Zum Inhalt springen
Melde dich an, um diesem Inhalt zu folgen  
pinguman

Rürup stillegen, Freiberufler

Empfohlene Beiträge

pinguman

Hallo zusammen,

 

ich bin selbstständig seit 2019 (jetzt 34 Jahre alt) und bin 2021 zu einem Versicherungsmakler gegangen um meine Rententhematik anzugehen.
Dort wurde mir dann eine Rürup empfohlen, speziell mit dem Vorteil der Steuerersparnis. Ich hatte eigentlich grundsätzlich ein gutes Gefühl, aber nachdem ich mich nun genauer mit der Thematik beschäftigt habe und auch mal eine Vergleichsrechnung mit einem ETF durchgeführt habe, wird mir mittlerweile ziemlich Mau in der Magengegend... 

 

Ein paar Kennzahlen:

  • Start 2021 mit 36 Jahre Anzahlungsphase
  • Eingezahltes Kapital ~450.00€ am Ende der Laufzeit
  • 2,5% vereinbarte Abschluss- und Vertriebskosten = ~11k€
  • 400€ monatlich mit 5% Dynamik
  • Effektivkosten 3,1 Prozentpunkte
  • 1,5% Verwaltungskosten bei der Auszahlungsphase
  • Fondsgebundene Anlagen mit Durchschnitt 1,7% TER

 

Aktuell bespare ich noch zusätzlich 2 ETFs (S&P500 + MSCI) mit 600€, mit dem Rürup also in Summe ca. 1000€.
Die ETFs + Rürup bilden meine Vorsorge für die Rente ab.

 

Ich wollte mal fragen, ob es überhaupt grundsätzlich einen Sinn macht, bei Effektivkosten von 3,1% überhaupt an die Fortführung der Rürup zu denken.

An anderen Stellen habe ich deutlich günstigere Rürup Verträge gesehen, bei denen man auch ETFs besparen kann. Ein Anbieterwechsel ist bei mir leider nicht möglich, nur die Stilllegung.

 

Danke

Diesen Beitrag teilen


Link zum Beitrag
stagflation
· bearbeitet von stagflation
vor 8 Minuten von pinguman:

Ich wollte mal fragen, ob es überhaupt grundsätzlich einen Sinn macht, bei Effektivkosten von 3,1% überhaupt an die Fortführung der Rürup zu denken.

Man müsste sich diese Zahl noch einmal genau anschauen - wo sie herkommt und wie sie berechnet wird. Manchmal sind die Effektivkosten höher als die tatsächlich Kosten. Weil es z.B. Kickbacks gibt - und diese nicht in die Effektivkosten eingerechnet werden.

 

Wenn sich die 3,1% aber so bestätigen sollten, wären sie außergewöhnlich hoch. Dann würde ich bei der beschriebenen Konstellation (noch 33 Jahre Ansparphase) sofort aufhören, dort einzuzahlen.

 

Bei derartigen Verträgen sollten Effektivkosten deutlich kleiner als 1% sein.

Diesen Beitrag teilen


Link zum Beitrag
satgar

Bitte stelle einmal dein anonymisiertes Produktinformationsblatt ein. Das sieht so aus als Muster: Muster_PIB_ALfonds-Basis-Alte-Leipziger.


Es hat zwei Seiten. Eine Effektivkostenquote von über 3% ist sehr hoch. Ich vermute, es ist eine provisionsgebundene Fondspolice (z.B. von der WWK) mit aktiv gemanagten Fonds darin.

 

Ein provisionsfreier Nettotarif mit ETFs darin schafft es auf rund 0,5% Effektivkostenquote (Police inkl. Fonds). Über 3% wären daher dann 6x so teuer und viel zu viel. Dann sofort beitragsfrei stellen.

Diesen Beitrag teilen


Link zum Beitrag
pinguman
· bearbeitet von pinguman

Hier das Infoblatt:

538343725_Seite1.thumb.jpg.f08a12596dba6bd541ab8c553b1ecf6a.jpg233995336_Seite2.thumb.jpg.5cf0c4f11e6663820fff18b5b681b52f.jpg

 

 

Die Folgeseite sind die ausgewählten aktiv gemanagten Fonds, mit einer durchschnittlichen TER von 1,7%.

Diesen Beitrag teilen


Link zum Beitrag
bondholder
· bearbeitet von bondholder
vor 49 Minuten von pinguman:

Die Folgeseite sind die ausgewählten aktiv gemanagten Fonds, mit einer durchschnittlichen TER von 1,7%.

Zu welchen anderen Investmentfonds darfst du wechseln? Sind das nur diese?

CleVesto Basis Fondskurse

 

Diesen Beitrag teilen


Link zum Beitrag
stagflation
· bearbeitet von stagflation

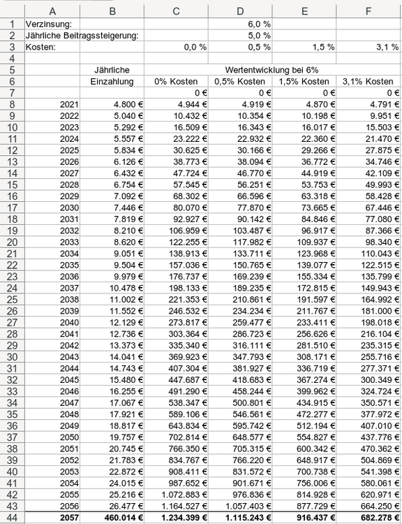
@pinguman: Kennst Du Tabellenkalkulationen wie MS Excel oder LibreOffice Calc? Mit diesen kann man solche Verträge recht gut durchrechnen.

 

Ich habe eine Tabelle mit Deinen Daten erstellt:

  • Einzahlung im ersten Jahr: 4.800 €, danach mit 5% steigend
  • Angenommene Rendite der Fonds vor Kosten: 6%

und berechnet, was Kosten von 0%, 0,5%, 1,5% und 3,1% bedeuten...

 

image.thumb.png.5747c278a39e96f1992bd490c61db0f1.png

 

Die 3,1% Kosten bedeuten, dass die Hälfte (!) des Kapitals weg ist. Die Spalte 0,5% Kosten ist ungefähr das, was Du mit breit diversifizierten ETFs erreichen kannst.

 

Das ist natürlich nur ein grober Überblick. Im nächsten Schritt müsste man die Rechnung verfeinern und Steuern usw. einrechnen.

 

Klar sollte jedenfalls sein, dass 3,1% Effektivkosten (sollte diese Zahl stimmen) Deine Altersvorsorge ruinieren.

Diesen Beitrag teilen


Link zum Beitrag
pinguman
vor 32 Minuten von bondholder:

Zu welchen anderen Investmentfonds darfst du wechseln? Sind das nur diese?

CleVesto Basis Fondskurse

 

Genau, die werden auch in meiner Police aufgelistet.

 

vor 27 Minuten von stagflation:

@pinguman: Kennst Du Tabellenkalkulationen wie MS Excel oder LibreOffice Calc? Mit diesen kann man solche Verträge recht gut durchrechnen.

 

Ich habe eine Tabelle mit Deinen Daten erstellt:

  • Einzahlung im ersten Jahr: 4.800 €, danach mit 5% steigend
  • Angenommene Rendite der Fonds vor Kosten: 6%

und berechnet, was Kosten von 0%, 0,5%, 1,5% und 3,1% bedeuten...

 

image.thumb.png.5747c278a39e96f1992bd490c61db0f1.png

 

Die 3,1% Kosten bedeuten, dass die Hälfte (!) des Kapitals weg ist. Die Spalte 0,5% Kosten ist ungefähr das, was Du mit breit diversifizierten ETFs erreichen kannst.

 

Das ist natürlich nur ein grober Überblick. Im nächsten Schritt müsste man die Rechnung verfeinern und Steuern usw. einrechnen.

 

Klar sollte jedenfalls sein, dass 3,1% Effektivkosten (sollte diese Zahl stimmen) Deine Altersvorsorge ruinieren.

Das ist ziemlich genau das gleiche Ergebnis, was ich in meiner Rechnung auch hatte. Ich habe die einzelnen Kosten noch aufgesplittet, aber das Ergebnis kommt nah an die pauschalen 3,1%. Dummerweise habe ich das Thema Vorsorge ein wenig stiefmütterlich behandelt und der anderen Person vertraut.. Dass das so eine Geldvernichtungsmaschine ist, hätte ich ehrlich gesagt nicht gedacht.


Was mich noch vom Hocker gehauen hat, waren die weiterlaufenden Fondkosten (nach der Einzahlungsphase) sowie die nochmal +1,5% Aufschlag bei der Auszahlungsphase. Wenn ich 5.000€ im Monat auszahlen lasse, ist das Geld nach ca. 12 Jahren weg.

Diesen Beitrag teilen


Link zum Beitrag
stagflation

@pinguman: es freut mich, das Du schon selbst gerechnet hast. :thumbsup: Das ist das A&O. Man muss selbst rechnen!

 

Die Kosten, die Du oben gepostet hast, sind jedoch nicht übermäßig hoch. Ich verstehe noch nicht, wie man damit auf 3,1% Effektivkosten kommt. Ich vermute, dass hier Kosten von Fonds eingerechnet sind - die Du aber vermutlich gar nicht bezahlen musst, wenn Du günstige Fonds wählst. Deine tatsächlichen Effektivkosten liegen also vermutlich niedriger. Es wäre wichtig, diese zu berechnen.

 

Welche Fonds hast Du gewählt? Bitte poste diese. Bitte poste auch, ob es für diese Fonds einen Ausgabeaufschlag gibt - und wie viel Du davon erlassen bekommst. Bitte poste auch die jährlichen Kosten dieser Fonds.

Diesen Beitrag teilen


Link zum Beitrag
satgar
· bearbeitet von satgar
vor 2 Stunden von stagflation:

Ich vermute, dass hier Kosten von Fonds eingerechnet sind

Sind sie.

 

Der wesentliche Punkt der Effektivkostenquote sind die laufenden Verwaltungskosten aus dem Vertragsguthaben je Jahr. Im PIB der Helvetia mit der dortigen Fondsbesparung als „aktuelle Kostenbelastung“ betitelt. In diesen 2,2% pro Jahr steckt sowohl ein Anteil für die Helvetia, als auch die Fonds TER. Ändert man die Fonds, ändert sich auch genau diese „aktuelle Kostenbelastung“ und damit die Effektivkostenquote. Wenn der TO mit seiner durchschnittlichen TER von 1,7% recht hat, dann entfällt auf die Helvetia 0,5% an laufende Kosten aus dem Guthaben.

 

Zum Vergleich: die Condor Versicherung weist im nettotarif hier mit msci world einen, Achtung, monatlichen Wert von 0,04% aus. Also 0,48% je Jahr. Aus dieser Differenz kommt der wesentliche Kostenunterschied. Denn die Condor selbst nimmt sich nur 0,28% zzgl. 4,5% auf den Beitrag, 0% für Sonderzahlungen und 0% für Vertrieb.

 

Auf die laufenden Kosten von 2,2% inkl. Fonds kommen dann noch die Beitragsbezogenen Kosten und Vertriebskosten. Alles zusammen dann, 3,1% renditeminderung im Jahr.

 

Wer aber so blauäugig unterschreibt und dort 11.000€ Abschlusskosten sieht, sorry, da muss man doch mehrmals drüber nachdenken, seine Unterschrift drunter zu setzen. 
 

 

Das die 0,5% der Helvetia aus dem Vermögen und die 0,28% der Condor gar nicht so weit auseinander liegen, hat übrigens einen Grund. Die Helvetia arbeitet bei der eigenen Finanzierung nicht nur mit diesen 0,5%, sondern erlaubt darüber hinaus gehend nur den Einsatz aktiver Fonds und bedient sich somit auch noch zum Teil an den KickbackProvisionen dieser aktiven Fonds. So stellt die beste Alternative in diesem Mantel der DWS Vermögensbildungsfonds 1 für 1,45% dar, der die „aktuelle Kostenbelastung“ und auch Effektivkostenquote aber nur leicht auf etwas unter 3% sinken lassen wird. Die Auswahl von ETFs ist nicht möglich und die Helvetia weiß auch sehr genau, warum.

Diesen Beitrag teilen


Link zum Beitrag
stagflation
· bearbeitet von stagflation
vor 19 Minuten von satgar:

Wer aber so blauäugig unterschreibt und dort 11.000€ Abschlusskosten sieht, sorry, da muss man doch mehrmals drüber nachdenken, seine Unterschrift drunter zu setzen. 

 

Wie kommen diese 11.000 € zustande? Es sind wohl die 2,5% Abschluss- und Vertriebskosten, die ich für einen Bruttotarif übrigens gar nicht soooo hoch finde. Durch die 5% Dynamik (die ich wiederum viel zu hoch finde, wenn man sie dauerhaft durchzieht) entstehen Einzahlungen von 460.000 € - und 2,5% davon sind 11.000 €.

 

Der Vertrag ist vermutlich wesentlich weniger schlimm, als es auf den ersten Blick aussieht.

 

Das soll jetzt weder eine Empfehlung zum "Behalten", noch zum "Verkaufen" sein - sondern eine Empfehlung, sich den Vertrag genau anzusehen und zuerst mit Alternativen zu vergleichen, bevor man ihn kündigt...

Diesen Beitrag teilen


Link zum Beitrag
satgar
vor 2 Minuten von stagflation:

 

Wie kommen diese 11.000 € zustande? Es sind wohl die 2,5% Abschluss- und Vertriebskosten, die ich für einen Bruttotarif übrigens gar nicht soooo hoch finde. Durch die 5% Dynamik (die ich wiederum viel zu hoch finde, wenn man sie dauerhaft durchzieht) entstehen Einzahlungen von 460.000 € - und 2,5% davon sind 11.000 €.

 

Der Vertrag ist vermutlich wesentlich weniger schlimm, als es auf den ersten Blick aussieht.

 

Das soll jetzt weder eine Empfehlung zum "Behalten", noch zum "Verkaufen" sein - sondern eine Empfehlung, sich den Vertrag genau anzusehen und zuerst mit Alternativen zu vergleichen, bevor man ihn kündigt...

2,5% ist der übliche Satz heutiger Tarife, jedes Bruttotarifs. Und richtig ist auch, in den 11.000€ ist eingerechnet, dass die Dynamik auch jedes Mal gezogen würde und genutzt wird. In Summe dann eben: 11.000€

 

Das Produkt ist schlimm: viel zu hohe Vertragskosten, generell Abschlusskosten, keine ETFs. Das geht gar nicht. Kündigen geht ja auch nicht, ist ja ne Rüruprente. Man kann nur beitragsfrei stellen. Aber an das bisher eingezahlte Geld, kommt man nicht mehr ran.

Diesen Beitrag teilen


Link zum Beitrag
stagflation
· bearbeitet von stagflation

Wie hoch sind denn die jährlichen Kosten - mal abgesehen von den Fonds (zu denen kommen wir noch)?

 

Das einzige, was ich verstehe, sind die 3 Euro pro Monat. Das wäre nicht viel. Aber es scheint einen zusätzlichen Betrag zu geben, der an den Versicherer geht? Berechnung und Höhe sind mir nicht klar anhand des Produktinformationsblattes.

 

@pinguman: sind die laufenden Kosten in Deinem Vertrag besser beschreiben?

 

Die 1,5% Kosten in der Auszahlungsphase fände ich auch nicht schlimm - wenn sie sich auf die ausgezahlten Renten beziehen. Die Formulierung "jährlich bezogen auf Altersleistungen" lässt mich ratlos zurück - weil mir nicht klar ist, was das bedeutet.

Diesen Beitrag teilen


Link zum Beitrag
satgar
· bearbeitet von satgar
vor 21 Minuten von stagflation:

Wie hoch sind denn die jährlichen Kosten - mal abgesehen von den Fonds (zu denen kommen wir noch)?

 

Das einzige, was ich verstehe, sind die 3 Euro pro Monat. Das wäre nicht viel. Aber es scheint einen zusätzlichen Betrag zu geben, der an den Versicherer geht? Berechnung und Höhe sind mir nicht klar anhand des Produktinformationsblattes.

 

@pinguman: sind die laufenden Kosten in Deinem Vertrag besser beschreiben?

 

Die 1,5% Kosten in der Auszahlungsphase fände ich auch nicht schlimm - wenn sie sich auf die ausgezahlten Renten beziehen. Die Formulierung "jährlich bezogen auf Altersleistungen" lässt mich ratlos zurück - weil mir nicht klar ist, was das bedeutet.

Ich hab das doch oben erläutert.

 

Ich Versuchs nochmal:

 

Altersleistungen = Renten. So, wie du es beschrieben hast. Ist auch ein üblicher Wert und nicht schlimm

 

Ansparphase, Verwaltungkosten:

 

Prozentsatz des gebildeten Kapitals pro Jahr, maximal 5,48% (mit dem teuersten Fonds der Helvetia Fondsliste)

aktuelle Kostenbelastung ( auf das gebildete Kapital je Jahr, mit zur Berechnung genutzten, konkret gewählten Fonds): 2,2% je Jahr

Prozentsatz auf jeden eingezahlten Beitrag (außer Sonderzahlungen): 8,59%

Sonderzahlungen: 1% zzgl.  4% Vertriebskosten versteht sich….letztlich also insgesamt 5% je Sonderzahlung um exakt zu sein.

 

 

Im besagten Vertrag wäre es daher übrigens besser, mit Sonderzahlungen zu arbeiten anstelle eines hohen, mtl. sparbetrages.

Aber das reißt das Ruder auch nicht rum. Dafür sind die Guthaben-bezogenen Kosten einfach zu hoch.

Diesen Beitrag teilen


Link zum Beitrag
chirlu
vor 2 Stunden von pinguman:

Was mich noch vom Hocker gehauen hat, waren die weiterlaufenden Fondkosten (nach der Einzahlungsphase) sowie die nochmal +1,5% Aufschlag bei der Auszahlungsphase.

 

Da hast du etwas missverstanden. In der Rentenphase gibt es keine Fonds und folglich keine Fondskosten. Die 1,5% Kosten in der Rentenphase sind die übliche Höhe, auch bei Nettotarifen (manchmal gibt es 1,75% oder sogar 2%).

 

vor 3 Stunden von pinguman:

Wenn ich 5.000€ im Monat auszahlen lasse, ist das Geld nach ca. 12 Jahren weg.

 

Auch da hast du ein größeres Missverständnis. Die Rente läuft immer lebenslang und in fester Höhe (abgesehen von Überschüssen). Diese Höhe ergibt sich aus dem zur Verfügung stehenden Kapital und dem Rentenfaktor; du kannst dir nicht aussuchen, welchen Betrag du dir auszahlen lassen willst.

Diesen Beitrag teilen


Link zum Beitrag
stagflation
vor 19 Minuten von satgar:

Ich hab das doch oben erläutert.

 

Ich Versuchs nochmal:

 

Prozentsatz des gebildeten Kapitals pro Jahr, maximal 5,48% (mit dem teuersten Fonds der Helvetia Fondsliste)

aktuelle Kostenbelastung ( auf das gebildete Kapital je Jahr, mit zur Berechnung genutzten, konkret gewählten Fonds): 2,2% je Jahr

 

Mir geht es darum herauszufinden, wie hoch die jährlichen Kosten sind, die die Versicherung kassiert. Die Fonds interessieren mich vorerst nicht. Wie hoch ist der Prozentsatz des gebildeten Kapitals, der jährlich an die Versicherung geht?

Diesen Beitrag teilen


Link zum Beitrag
chirlu
vor 8 Minuten von stagflation:

Wie hoch ist der Prozentsatz des gebildeten Kapitals, der jährlich an die Versicherung geht?

 

Steht doch da: 0,48% plus fix 36 Euro.

Diesen Beitrag teilen


Link zum Beitrag
pinguman
· bearbeitet von pinguman
vor 13 Minuten von stagflation:

 

Mir geht es darum herauszufinden, wie hoch die jährlichen Kosten sind, die die Versicherung kassiert. Die Fonds interessieren mich vorerst nicht. Wie hoch ist der Prozentsatz des gebildeten Kapitals, der jährlich an die Versicherung geht?

Nach meiner Rechnung habe ich folgende jährlichen Kosten aufsummiert:

- Fondkosten

- Abschluss- und Vertriebskosten ("A-V Kosten")

- Verwaltungskosten (Fix - die 3€ + Prozentual auf die Wertentwicklung + Prozentual auf die Einzahlungen)

 

Die Schritte habe ich der Rechnung hierher genommen:
grafik.png.7d41a77d1e6a11200086e26285e1daf9.png

So habe ich die Kosten berechnet für die ganze Laufzeit (bis 2023 echte Werte genommen, ab 2024 dann 5% Wertentwicklung):

grafik.thumb.png.78a39019800c74c73e67361db5a05daf.png

 

vor einer Stunde von satgar:

Wer aber so blauäugig unterschreibt und dort 11.000€ Abschlusskosten sieht, sorry, da muss man doch mehrmals drüber nachdenken, seine Unterschrift drunter zu setzen. 

Ich wollte das Thema Rente einfach vom Tisch und mich um mein Tagesgeschäft kümmern. Das rächt sich nun... könnt mir in den Arsch beißen.

 

Das sind die Fonds in meiner Police:

  • LU1864952335 - Threadneedle (Lux) SICAV (TER 1,72%)
  • LU0386882277 - Pictet Asset Management (Europe) S.A. (TER 2,00%)
  • DE0009769760 - DWS Investment GmbH (TER 1,45%)
  • LU1864957219 - Threadneedle (Lux) SICAV (TER 1,68%)

Diesen Beitrag teilen


Link zum Beitrag
chirlu
vor einer Stunde von stagflation:

Es sind wohl die 2,5% Abschluss- und Vertriebskosten, die ich für einen Bruttotarif übrigens gar nicht soooo hoch finde.

 

Es ist das heutzutage zulässige Maximum. Du wirst in Deutschland keinen Tarif finden können, der mehr nimmt; nur bei Altverträgen ist mehr möglich.

Diesen Beitrag teilen


Link zum Beitrag
satgar
· bearbeitet von satgar
vor 31 Minuten von stagflation:

Wie hoch ist der Prozentsatz des gebildeten Kapitals, der jährlich an die Versicherung geht

Dass das in den PIBs mit Fondskosten zusammen gerührt wird, dafür kann ich nichts. Beschwer dich bei der Stelle PIA. Die Kostenangabe wird inkl. Fondskosten gemacht und muss daher  rausgerechnet werden. Chirlu hat’s auch schon beschrieben. Es sind die 0,48%…die In der besagten Zeile mit 5,48% max benannt sind, weil bis zu 5% Fondskosten on top kommen dürften.

vor 19 Minuten von pinguman:

+ Prozentual auf die Wertentwicklung

Fast richtig. Es wird vom Guthaben genommen, nicht von der Wertentwicklung. Selbst wenn die Wertentwicklung in einem Jahr 0% wäre (rein theoretisch, sie könnte ja sogar negativ sein), fallen die Kosten vom Guthabentopf natürlich zusätzlich trotzdem an.

 

Es ist halt einfach schade, dass den Versicherern bei der Darstellung Ihrer Werte zu viele Freiheiten vom Gesetzgeber gelassen wurden. Das PIB ist schon gut gemeint, aber bei weitem nicht perfekt. Im Vergleich mal dazu…

IMG_0011.png

IMG_0010.png
 

Gerade bei den Prozentsätzen vom gebildeten Kapital gibt es die wildesten Ausweisungsmethoden. Klar ist aber immer zweierlei: redet der Versicherer von Max. Beträgen, meint er seine eigenen Kosten zzgl. der teuersten Fondsauswahl. Spricht er hingegen von „aktueller Kostenbelastung“, meint er seine eigenen Kosten zzgl. der tatsächlichen Fondskosten des Angebots/Antrags, das berechnet wurde.

Diesen Beitrag teilen


Link zum Beitrag
pinguman
vor 3 Stunden von satgar:

Fast richtig. Es wird vom Guthaben genommen, nicht von der Wertentwicklung. Selbst wenn die Wertentwicklung in einem Jahr 0% wäre (rein theoretisch, sie könnte ja sogar negativ sein), fallen die Kosten vom Guthabentopf natürlich zusätzlich trotzdem an.

Dann sieht das ganze ja noch übler aus. Das sind dann zusätzliche ~127k€ Verwaltungskosten.

Diesen Beitrag teilen


Link zum Beitrag
chirlu
vor 6 Minuten von pinguman:

Dann sieht das ganze ja noch übler aus. Das sind dann zusätzliche ~127k€ Verwaltungskosten.

 

Ha ja. Wenn nur ein paar Euro weggehen würden, wie sollte sich dann das Vermögen ungefähr halbieren können?

vor 8 Stunden von stagflation:

Die 3,1% Kosten bedeuten, dass die Hälfte (!) des Kapitals weg ist.

 

Diesen Beitrag teilen


Link zum Beitrag
stagflation
· bearbeitet von stagflation
vor 4 Stunden von chirlu:

Steht doch da: 0,48% plus fix 36 Euro.

Spannend! Da wäre ich jetzt nicht drauf gekommen. Aber jetzt, wo Du es schreibst...  Ja, das kann man aus dem Text schließen.

 

Also haben wir in der Ansparphase:

  1. Abschlusskosten: 2,5% der Versicherungssumme. Normaler Betrag (für Brutto-Tarife), laut @chirlu dürfen es auch nicht mehr sein.

    Nach wie vor unklar: normalerweise würden die 2,5% nur auf den Anfangsbetrag von 36*4800 € = 4.320 berechnet und auf die ersten X Jahre verteilt werden. Und dann weitere 2,5% auf jede dynamische Erhöhung.

    @pinguman hat es oben so berechnet, als ob gleich die gesamten 11.500 € berechnet würden und auf die ersten X Jahre verteilt würden?
     
  2. Auf jede Beitragszahlung: 8,59% Da ist ungewöhnlich hoch und frech. Hier hat sich der Anbieter offenbar für die Deckelung der Abschluss- und Vertriebskosten auf 2,5% gerächt und holt sich das Geld auf diese Weise!
     
  3. Auf jede Beitragszahlung: möglicherweise Ausgabeaufschläge bei den Fonds?
     
  4. Laufende Kosten jährlich: 36 € fix. Das wäre okay
     
  5. Laufende Kosten jährlich: 0,48% des angesparten Kapitals. Das ist schon recht viel.
     
  6. Laufende Kosten jährlich: laufende Kosten des Fonds. Das ist wohl der Haupt-Kostenfaktor.

    Hier ist nach wie vor die Frage, ob es Kickbacks gibt, die in das Guthaben des Kunden fließen?
     
  7. Laufende Kosten jährlich: Transaktionskosten des Fonds (nicht in den laufenden Kosten enthalten)

Dann ergibt sich:

 

image.thumb.png.04d58aba9ce87bbb855143addf05c9f0.png

 

Die Fixkosten sind harmlos. Die Abschlusskosten sehen harmlos aus. Aber sie sind nicht ganz so harmlos, weil sie am Anfang anfallen und viel Zinseszins kosten. Die Verwaltungskosten pro Beitrag tun weh, ebenso die Verwaltungskosten pro Kapital. Der Hammer sind aber die Fondskosten. In der Summe landet man bei ca. 3.0% Effektivkosten, wie man durch Vergleich mit den linken Spalten feststellen kann.

Diesen Beitrag teilen


Link zum Beitrag
pinguman
vor 8 Stunden von stagflation:

Spannend! Da wäre ich jetzt nicht drauf gekommen. Aber jetzt, wo Du es schreibst...  Ja, das kann man aus dem Text schließen.

 

Also haben wir in der Ansparphase:

  1. Abschlusskosten: 2,5% der Versicherungssumme. Normaler Betrag (für Brutto-Tarife), laut @chirlu dürfen es auch nicht mehr sein.

    Nach wie vor unklar: normalerweise würden die 2,5% nur auf den Anfangsbetrag von 36*4800 € = 4.320 berechnet und auf die ersten X Jahre verteilt werden. Und dann weitere 2,5% auf jede dynamische Erhöhung.

    @pinguman hat es oben so berechnet, als ob gleich die gesamten 11.500 € berechnet würden und auf die ersten X Jahre verteilt würden?

Ich komme auf die Abschlusskosten mit folgender Rechnung:

grafik.png.557a03489a74d226cabadae0e4c7a863.png


Die Gesamteinzahlungen berechne ich wie folgt:

=400€*((1+5%)^36-1)/(5%/12)

Davon dann 2,5% und auf 10 Jahre verteilt (Start war unter dem Jahr, daher passt die Summe nicht exakt).

Diesen Beitrag teilen


Link zum Beitrag
satgar
vor 27 Minuten von pinguman:

Ich komme auf die Abschlusskosten mit folgender Rechnung:

grafik.png.557a03489a74d226cabadae0e4c7a863.png


Die Gesamteinzahlungen berechne ich wie folgt:


=400€*((1+5%)^36-1)/(5%/12)

Davon dann 2,5% und auf 10 Jahre verteilt (Start war unter dem Jahr, daher passt die Summe nicht exakt).

Passt auch so. Man würde das aber auch nicht so machen, denn:

 

jede Dynamik löst 2,5% erneute Provision aus

jede Dynamik steigert den Sparbetrag, auf den 8,59% Verwaltungskosten anfallen

 

 

Sonderzahlungen hingegen, lösen 4% Abschlusskosten und 1% Verwaltungskosten aus. In Summe also "nur" 5%. 

 

Über den monatlichen Sparbetrag (schon 400 EUR sind hier zu hoch!) und dann noch über Dynamiken zu arbeiten, ist viel teurer.

 

An sich ist das ganze Konstrukt ja aber auch schon zu teuer. Hatte ich ja mehrmals betont.

Diesen Beitrag teilen


Link zum Beitrag
s1lv3r
· bearbeitet von s1lv3r
vor 9 Stunden von stagflation:

Hier ist nach wie vor die Frage, ob es Kickbacks gibt, die in das Guthaben des Kunden fließen?

 

Die Fonds-Kickbacks fließen natürlich an die Helvetia. Wenn die in das Vertragsguthaben des Kunden gutgeschrieben würden, hätte die Helvetia ja überhaupt keinen Grund auf die Verwendung von teuren aktiven Fonds zu bestehen und würde stattdessen auch ETF erlauben ...

 

In einem sind wir uns ja übrigens scheinbar alle einig: Die ganze Rechnerei ist interessant und für das Verständnis des OP bestimmt auch wichtig, aber im Endeffekt rein akademisch; die einzig sinnvolle Handlungsoption bleibt den Vertrag stillzulegen. Der ist, wie man es auch dreht und wendet, eine reine Geldvernichtungsmaschine.

 

(Und natürlich vorher den sehr guten Tipp von satgar befolgen und das gesamte Guthaben in den DWS VERMÖGENSBILDUNGSFONDS I umschichten!)

Diesen Beitrag teilen


Link zum Beitrag

Erstelle ein Benutzerkonto oder melde dich an, um zu kommentieren

Du musst ein Benutzerkonto haben, um einen Kommentar verfassen zu können

Benutzerkonto erstellen

Neues Benutzerkonto für unsere Community erstellen. Es ist einfach!

Neues Benutzerkonto erstellen

Anmelden

Du hast bereits ein Benutzerkonto? Melde dich hier an.

Jetzt anmelden
Melde dich an, um diesem Inhalt zu folgen  

×
×
  • Neu erstellen...