat

https://www.roboadvisor-portal.com/risk-parity-definition-beispiel/

Risk-Parity und der Unterschied zur Equal Risk Contribution Methode

Leider werden diese beiden Konzepte / Methoden oft miteinander gleichgesetzt, was jedoch falsch ist. Denn obwohl beide Ansätze das Ziel haben, das Risiko im Portfolio gleichmäßig zu verteilen, unterscheiden sie sich in ihrer Herangehensweise und Schwerpunktsetzung. Wie nun in diesem Artikel ausführlich erläutert fokussiert sich der Risk Parity Ansatz auf die gleichmäßige Verteilung des Risikos auf verschiedene Anlageklassen

Die Equal Risk Contribution Methode legt den Fokus jedoch auf die gleichmäßige Verteilung des Risikos auf einzelne Positionen innerhalb des Portfolios. Di Gemeinsamkeit besteht also lediglich in dem Ziel einer “optimalen” Risikoverteilung.

Insgesamt betrachtet sind der Risk Parity Ansatz und die Equal Risk Contribution Methode durchaus verwandte Konzepte, die jedoch unterschiedliche Aspekte der Risikoverteilung im Portfolio adressieren. Es ist wichtig, die spezifischen Ziele und Prinzipien jedes Ansatzes zu verstehen, um eine fundierte Entscheidung bei der Portfolioallokation zu treffen.

 

Diesen Beitrag teilen


Link zum Beitrag
Hicks&Hudson
· bearbeitet von Hicks&Hudson
vor 11 Minuten von pillendreher:

aber was hat deine je 1/3 Aufteilung mit einem Risk Parity Ansatz zu tun?

Hast Du das andere Risk Parity Portfolio oben mit 14/18/68 gesehen ?

 

Aus Deinem Link:

 

Zitat

Anstatt jedoch Allokationen auf verschiedene Anlageklassen zu generieren, um ein optimales Risikoziel zu erreichen, verwenden Risk-Parity-Strategien das optimale Risikozielniveau als Grundlage für Investitionen.

Dieses Ziel wird oft dadurch erreicht, dass die Hebelwirkung genutzt wird, um das Risiko unter Verwendung des optimalen Risikozielniveaus zwischen verschiedenen Anlageklassen gleich zu gewichten.

Die je 1/3 bei den ersten beiden Portfolios oben entstehen allein aufgrund der fast gleichen Hebel von jedem der drei PRODUKTE.

Diesen Beitrag teilen


Link zum Beitrag
Hicks&Hudson
· bearbeitet von Hicks&Hudson

Diesen Link habe ich drüben im Arero Faden gepostet, wo er vermutlich etwas unter ging.

Ich finde, dass er hier auch gut, sogar besser passt:

 

https://wiki.edu.vn/wiki33/2021/10/25/risikoparitat-wikipedia/amp/

Diesen Beitrag teilen


Link zum Beitrag
Glory_Days
· bearbeitet von Glory_Days
vor 4 Stunden von Hicks&Hudson:

Stimmt schon, aber das betrifft Dein OD Portfolio dann mindestens ebenso.

Was also tun Stand heute?

Market Timing mit Anlageklassen?

Weiter breit diversifizieren, aber nach welchem Ansatz? Risk Parity? Dein Ansatz (OD)? Pantoffelportfolio aus Tagesgeld und Aktien?

Wir kennen die Zukunft nicht und können sie als Anleger nicht beeinflussen oder gar kontrollieren - das gilt es zunächst einmal zu akzeptieren. Was wir kennen sind zeitlose robuste mathematische Zusammenhänge und weitestgehend zeitstabile Eigenschaften von Assetklassen in bestimmten Phasen des Wirtschaftszyklus basierend auf einer Analyse der Vergangenheit. Man sollte diese mathematischen Zusammenhänge und Eigenschaften von Anlageklassen kennen und eine Portfolio-Komposition finden, die die Unsicherheit der Zukunft bestmöglich adressiert - d.h. die Anlageziele werden mit größtmöglicher Wahrscheinlichkeit in einem breiten Fächer möglicher zukünftiger Szenarien erreicht.

Anlageziele sind genauso wie Risikoaversion und -tragfähigkeit individuell, sodass es keine allgemeingültigen Lösungen geben kann. Market Timing impliziert, die Zukunft besser als der Markt einschätzen zu können und erfordert das Eingehen von Konzentrationsrisiken zu bestimmten besonders lohnenswerten Zeitpunkten. Dadurch setzt man auf bestimmte zukünftige Szenarien - was der Unkenntnis und Unsicherheit der Zukunft widerspricht. Diversifikation ist grundsätzlich der richtige Ansatz und zwar in der Form, dass sich das zusammengestellte Portfolio als Ganzes in allen Marktsituationen so verhält, wie man es aus heutiger Sicht erwarten würde. Dabei spielt nur das Verhalten des Portfolios als Ganzes die entscheidende Rolle - denn es wird immer überdurchschnittliche und unterdurchschnittlich rentierliche Komponenten innerhalb eines diversifizierten Portfolio geben (falls nicht, ist das Portfolio schlecht diversifiziert). Um das beurteilen zu können, muss man sich vor einer Anlage intensiv mit seinem eigenen Portfolio auseinandersetzen und eine Analyse der historischen Kapitalmärkte hinsichtlich seiner Eigenschaften durchführen.

Von dynamischen Asset Allokationen würde ich abraten, da diese immer eine Form von Market Timing beinhalten (bei Risk Parity wird das Risiko per Lookback-Period oder Volatility Forecasting gemessen. Dieser Ansatz unterliegt der Fehlannahme, dass sich Risiko nicht erst materialisieren muss, um vorhanden zu sein, sondern grundsätzlich omnipräsent ist - was allerdings nicht bedeutet, dass es sich in einem bestimmten Betrachtungszeitraum materialisieren muss. Zudem besteht bei Risk Parity das Auswahlproblem, welche Lookback-Period oder welcher Algorithmus für das Volatility Forecasting besonders geeignet ist). In einem "Buy-and-Hold"-Framework ist eine statische Asset Allokation + Rebalancing der beste Ansatz, sodass der Markt selbst innerhalb von individuell festgelegten Grenzen für eine dynamische Gewichtung sorgt - gut laufende Positionen nehmen ein höheres Gewicht ein, schlecht laufende Positionen ein niedrigeres. Dieses Spiel des Marktes sollte nur dann unterbrochen werden, wenn sich das Risiko innerhalb des Portfolios derart verschiebt, dass es von Anlegerseite nicht mehr tolerabel ist (oder sich grundsätzlich etwas an der Risikoaversion verändert). An diesem Punkt kommt Rebalancing ins Spiel, das gleichzeitig eine antizyklische Komponente in den Portfolio-Ansatz implementiert, und so durchgehend für rationales Anlegerverhalten sorgt.

Mein OD-Ansatz ist das Ergebnis meiner persönlichen Analyse zum heutigen Zeitpunkt. Für viele Anleger ist dieser Ansatz eventuell bereits zu komplex. Dann bietet sich eine einfache Aufteilung zwischen risikoreich und risikolos an, immer unter Beachtung der obersten und wichtigsten Ebene der Diversifikation.

Diesen Beitrag teilen


Link zum Beitrag
reko
vor 5 Minuten von Glory_Days:

Market Timing impliziert die Zukunft zu kennen und erfordert das Eingehen von Konzentrationsrisiken zu bestimmten besonders lohnenswerten Zeitpunkten

Man geht nicht davon aus die Zukunft zu kennen sondern dass es unteschiedliche Wahrscheinlichkeiten für unterschiedliche Szenarien gibt. Dabei ist Diversifikation genauso nützlich als wenn man meint man dürfe keine Meinung über die Zukunft haben. Es geht nur darum eine bessere Einschätzung der zukünftigen Korrelationen und Risiken als mit einer sturen Extrapolation der Vergangenheit zu gewinnen.

Diesen Beitrag teilen


Link zum Beitrag
Glory_Days
· bearbeitet von Glory_Days
vor 6 Minuten von reko:

Man geht nicht davon aus die Zukunft zu kennen sondern dass es unteschiedliche Wahrscheinlichkeiten für unterschiedliche Szenarien gibt. Dabei ist Diversifikation genauso nützlich als wenn man meint man dürfe keine Meinung über die Zukunft haben. Es geht nur darum eine bessere Einschätzung der zukünftigen Korrelationen und Risiken als mit einer sturen Extrapolation der Vergangenheit zu gewinnen.

Man geht davon aus, die Zukunft zu einem bestimmten Zeitpunkt besser einzuschätzen zu können, als es der Markt zum gleichen Zeitpunkt vermag (ich habe das im Beitrag oben präzisiert). Natürlich muss man an diese bestimmte Zukunft glauben - was eine bestimmte Form der Kenntnis von Zukunft indirekt impliziert. Diversifikation unternimmt keinen derartigen Timing-Versuch, sondern setzt auf eine zeitlose und durchgehend gültige Form des Ansatzes.

Diesen Beitrag teilen


Link zum Beitrag
reko
· bearbeitet von reko

Man geht davon aus dass der Markt oft aber nicht immer Recht hat. Wenn meine Einschätzung nicht sicher genug ist, dann lasse ich die Investition. Ich schreibe hier bewußt nicht Trade. Diese Bezeichnung sehe ich bei einer Anlage ohne sich mit einen Unternehmen auseinanderzusetzen eher angebracht.

Gäbe es keine Möglichkeit eine bessere Einschätzung als der Markt zu haben, dann gäbe es auch niemanden der den Marktpreis korrekt bildet und deshalb auch keinen effizienten Markt.

Diesen Beitrag teilen


Link zum Beitrag
Glory_Days
· bearbeitet von Glory_Days
vor 5 Minuten von reko:

Man geht davon aus dass der Markt oft aber nicht immer Recht hat. Wenn meine Einschätzung nicht sicher genug ist, dann lasse ich die Investition. Ich schreibe hier bewußt nicht Trade. Diese Bezeichnung sehe ich bei einer Anlage ohne sich mit einen Unternehmen auseinanderzusetzen eher angebracht.

Das ist Investieren nach subjektiver Gefühlslage verknüpft mit einer eher kurzfristig veranlagten Denkweise. Der Ansatz der Diversifikation versucht solche Gedankengänge auszublenden und mit dem zu arbeiten, was der Markt an zukünftigen Szenarien bereithalten könnte - ohne sich auf den Standpunkt zu stellen, das genaue zukünftige Szenario bereits heute zu kennen.

Diesen Beitrag teilen


Link zum Beitrag
reko
· bearbeitet von reko

Die Denkweise vorhandenes Wissen nicht zu nutzen weil es auch falsch sein könnte kann ich nicht nachvollziehen. Jeder der unternehmerische Verantwortung hat muß Entscheidungen unter Unsicherheit treffen und tut das idR nicht nur auf Basis von Statistik oder Gefühlslagen. Ich plane sehr viel langfristiger als jemand der jährlich ein Rebalancing macht, weil seine Extrapolation nicht richtig war.

Diesen Beitrag teilen


Link zum Beitrag
Glory_Days
· bearbeitet von Glory_Days
vor 6 Minuten von reko:

Die Denkweise vorhandenes Wissen nicht zu nutzen weil es auch falsch sein könnte kann ich nicht nachvollziehen. Jeder der unternehmerische Verantwortung hat muß Entscheidungen unter Unsicherheit treffen und tut das idR nicht nur auf Basis von Statistik. Ich plane sehr viel langfristiger als jemand der jährlich ein Rebalancing macht, weil seine Extrapolation nicht richtig war.

Nicht falsch verstehen - wenn jmd. gesicherte Wissensvorteile gegenüber dem Markt hat, kann und sollte er diese selbstverständlich zu jeder Zeit in seinem Sinne ausnutzen. Man sollte nur seine Investitionsentscheidungen von seinem Bauchgefühl trennen und nicht impulsiv handeln - wie es bei Market Timing allzu oft der Fall ist (da sich viele Anleger sehr einfach beeinflussen lassen - meistens ohne es zu merken). Den Zusammenhang zwischen Rebalancing und Extrapolation verstehe ich nicht - es sei denn, du siehst wohldefinierte und allseits akzeptierte Eigenschaften von Anlageklassen grds. als Extrapolation der Vergangenheit an.

Diesen Beitrag teilen


Link zum Beitrag
reko
· bearbeitet von reko
vor 32 Minuten von Glory_Days:

es sei denn du siehst wohldefinierte und akzeptierte Eigenschaften von Anlageklassen grsl. als Extrapolation der Vergangenheit an

Selbstverständlich ist es eine Extrapolation wenn ich annehme die zukünftigen Parameter würden sich aus der vergangenen Kursentwicklung abschätzen lassen. Es ist gesichert, dass sich Volatilität und Korrelation sehr schnell ändern können. Würden sie es nicht tun, dann bräuchte man kein Rebalancing.

 

Das Indifferenzprinzip setzt voraus, dass man wirklich kein Wissen über die Wahrscheinlichkeiten hat. Wird das Wissen lediglich ignoriert darf man es nicht anwenden.

Diesen Beitrag teilen


Link zum Beitrag
Glory_Days
· bearbeitet von Glory_Days
vor 2 Stunden von reko:

Selbstverständlich ist es eine Extrapolation wenn ich annehme die zukünftigen Parameter würden sich aus der vergangenen Kursentwicklung abschätzen lassen. Es ist gesichert, dass sich Volatilität und Korrelation sehr schnell ändern können. Würden sie es nicht tun, dann bräuchte man kein Rebalancing.

Eigenschaften von Anlageklassen stellen für mich keine Schätzung von zukünftigen Parametern dar und auch keine Extrapolation der vergangenen Kursentwicklung. Warum bezeichnen wir z.B. ausfallsichere kurzlaufende Anleihen als defensive Anlageklasse? Wegen ihrer vergangenen Kursentwicklung? Nein, denn diese ist lediglich eine Konsequenz/Folge ihrer Eigenschaften/Arithmetik (sichere Verzinsung bei Halten bis zur Fälligkeit/geringes Zinsänderungsrisiko).

vor 2 Stunden von reko:

Das Indifferenzprinzip setzt voraus, dass man wirklich kein Wissen über die Wahrscheinlichkeiten hat. Wird das Wissen lediglich ignoriert darf man es nicht anwenden.

Wir haben lediglich kein Wissen über die konkrete Entwicklung der Zukunft - was für eine inhärente Unsicherheit bei heutigen Anlageentscheidungen sorgt. Wir wissen aber sehr viel über die Eigenschaften von Anlageklassen und dieses Wissen sollte unbedingt in einem Diversifikationsansatz genutzt werden. Nicht mehr und nicht weniger war mein Punkt.

Diesen Beitrag teilen


Link zum Beitrag
reko
· bearbeitet von reko
vor 7 Stunden von Glory_Days:

Eigenschaften von Anlageklassen stellen für mich keine Schätzung von zukünftigen Parametern dar und auch keine Extrapolation der vergangenen Kursentwicklung.

Nur kann man mit dieser Art von Eigenschaften nicht rechnen. Für die numerische Anwendung der modernen Portfoliotheorie brauche ich Schätzungen der zukünftigen Volatilitäten und Korrelationen. IdR nimmt man dafür einfach unkritisch die Werte aus den verschiedensten willkürlichen Vergangenheitszeiträumen, aber auch das sind nur Schätzungen. Bei kurzen Durationen sind die Schätzungen einfacher aber trotzdem Schätzungen. Das Portfolio sollte auch nicht nur aus kurzen Durationen bestehen und die Korrelation von langer und kurzer Duration ist wieder unsicher.

Was soll man mit historischen Werten anfangen, wenn die Korrelation zwischen plus und minus 1 schwankt? Was veranlaßt dazu zu glauben der langfristige Mittelwert würde gleich bleiben?

 

grafik.thumb.png.042ea0c83d68ebb1ce6110ec517d6e23.png

Diesen Beitrag teilen


Link zum Beitrag
Glory_Days
· bearbeitet von Glory_Days
vor 12 Stunden von reko:

Nur kann man mit dieser Art von Eigenschaften nicht rechnen.

Was prinzipiell gut ist - denn empirische Berechnungen auf historischen oder simulierten Daten stellen lediglich eine notwendige Bedingung aber keine hinreichende Bedingung für ein ausgewogenes Portfolio dar. Ein rationales Vorgehen bei der Portfolio-Konstruktion entwirft in einem ersten Schritt die Portfolio-Idee auf der Basis fundamental-logischer Zusammenhänge (unabhängig von quantitativen Analysen) und testet erst in einem zweiten Schritt die gefundene Komposition gegen alle verfügbaren Datenreihen (historisch und simuliert). Wenn im zweiten Schritt - bei der empirischen Überprüfung - festgestellt wird, dass das Portfolio bei diesem Test versagt, wird der Fehler nicht auf Basis der empirischen Analyse behoben, sondern die Analyse aus Schritt eins kritisch hinterfragt bzw. wiederholt (denn diese kann in einem solchen Fall nicht korrekt gewesen sein, anderenfalls wäre die notwendige Bedingung der Empirie erfüllt).

vor 12 Stunden von reko:

Was soll man mit historischen Werten anfangen, wenn die Korrelation zwischen plus und minus 1 schwankt? Was veranlaßt dazu zu glauben der langfristige Mittelwert würde gleich bleiben?

Kapitalmärkte als solche sind ein hochkomplexes zeitabhängiges nicht-prädiktives System - es kann daher nicht darum gehen, die zeitabhängigen Schwankungen von Korrelationen zu beurteilen. Eigenschaften von Anlageklassen müssen sich jedoch in historischen Korrelationen niederschlagen und zwar hinreichend robust in historischen Zeitreihen zu den Zeitpunkten, zu denen man sie erwarten würde (ansonsten würde es sich nicht um zeitstabile Eigenschaften handeln). Dabei kann es out-of-sample nicht um Beständigkeit der Eigenschaften in absoluter Höhe gehen, sondern lediglich um Beständigkeit in relativer Höhe (was die Existenz eines übergreifenden systematischen residualen Risikos anerkennt). Der oben skizzierte Zwei-Schritt Ansatz bildet weiterhin keine hinreichende Bedingung für ein zukünftig sicher funktionierendes Portfolio (da im ersten Schritt der Analyse trotz erfüllter notwendiger Bedingung der Empirie (Schritt zwei) weiterhin Fehler gemacht worden sein könnten) - in meinen Augen ist das aber der bestmögliche Ansatz, da ein solches für die Zukunft hinreichend sicher ausgewogenes Portfolio aufgrund der intrinsischen Unsicherheit der Zukunft de facto gar nicht existieren kann. Selbstverständlich kann und sollte diese Zwei-Schritt Analyse kontinuierlich im Zeitverlauf durchgeführt und kann damit auch verbessert werden.

Diesen Beitrag teilen


Link zum Beitrag
Hicks&Hudson
· bearbeitet von Hicks&Hudson
vor 15 Minuten von Glory_Days:

Ein rationales Vorgehen bei der Portfolio-Konstruktion entwirft in einem ersten Schritt die Portfolio-Idee auf der Basis fundamental-logischer Zusammenhänge (unabhängig von quantitativen Analysen) und testet erst in einem zweiten Schritt die gefundene Komposition gegen alle verfügbaren Datenreihen (historisch und simuliert)

Richtig. So hast Du es getan bei Deinem Portfolio und so habe ich es gestern hier mit meinen Parity-Portfolios getan.

Problem aber ist wie immer: Das glaubt uns eben fast keiner, dass wir diese Reihenfolge eingehalten haben. Der Vorwurf 'optimiert aufgrund Backtests' ist Standard, was ich aber auch total verstehen kann, denn es ist leider tatsächlich meist so, dass Portfolios rein anhand Backtests "optimiert' werden, siehe auch Arero.

Bei Faktor- Algos dürfte es in mamchen Fällen nicht anders sein.

 

Diesen Beitrag teilen


Link zum Beitrag
Glory_Days
· bearbeitet von Glory_Days
vor 11 Minuten von Hicks&Hudson:

Der Vorwurf 'optimiert aufgrund Backtests' ist Standard, was ich aber auch total verstehen kann, denn ist ist leider tatsächlich meist so, dass Portfolios rein anhand Backtests "optimiert werden, siehe auch Arero.

Das ist wahrscheinlich auch der gängige Ansatz bei der Portfolio-Konstruktion - nur eben nicht rational. Bei der Erfüllung der notwendigen Bedingung im zweiten Schritt (empirische Bestätigung) gibt es natürlich auch schlechte, gute und bessere Ansätze bzw. Zeitreihen/Datensätze.

Diesen Beitrag teilen


Link zum Beitrag
Hicks&Hudson
· bearbeitet von Hicks&Hudson
vor 3 Minuten von Glory_Days:

Bei der Erfüllung der notwendigen Bedingung im zweiten Schritt (empirische Bestätigung) gibt es natürlich auch schlechte, gute und bessere Ansätze bzw. Zeitreihen.

Natürlich.

Das ist z.B der Grund, warum ich in der Praxis persönlich dann trotzdem kein Risk Parity machen würde. Das letzte Quentchen Vertrauen fehlt.

Wobei ich dabei bleibe, dass, wenn man es machen will, jetzt wahrscheinlich nicht der schlechteste Zeitpunkt dafür ist, um zu starten (Zinsumfeld etc).

 

Diesen Beitrag teilen


Link zum Beitrag
Glory_Days
· bearbeitet von Glory_Days
vor 5 Minuten von Hicks&Hudson:

Das ist z.B der Grund, warum ich in der Praxis persönlich dann trotzdem kein Risk Parity machen würde. Das letzte Quentchen Vertrauen fehlt.

Ich habe oben - ohne Vollständigkeit - einige Gründe genannt, weshalb es sich in meinen Augen bei Risk Parity um keinen überlegenen Ansatz handelt. Man muss auch bedenken, dass jede dynamische Allokation ein Portfolio komplexer macht, wodurch sich automatisch die Frage stellt, ob sich diese zusätzliche Komplexität für den Anleger wirklich lohnt. Gerade Risk-Parity ist in der Praxis bei mehr als zwei Anlageklassen für Privatanleger nicht so einfach umzusetzen - zumindest nicht auf täglicher Basis.

Diesen Beitrag teilen


Link zum Beitrag
Hicks&Hudson
· bearbeitet von Hicks&Hudson
vor 33 Minuten von Glory_Days:

Ich habe oben - ohne Vollständigkeit - einige Gründe genannt, weshalb es sich in meinen Augen bei Risk Parity um keinen überlegenen Ansatz handelt. Man muss auch bedenken, dass jede dynamische Allokation ein Portfolio komplexer macht, wodurch sich automatisch die Frage stellt, ob sich diese zusätzliche Komplexität für den Anleger wirklich lohnt. Gerade Risk-Parity ist in der Praxis bei mehr als zwei Anlageklassen für Privatanleger nicht so einfach umzusetzen - zumindest nicht auf täglicher Basis.

Ehrlich gesagt sehe ich hier aber eher kein Problem.

So ein Dreier-Parity ist ähnlich Deinem OD bzw. eher noch simpler vom Aufwand.

1x Rebalancing im Jahr reicht im einfachsten Fall doch aus.

Wo siehst Du dort eine dynamische AA?

Die Volatilitäten der Bausteine werden einmal zu Beginn geschätzt bzw anhand historischer Langzeit-Daten bewertet und dann wird da nix mehr verändert.

Bei weltweiten Aktien, Gold und sehr langlaufenden US Treasurys sind die Volatilitäten ziemlich eindeutig bzw sehr gut schätzbar (alle lamgfristig im Bereich +/- 15%) . Dies reicht als Annäherung aus, damit das Prinzip AUSREICHEND gut funktioniert. 

 

Ist mag sicherlich Parity Ansätze geben, welche regelmäßig die Volatilitäten der Bausteine neu bewerten, aber das halte ich z.B. für Quatsch, weil natürlich viel zu aufwändig.

 

Diesen Beitrag teilen


Link zum Beitrag
Glory_Days
· bearbeitet von Glory_Days
Am 12.7.2023 um 15:27 von Hicks&Hudson:

Ehrlich gesagt sehe ich hier aber eher kein Problem.

So ein Dreier-Parity ist ähnlich Deinem OD bzw. eher noch simpler vom Aufwand.

1x Rebalancing im Jahr reicht im einfachsten Fall doch aus.

Wo siehst Du dort eine dynamische AA?

Die Volatilitäten der Bausteine werden einmal zu Beginn geschätzt bzw anhand historischer Langzeit-Daten bewertet und dann wird da nix mehr verändert.

Bei weltweiten Aktien, Gold und sehr langlaufenden US Treasurys sind die Volatilitäten ziemlich eindeutig bzw sehr gut schätzbar (alle lamgfristig im Bereich +/- 15%) . Dies reicht als Annäherung aus, damit das Prinzip AUSREICHEND gut funktioniert. 

 

Ist mag sicherlich Parity Ansätze geben, welche regelmäßig die Volatilitäten der Bausteine neu bewerten, aber das halte ich z.B. für Quatsch, weil natürlich viel zu aufwändig.

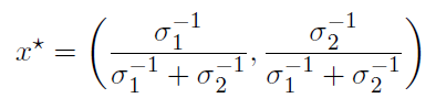
Ich verstehe unter dem Risk Parity-Ansatz ein Equally-Weighted Risk Contributions (ERC) Portfolio. Für den zwei-Asset Fall (n=2) ist die eindeutige Lösung mit Gewichten 0 ≤ w ≤ 1 gegeben durch:
 

grafik.png.76323b9ee2ced9f73ec4f5be42170e72.png
 

Für den Fall n > 2 ist eine analytische Lösung nur bei identischer paarweiser Korrelation herleitbar. Für alle anderen Fälle muss ein numerischer Algorithmus verwendet werden. Natürlich kannst du dafür die Langzeit-Volatilitäten und -Korrelationen heranziehen - diese reagieren aber je länger die Zeitreihe ist, umso träger auf mögliche Regimeänderungen. Mit dynamischer Allokation meinte ich solche RP-Ansätze, die diese kurzfristigen Änderungen versuchen zu timen.

Zitat

However, numerical optimization is necessary in most cases due to the endogeneity of the solutions. All in all, determining the ERC solution for a large portfolio might be a computationally intensive task, something to keep in mind when compared with the minimum variance and, even more, with the 1/n competitors.

 

Sébastien Maillardy, Thierry Roncalliz, Jérôme Teiletchex: On the properties of equally-weighted risk contributions portfolios

On the properties of equally-weighted risk contributions portfolios.pdf

Diesen Beitrag teilen


Link zum Beitrag
Hicks&Hudson
· bearbeitet von Hicks&Hudson
vor 13 Minuten von Glory_Days:

Mit dynamischer Allokation meinte ich solche RP-Ansätze, die diese kurzfristigen Änderungen versuchen zu timen.

Da bin ich bei Dir. Davon halte ich auch nichts.

 

Vorübergehende Verschiebungen der Korrelationsregime sind immer möglich, aber zu versuchen, dies aktiv zu umgehen, halte ich für gar nicht gut. Wie Du sagst, ist dies gefährliches, aktives Market Timing. 

 

Allwetterportfolios waren ja die ersten echten Portfolios, welche in Richtung RP gingen. Soweit mir bekannt, hatten diese aber keine dynamische AA,  sondern eine einmalig festgelegte,  welche nur immer per Rebalancing eingenordet wurde. Ich finde dies den einzig sinnvollen Ansatz in Bezug auf RP in der Praxis. Alles andere ist viel zu aufwendig und kostenintensiv.

 

Mich würde es schon reizen, einen simplen Heuristik-RP-Dreier im Vergleich zu Deinen ODs zu beobachten.

Vielleicht

1/3 Nasdaq bzw. MSCI WORLD 

1/3 Gold

1/3 Treasuries 20+

+Rebalancing 1x pro Jahr z.B.

 

:-)))

Diesen Beitrag teilen


Link zum Beitrag
geldvermehrer
Am 11.7.2023 um 17:15 von Glory_Days:

Wir kennen die Zukunft nicht und können sie als Anleger nicht beeinflussen oder gar kontrollieren - das gilt es zunächst einmal zu akzeptieren. Was wir kennen sind zeitlose robuste mathematische Zusammenhänge und weitestgehend zeitstabile Eigenschaften von Assetklassen in bestimmten Phasen des Wirtschaftszyklus basierend auf einer Analyse der Vergangenheit. Man sollte diese mathematischen Zusammenhänge und Eigenschaften von Anlageklassen kennen und eine Portfolio-Komposition finden, die die Unsicherheit der Zukunft bestmöglich adressiert - d.h. die Anlageziele werden mit größtmöglicher Wahrscheinlichkeit in einem breiten Fächer möglicher zukünftiger Szenarien erreicht.

Prof. Weber und seine Studenten/Team haben mit Sicherheit gründlichst alle bekannten Ergebnisse der Kapitalmarktforschung in ihre Assetklassenauswahl einfließen lassen (und vermutlich zeitlose robuste mathematische Zusammenhänge und zeitstabile Eigenschaften von Assetklassen genauestens  überprüft). Heraus kam ein "schnöder" Mix aus Aktien, Renten und Rohstoffen. Die Gewichtung 60/25/15 sei eher nebensächlich meinte er mal.

Ja kann den Gutes so einfach sein:lol:

Diesen Beitrag teilen


Link zum Beitrag
Glory_Days
· bearbeitet von Glory_Days
vor 45 Minuten von geldvermehrer:

Prof. Weber und seine Studenten/Team haben mit Sicherheit gründlichst alle bekannten Ergebnisse der Kapitalmarktforschung in ihre Assetklassenauswahl einfließen lassen (und vermutlich zeitlose robuste mathematische Zusammenhänge und zeitstabile Eigenschaften von Assetklassen genauestens  überprüft). Heraus kam ein "schnöder" Mix aus Aktien, Renten und Rohstoffen. Die Gewichtung 60/25/15 sei eher nebensächlich meinte er mal.

Nach meinen eigenen Erfahrungen ist der akademische Blickwinkel häufig ein anderer als der der Praktiker. Man sollte das Beste aus beiden Welten vereinen, denn die Theorie ist das Eine und die Praxis das Andere.

Diesen Beitrag teilen


Link zum Beitrag
Hicks&Hudson
· bearbeitet von Hicks&Hudson
vor 9 Minuten von Glory_Days:

denn die Theorie ist das Eine und die Praxis das Andere

:thumbsup:

 

@geldvermehrer

Tipp:

Schaue Dir doch einfach mal alle ´tollen´ wissenschaftlichen Produkte / Fonds an, wie sie gelaufen sind nach Auflage und das bitte auch risikobereinigt, also nicht nur Rendite / Performance, sondern auch Daten wie Volatilität oder Maximum Drawdown.

Arero

GPO

Alle Faktor ETFs, die Du findest.

und und und

 

Was beim Privatanleger nach Kosten und Steuern ankommt im eigenen Geldbeutel, ist das einzige, was letztendlich zählt. Sich damit rühmen, dass man ein Produkt hat, welches auf ´tollen´ wissenschaftlichen Daten beruht, damit kann man sich nichts kaufen. Das ist die pure Wahrheit. Da bringt es einem auch nichts, sich jahre- oder jahrzehntelang einzureden, dass das eben gerade ´Pech´ ist / der Zeitraum gerade ungünstig war. 

Backtests von Indizes (welche oft auch ´hingebogen´ sind, um Outperformance zu suggerieren) können wir nicht mehr kaufen. Wir können nur das kaufen, was es an Produkten gibt und das auch nur mit den Gebühren, die uns aufgedrückt werden. 

 

Diesen Beitrag teilen


Link zum Beitrag

Erstelle ein Benutzerkonto oder melde dich an, um zu kommentieren

Du musst ein Benutzerkonto haben, um einen Kommentar verfassen zu können

Benutzerkonto erstellen

Neues Benutzerkonto für unsere Community erstellen. Es ist einfach!

Neues Benutzerkonto erstellen

Anmelden

Du hast bereits ein Benutzerkonto? Melde dich hier an.

Jetzt anmelden

×
×
  • Neu erstellen...