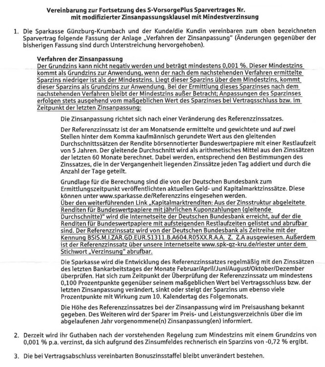
Zinsanpassung der Riester Rente Sparkasse Günzburg-Krumbach
Von
herr_welker, in Alternative Kapitalanlagen
- Zinsen
- Anpassung
- Riester
- Rente
- Altersvorsorge
- Sparkasse
- Klausel
- Nachteile
- Vorteile
- Urteil
- AZ 20 U 2022/20
