Zum Inhalt springen
ghostkeeper

Anleihen Renditeberechnung

Empfohlene Beiträge

ghostkeeper

Vieleicht kann mir mal jemand auf die Sprünge helfen.

 

Anleihe zu 122,86 für 20 000,- ergibt mit Gebühren 24 663,90.

Zinssatz zu 6,25% sind 1250,- Zinsen jährlich.

Restlaufzeit 22 Jahre bis 4.1.30.

Das sind meiner Meinung nach 27 500.- Zinsen.

Plus Auszahlung 20 000,- sind 47 500,-.

Minus 24 663,90 ergibt 22 836,10.

Durch 22 Jahre sind 1038,-, macht nach meiner Berechnung 5,19%.

 

Wo ist hier mein Denkfehler?

Wird im Jahr der Fälligkeit kein Zins gezahlt? Aber selbst dann komme ich auf 4,9%.

 

cu

Diesen Beitrag teilen


Link zum Beitrag
Sapine
· bearbeitet von Sapine

EDIT: gelöscht wegen Denkfehler

Diesen Beitrag teilen


Link zum Beitrag
Delphin
· bearbeitet von Delphin
Anleihe zu 122,86 für 20 000,- ergibt mit Gebühren 24 663,90.

Zinssatz zu 6,25% sind 1250,- Zinsen jährlich.

Restlaufzeit 22 Jahre bis 4.1.30.

Das sind meiner Meinung nach 27 500.- Zinsen.

Plus Auszahlung 20 000,- sind 47 500,-.

Minus 24 663,90 ergibt 22 836,10.

Durch 22 Jahre sind 1038,-, macht nach meiner Berechnung 5,19%.

 

Wo ist hier mein Denkfehler?

Sind mehrere Fehler drin. Alle beruhen darauf, dass du nicht mit dem Zinseszins rechnest. Du kannst nicht die Zinszahlungen eifach mit den Jahren multiplizieren und auch den Gewinn am Schluss nicht einfach durch 22 teilen (leider).

 

Ohne etwas Mathematik geht es leider nicht. Und berechnen tut man die Rendite in der Praxis deswegen auch im Internet, mit einem speziellen Taschenrechner, oder mit Excel.

 

Also erstmal gehts du davon aus, dass die Zinsen nach Auszahlung einfach unter der Matratze liegen bleiben. D.h. dass 1000 € heute zu haben genauso gut ist wie 1000 € in 10 Jahren. Das ist aber nicht der Fall, denn mit 1000€ heute kannst du ja ein neues Bett kaufen, und dich zehn Jahre dran freuen. Oder du kannst das Geld anlegen zum Zinssatz i (z.B. i = 0,05 = 5%) und hast nach zehn Jahren mit jährlicher Zinsgutschrift und Zinseszins genau 1000€*(1+i)^10.

 

Genausogut kann man auch sagen, was eine Zahlung in fünf Jahren heute Wert ist, wenn ein bestimmter am Markt verfügbarer Zinssatz gegeben ist, nämlich

 

B = Z / (1+i)^n

 

mit B dem heutigen Wert, nennt man Barwert, Z der Zahlung in n Jahren, und i dem Marktzins (für n-jährige Anlagen).

 

Da muss man mal ne Nacht drüber schlafen, aber das ist eine sehr wichtige Überlegung. Denn jetzt kann man einen Schritt weitergehen und sich überlegen, was sollte ich bereit sein für eine Anleihe zu bezahlen, wenn der Marktzins i gegeben ist (und der einfachheit halber für alle Zeiträume gleich). Eine Anleihe kann man jetzt abstrakt betrachten als eine Anlage, die dir eine bestimmte Reihe von zukünftigen Zahlungen verspricht. Wenn du jetzt von allen Zahlungen den Barwert berechnest und das zusammenzählst kommst du auf den Preis, den dir die Anleihe wert sein sollte.

 

Also praktisch für Nennwert 100€, unter der Vorraussetzung, dass de Marktzins im Moment genau 4,8% beträgt:

1. Jahr: 6,50€ Zinsen, also Barwert = 6,5€ / (1+0,048)^1 = 6,202290€

2. Jahr: 6,50€ Zinsen, also Barwert = 6,5€ / (1+0,048)^2 = 5,918216€

3. Jahr: 6,50€ Zinsen, ...

...

22. Jahr: 106,50€ Zinsen (inkl. Rückzahlung), also Barwert = 106,5€ / (1+0,048)^22 = 37,966572€

 

Macht zusammen einen Barwert für die Anleihe von 122,79€ (kann man in excel mit einer Tabelle wie gerade dargestellt ausrechnen). D.h., wenn der Markt im Moment 4,8% Rendite bietet ist 122,79€ ein angemessener Preis für die Anleihe. Nun entstehen die Preise natürlich durch Angebot und Nachfrage (wobei die Teilnehmer genau die obige Rechnung alle kennen), d.h. man kann auch andersherum aus dem Preis eine Rendite berechnen (das geht letztlich mathematisch auch nur durch Probieren), um Anleihen zu vergleichen. Die Rendite ist also etwa 4,8% bei deinem Kurs von 122,86.

 

Hoffe, ich habe dich nicht verwirrt. ;)

 

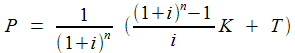
(Falls du befürchtest ich hätte diese Tabelle gerade in Excel so aufgebaut, kann ich dich beruhigen, es gibt eine Abkürzung, man kann den angemessenen Preis einer Anleihe auch in einer Formel berechnen:

 

post-5472-1207824178_thumb.png

 

mit K=6,50€ (Kupon) und T=100€ (Tilgung)

)

 

Alles gesagte gilt nur für ganze Jahre, also für den Kauf direkt nach einer Zinsausschüttung. Kauft man später, kommen Stückzinsen ins Spiel. Das ist nicht so arg wild, muss man sich aber in Ruhe klar machen. Zumal es die Konvention an der Börse gibt, dass der Preis immer ohne die aufgelaufenen Zinsen quotiert wird (auch in deiner Ordermaske), aber zahlen muss man die Stückzinsen trotzdem.

 

EDIT: Sorry, hab schlecht geguckt, du hattest 6,25% Kupon geschrieben! Dann könnte es tatsächlich die "6,25% Bund 00/30" sein, wie Günther vermutet (der alte Fuchs! :thumbsup: ).

Diesen Beitrag teilen


Link zum Beitrag
Raccoon
Wo ist hier mein Denkfehler?

Du kannst nicht einfach durch die Anzahl der Jahre teilen, sondern:

 

(Kupon + (Rueckzahlung in % - Kaufkurs in %) / Restlaufzeit) / Kaufpreis in %

 

Wird im Jahr der Fälligkeit kein Zins gezahlt?

I.d.R. schon.

 

Meine Berechnung nach der Formel oben ergibt eine Rendite von 4,27% (mit Restlaufzeit 22.66 Jahre berechnet). Mit einer einfachen Zinseszinsformel kommst du nur auf 3%!

 

Es gibt allerdings verschiedenen Methoden zur Berechnung, siehe hier: Renditeberechnung

Diesen Beitrag teilen


Link zum Beitrag
Günter Paul

Die Anleihe notiert über HUNDERT,dadurch reduziert sich die RENDITE gegenüber dem angegebenen ZINSSATZ!

Bei Anleihen unter HUNDERT erhöht sich die RENDITE gegenüber dem angegebenen ZINSSATZ!

 

Die von Dir angesprochene Anleihe notiert momentan bei 123,46 hat damit eine Rendite von 4,58%,

natürlich über die gesamte Laufzeit gerechnet und OHNE angefallene Ordergebühren!

 

Gruß

Günter Paul

Diesen Beitrag teilen


Link zum Beitrag
ghostkeeper
· bearbeitet von ghostkeeper

Erst mal danke für Eure Antworten.

 

Was ihr geschrieben habt ist mir bekannt, die Renditeberechnung läuft bei mir auch in Excel.

Damit komme ich auf 4,55 %.

 

Aber wo ist der Fehler in meiner Rechnung?

 

Wenn ich nach Abzug aller Kosten nach 22 Jahren einen Überschuß von 22 836,- habe ergibt das pro Jahr über 1038,-.

 

Zinseszins würde die Rendite übrigens noch steigern.

 

cu

 

ja es ist die 6,25 Bundesanleihe.

Diesen Beitrag teilen


Link zum Beitrag
Delphin
· bearbeitet von Delphin
Erst mal danke für Eure Antworten.

 

Was ihr geschrieben habt ist mir bekannt, die Renditeberechnung läuft bei mir auch in Excel.

Damit komme ich auf 4,55 %.

Hmm, aber dann weißt du doch wie man es rechnet? Versteh ich noch nicht ganz. Oder benutzt du die eingebaute Excel-Funktion?

 

Aber wo ist der Fehler in meiner Rechnung?

 

Wenn ich nach Abzug aller Kosten nach 22 Jahren einen Überschuß von 22 836,- habe ergibt das pro Jahr über 1038,-.

Das ist auf jeden Fall falsch, du darfst das nicht zu gleichen Teilen auf jedes Jahr verteilen, denn wie gesagt, in drei Jahren 1038,- und in 8 Jahren 1083,- ist nicht dasselbe. Es gibt einen Zeitwert des Geldes sozusagen.

 

Ebenso kannst du nicht einfach die Zinszahlungen von 1250,- im Jahr mit 22 multiplizieren. Denn auch hier haben die verschiedenen Zinszahlungen aus heutiger sicht einen unterschiedlichen Wert (auch aus Sicht von in 22 Jahren haben sie das). Bei den Zinsen könnte man noch sagen, ok, aber ich leg die wirklich nicht an, wenn sie ausgeschüttet werden. Ok, dagegen ist wenig zu sagen, aber für die Renditeberechnung benutzt man die Konvention, dass man immer von der Wiederanlage ausgeht, und zwar in dieselbe Anleihe (was praktisch nicht unbedingt möglich ist).

 

Vielleicht noch ein Beispiel. Wenn du übrigens 1000€ anlegst und nach zwei Jahren 1060€ zurückbekommst, hast du 60€ Gewinn gemacht, also 6%. D.h. aber eigentlich nicht, dass du 3% pro Jahr gemacht hast, sondern 1,06^(1/2)-1 = 2,96%. Denn mit 3% pro Jahr hättest du nach einem Jahr 1030€ und nach dem zweiten Jahr 1,03*1030 = 1060,90€. Das ist eben der Zinseszins, bei langen Zeiträumen spielt das eine große Rolle!

Diesen Beitrag teilen


Link zum Beitrag
ghostkeeper

Wenn ich 20000,- ein Jahr zu einem Zinssatz von 5,19% anlege, erhalte ich jährlich 1038,- Zinsen.

Wie hoch ist die Rendite?

 

Wenn ich die Zinsen jährlich unters Bett lege und nach 22 Jahren alles hervor hole, habe ich 22836,- in der Hand, genauso wie bei meiner Rechnung mit der Anleihe.

 

Das verstehe ich eben nicht, die Rendite der Zinsanlage sind nach meinem Verständnis 5,19 %, die der Anleihe lt. Excel 4,55% bei gleicher Endsumme.

Zinsen in beiden Fällen unters Bett.

 

Ich glaube auch nicht, dass Excel von der Wiederanlage der Zinsen in die Anleihe ausgeht, dass wäre zu mager.

 

cu

Diesen Beitrag teilen


Link zum Beitrag
Delphin
· bearbeitet von Delphin
Wenn ich 20000,- ein Jahr zu einem Zinssatz von 5,19% anlege, erhalte ich jährlich 1038,- Zinsen.

Wie hoch ist die Rendite?

Genau 5,19%.

 

Wenn ich die Zinsen jährlich unters Bett lege und nach 22 Jahren alles hervor hole, habe ich 22836,- in der Hand

Das ist richtig. Plus der ursprünglichen 20.000€. (Aber Achtung, die gewöhnliche Rendite-Rechnung geht immer von der Wiederanlage aus, das ist einfach ne Konvention, musst du für dich natürlich nicht so machen. Aber wenn du bei der Börse Stuttgart z.B. den Renditerechner benutzt, dann geht der von der Wiederanlage, also Zinseszinssituation aus.)

 

Das verstehe ich eben nicht, die Rendite der Zinsanlage sind nach meinem Verständnis 5,19 %

Ja, das stimmt für die Anlage, die du oben beschrieben hast, also eine solche Zahlungsreihe:

0. Jahre: - 20.000

1. Jahr: +1.038

2. Jahr: +1.038

...

22. Jahr: +21.038

 

, die der Anleihe lt. Excel 4,55% bei gleicher Endsumme.

Die Anleihe zahlt dir auch nicht jedes Jahr 1038€! Sondern weniger und im letzten Jahr deutlich mehr. Das ist ein großer Unterschied! Die größte Rate kommt am Schluss. Bei deiner anfänlichen Rechnung verteilst du das am Ende angesammelte Geld auf all 22 Jahre gleichmäßig, das ist aber ja nicht der Fall.

 

Ich glaube auch nicht, dass Excel von der Wiederanlage der Zinsen in die Anleihe ausgeht, dass wäre zu mager.

Weiß ich natürlich nicht, ich weiß ja nicht, wie du's mit Excel berechnest.

 

Ich bin nicht ganz sicher, ob ich dein Problem richtig verstehe. Aber ich glaube immer noch, es hängt damit zusammen, dass dir die Zinseszinsrechnung nicht so geläufig ist - kann mich aber gewaltig täuschen. :blink:

Diesen Beitrag teilen


Link zum Beitrag
billy-the-kid
Wo ist hier mein Denkfehler?

 

Probier es doch mal hier:

 

http://www.irrq.com/de/

 

Aber fang mit einfachen Übungen an:

 

Wie hoch ist die Rendite einer zweijährigen anleihe mit 4% nominal, die du zu Kurs 99 kaufst?

 

Wie hoch ist sie, falls die Zinsen nicht jährlich, sondern halbjährlich gezahlt werden?

 

Grüße, billy-the-kid

Diesen Beitrag teilen


Link zum Beitrag
Raccoon
· bearbeitet von Raccon
Aber wo ist der Fehler in meiner Rechnung?

 

Wenn ich nach Abzug aller Kosten nach 22 Jahren einen Überschuß von 22 836,- habe ergibt das pro Jahr über 1038,-.

 

Zinseszins würde die Rendite übrigens noch steigern.

Nein, umgekehrt: Wenn du dein Geld in 10 Jahren verdoppelst (also +100%) entspricht das nicht 10% p.a., sondern "nur" 7,2% p.a.

 

Nochmal der Hinweis: die Renditeberechnung bei Anleihen basiert auf dem internen Zinsfuss (IKV/IRR Formel in Excel), es ist keine einfache Zinseszinsrechnung, denn die ergibt wie oben gesagt nur 3%.

Diesen Beitrag teilen


Link zum Beitrag
ghostkeeper

Ich habs !!!! :thumbsup:

Der Link Renditeberechnung hats gebracht.

 

Ganz einfach mal über ein Jahr gerechnet.

 

Festgeldanlage von 100,- mit 5% ergibt nach einem Jahr 105,- auf dem Konto.

Rendite 5%.

 

Anleihe zu 102,50 mit 100,- Nennwert und Koupon 7,5% ergibt nach einem Jahr 105,- auf dem Konto.

Rendite 4,88%.

Sind theoretisch 4,88 , also 0,12 weniger als 5,-

Natürlich muß ich hier 2,50 mehr investieren, die ich bei der Festgeldanlage extra investieren könnte.

Mit 5% verzinst komme ich genau auf die fehlenden 12 Cent.

 

Liegt also nicht am Zinsezins, denn dann müßte die Rendite steigen.

 

So wie ich meine Rechnung verstehe, müßte ich 20 000,- zu 5,19% anlegen (ich gehe hier immer davon aus, dass die Zinsen nicht wieder angelegt werden) um nach 22 Jahren effektiv die gleiche Summe wie bei Investition in die Wertpapiere zu haben.

Liege ich hier wenigstens richtig ?

Eine theoretische Festgeldanlage mit 5,19% p.a. wäre nicht schlecht.

 

cu

Diesen Beitrag teilen


Link zum Beitrag
Delphin
· bearbeitet von Delphin

Ich will nicht unhöflich sein, aber deine Darstellung ist etwas verwirrend. Und auf ein Jahr betrachtet spielt der Zinseszins natürlich eh keine Rolle. :blink:

 

Ganz einfach mal über ein Jahr gerechnet.

 

Festgeldanlage von 100,- mit 5% ergibt nach einem Jahr 105,- auf dem Konto.

Rendite 5%.

 

Anleihe zu 102,50 mit 100,- Nennwert und Koupon 7,5% ergibt nach einem Jahr 105,- auf dem Konto.

Ist das ein Schreibfehler, oder wie meinst du das? Wenn die Anleihe nach einem Jahr fällig ist, dann hast du doch 107,50 auf dem Konto?

 

Rendite 4,88%.

Ja, wenn die Anleihe genau nach einem Jahr fällig ist, dann ist das die Rendite ("Yield to Maturity"), nämlich r = 107,50 / 102,50 -1.

 

Sind theoretisch 4,88 , also 0,12 weniger als 5,-

Das verstehe ich nicht. Was meinst du mit theoretisch? Die Zinszahlung der Anleihe ist 7,50, die Rückzahlung 100.

 

Natürlich muß ich hier 2,50 mehr investieren, die ich bei der Festgeldanlage extra investieren könnte.

Mit 5% verzinst komme ich genau auf die fehlenden 12 Cent.

Ähm, ja das stimmt,wenn du die Renditen zweier Anlagen über das Kapital am Ende vergleichen willst, musst du am Anfang von gleichem Kapital ausgehen. Gerade deswegen benutzt man ja die Rendite, weil die unbhängig vom Einsatz ist.

 

Aber Achtung, bisher gilt das alles nur für eine Periode (also ein Jahr hier)!

 

Liegt also nicht am Zinsezins, denn dann müßte die Rendite steigen.

Welche Rendite müsste steigen (ich nehme an du meinst nicht steigen, sonder höher sein?)? Vielleicht schreibst du noch einmal ganz konkret, was du rechnest und warum. Deine anfängliche Rechnung ist recht abwegig.

 

So wie ich meine Rechnung verstehe, müßte ich 20 000,- zu 5,19% anlegen (ich gehe hier immer davon aus, dass die Zinsen nicht wieder angelegt werden) um nach 22 Jahren effektiv die gleiche Summe wie bei Investition in die Wertpapiere zu haben.

Liege ich hier wenigstens richtig ?

Also aus 20.000 werden in 22 Jahren bei 5,19% bei jährlicher Zinausschüttung und ohne Wiederanlage, genau 20.000 (1+ 0,0519*22) = 42.836. Das wäre also mit einfacher Zinsrechnung gerechnet, Kn = K0 * (1 + n * i).

 

Das wäre insgesamt ein Zuwachs um 22 * 0,0519 = 1,1418 = 114,18%. (Das entspricht einer Rendite pro Jahr von r = (42.836/20.000)^(1/22) -1 = 0,0352 = 3,52%, aber das wird dich nicht interessieren, denn eine solche Rendite wird eben üblicherweise unter der Annahme des Zinseszinses berechnet.)

 

Jetzt zu der Anleihe, die du vergelichst (WKN 113514):

Anleihe zu 122,86 für 20 000,- ergibt mit Gebühren 24 663,90.

Zinssatz zu 6,25% sind 1250,- Zinsen jährlich.

Restlaufzeit 22 Jahre bis 4.1.30.

Da hast du in 22 Jahren also 20.000 + 1250*22 = 47.500. Das ist also ein Zuwachs von 47.500/24.663,90 - 1 = 92,59%. (Das entspricht einer Rendite pro Jahr von r = (47.500/24.663,90)^(1/22) -1 = 3,02%. Dies wird dich nicht interessieren, denn die Rendite geht davon aus, dass dein Endbetrag durch Zinseszins zusatnde gekommen wäre. Und dies ist nicht die Rendite der Anleihe, wie sie üblicherweise veröffentlicht wird!! Die wäre nämlich bei dem gegebenen Preis von 122,86, bei einer Restlaufzeit von genau 22 Jahren - also wenn heute der 1.4.2008 wäre - genau 4,20%. Gestern hat die übrigens 123,64 gekostet und damit zu 4,52% rentiert - bei weniger als 22 Jahren Restlaufzeit.)

 

Eine theoretische Festgeldanlage mit 5,19% p.a. wäre nicht schlecht.

Wie soll ich das verstehen? In der Praxis wären 5,19% eine gute Rendite derzeit, aber natürlich nur, wenn sie so gerechnet ist wie die Renditen, mit denen du sie vergleichst, z.B. 4,5% für ne 22jährige Bundesanleihe.

Diesen Beitrag teilen


Link zum Beitrag
Raccoon
· bearbeitet von Raccon
So wie ich meine Rechnung verstehe, müßte ich 20 000,- zu 5,19% anlegen (ich gehe hier immer davon aus, dass die Zinsen nicht wieder angelegt werden) um nach 22 Jahren effektiv die gleiche Summe wie bei Investition in die Wertpapiere zu haben.

 

Liege ich hier wenigstens richtig ?

Eine theoretische Festgeldanlage mit 5,19% p.a. wäre nicht schlecht.

Das ist richtig fuer eine Festgeldanlage mit jaehrlicher Auszahlung, ohne Wideranlage und wenn man die Steuern ausser acht laesst. Bedenke, dass bei der genannten Anleihe der Zins hoeher ist und du nachher einen (nicht anrechenbaren) Kursverlust hast, somit ist deine Nachsteuerrendite geringer als bei der theoretischen Festgeldanlage.

 

Mit dem Abgeltungssteuersatz (26,375%) berechnet entspraeche es einer Festgeldanlage zu 4,84%

Diesen Beitrag teilen


Link zum Beitrag
ghostkeeper

Es geht mir nicht um den Vergleich zweier Anleihen.

Das Ganze kommt daher, dass ich meiner Frau erklären wollte wie ich mit 4612,- Miesen bei Rückzahlung der Anleihe trotzdem einen guten Schnitt mache.

Da ich über kurz oder lang mit einer Leitzinssenkung rechne, habe ich die Anleihe (4,55%) gekauft.

 

Da meiner Frau Börse usw. so symphatisch sind wie riesige Mückenschwärme steht sie auf Festgeld.

Knackpunkt sind die 20 000,- , die 2030 (hoffentlich) wieder jungfräulich auf mein Konto gehen.

Also habe ich Ihr vorgerechnet, was die Anleihe jährlich an Zinsen abwirft, besagte 1250,- .

Von diesen muß ich theoretisch 210,- zurücklegen, um die 4612,- , die bei Rückzahlung der Anleihe entstehende Differenz zum Kaufpreis auszugleichen.

Mein eingesetztes Kapital ist also +-0.

Von den Zinszahlungen habe ich jährlich 1040,- zur freien Verwendung. Hier ist mir aufgefallen, dass ich bei Festgeld die 20 000,- Bezugskapital mit über 5% anlegen musste, um auf diese jährliche Summe zu kommen.

 

Konkret auf die reine Geldsumme gerechnet, die in 22 Jahren erwirtschaftet wird, hätte ich eben ein Festgeld mit 5,19% anlegen müssen.

 

Daher meine Irritation wegen der Rendite.

Jetzt weiß ich natürlich, dass die 4612,- die die Anleihe mehr kostet, wie die Festgeldanlage die fehlende Differenz zwischen den 4,55% der Anleihe und den 5,19% der Festgeldanlage erwirtschaftet hätte.

 

@raccon

Ich bin rein ohne irgendwelche steuerlichen Gesichtspunkte rangegangen.

Du hast natürlich recht, dass die hohen Zinsen der Anleihe eine höhere Steuerlast als die der theoretischen Festgeldanlage verursachen.

 

@delphin

 

107,50 auf dem Konto minus 2,50 Kursverlust.

 

Die Rendite der Anlage ist 4,88%, also niedriger als die Festgeldanlage - obwohl die erwirtschaftete Summe gleich ist.

Die Rendite von 4,88% entspräche einer Zinszahlung von 4,88 - 12 Cent weniger als das Festgeld.

Die 2,50 der Anleihe über Wert zu 5% angelegt erwirtschaftet genau 12 Cent - diese entsprechen genau den fehlenden 0,12% Rendite der Anleihe um auf 5% zu kommen und somit mit dem Festgeld gleichzuziehen.

Was ja irgendwie sein muß, da die erwirtschaftete Geldsumme gleich ist.

 

Ich hoffe, ich habe Dich jetzt nicht völlig verwirrt.

 

Da hast du in 22 Jahren also 20.000 + 1250*22 = 47.500. Das ist also ein Zuwachs von 47.500/24.663,90 - 1 = 92,59%. (Das entspricht einer Rendite pro Jahr von r = (47.500/24.663,90)^(1/22) -1 = 3,02%. Dies wird dich nicht interessieren, denn die Rendite geht davon aus, dass dein Endbetrag durch Zinseszins zusatnde gekommen wäre. Und dies ist nicht die Rendite der Anleihe, wie sie üblicherweise veröffentlicht wird!! Die wäre nämlich bei dem gegebenen Preis von 122,86, bei einer Restlaufzeit von genau 22 Jahren - also wenn heute der 1.4.2008 wäre - genau 4,20%. Gestern hat die übrigens 123,64 gekostet und damit zu 4,52% rentiert - bei weniger als 22 Jahren Restlaufzeit.)

 

Fast ein Euro gespart ! :thumbsup:

 

Also hier steige ich nicht mehr durch. Die Renditeberechnung in Excel arbeitet definitiv nicht mit Zinseszins.

 

Für mich ist ausschlaggebend, dass am Ende 20 000,- da sind und ich jedes Jahr 1000,- verjuxen kann. :rolleyes:

Dazu hätte ich bei Festgeld 20 000,- (die hier auch am Ende da sind) zu 5% anlegen müssen.

 

Sch.... Finanzmathematik :'(

 

cu

Diesen Beitrag teilen


Link zum Beitrag
Delphin
Das Ganze kommt daher, dass ich meiner Frau erklären wollte wie ich mit 4612,- Miesen bei Rückzahlung der Anleihe trotzdem einen guten Schnitt mache.

Da ich über kurz oder lang mit einer Leitzinssenkung rechne, habe ich die Anleihe (4,55%) gekauft.

Ok, verstehe! (Hoffen wir für dich, dass die Leitzinssenkung auch die Renditen für Langläufer sinken lässt! :thumbsup: )

 

Da meiner Frau Börse usw. so symphatisch sind wie riesige Mückenschwärme steht sie auf Festgeld.

Gut, das kenne ich aus eigener Efahrung! ;)

 

Knackpunkt sind die 20 000,- , die 2030 (hoffentlich) wieder jungfräulich auf mein Konto gehen.

Also habe ich Ihr vorgerechnet, was die Anleihe jährlich an Zinsen abwirft, besagte 1250,- .

Von diesen muß ich theoretisch 210,- zurücklegen, um die 4612,- , die bei Rückzahlung der Anleihe entstehende Differenz zum Kaufpreis auszugleichen.

Mein eingesetztes Kapital ist also +-0.

Ok, sehe ich ein. Übrigens ist die Zinszahlung auf den Kaufpreis bezogen 1250/24612 = 0,0508 = 5,08%. Das nennt man manchmal auch "current yield". Die ist besonders wichtig, wenn man an der Höhe der Zinszahlung interessiert ist. Und klar, die Rendite der Anleihe insegsamt liegt eben darunter, weil man ja am Ende noch einen Kursverlust hat. Eigentlich musst du eben die 210,- zur Seite legen, und bekommst also sozusagen nur 1040/24612 = 4,23% jährlich zur freien Verfügung.

 

Von den Zinszahlungen habe ich jährlich 1040,- zur freien Verwendung. Hier ist mir aufgefallen, dass ich bei Festgeld die 20 000,- Bezugskapital mit über 5% anlegen musste, um auf diese jährliche Summe zu kommen.

Verstehe. :thumbsup: Ein Unterschied zu der Festgeldvariante bleibt allerdings, dass du dir bei der Anleihe ja noch einen zinslosen Kredit von 4612 genehmigst, den du erst im Laufe der Jahre zurückzahlst. D.h. die Festgeld-Variante ist eigentlich günstiger.

 

@delphin

107,50 auf dem Konto minus 2,50 Kursverlust.

Das verstehe ich nicht. Denn 107,50 enthalten ja schon den Kursverlust, sind ja 100+7,50 nicht 102,50+7,50. Na ja, aber wir kommen ja auf dieselbe Rendite.

 

Die Rendite der Anlage ist 4,88%, also niedriger als die Festgeldanlage - obwohl die erwirtschaftete Summe gleich ist.

Die Rendite von 4,88% entspräche einer Zinszahlung von 4,88 - 12 Cent weniger als das Festgeld.

Die 2,50 der Anleihe über Wert zu 5% angelegt erwirtschaftet genau 12 Cent - diese entsprechen genau den fehlenden 0,12% Rendite der Anleihe um auf 5% zu kommen und somit mit dem Festgeld gleichzuziehen.

Was ja irgendwie sein muß, da die erwirtschaftete Geldsumme gleich ist.

Ja genau. Der Vergleich passt eben nur, wenn auch im Falle des Festgeldes auch 102,50 angelegt werden und nicht weniger. 102,50 * 4,88% = 5.

 

Ich hoffe, ich habe Dich jetzt nicht völlig verwirrt.

Geht noch. :) Ist nur ein bisschen ungewohnt, dass du so konsequent mit einfacher Zinsrechnung arbeitest. Denn wenn du z.B. bei der Anleihe jährlich 210,- zurücklegst um den späteren Kursverlust auszugelichen, dann ist es ja doch sehr unrealistisch, dass du diese Raten nicht wenigstens auf ein Tagesgeldkonto legst. Wenn das mit 3% verzinst wäre, bräuchtest du nur 147,- jährlich zurückzulegen, das macht ja einen Unterschied. ;)

 

Also hier steige ich nicht mehr durch. Die Renditeberechnung in Excel arbeitet definitiv nicht mit Zinseszins.

Welche? Deine eigene? Jede

 

Für mich ist ausschlaggebend, dass am Ende 20 000,- da sind und ich jedes Jahr 1000,- verjuxen kann. :rolleyes:

Dazu hätte ich bei Festgeld 20 000,- (die hier auch am Ende da sind) zu 5% anlegen müssen.

Klar. Aber wie gesagt, der Vergleich hinkt, denn im Falle der Anleihe legst du eben erheblich mehr als 20.000 an. Würdest du auch beim Festgeld bereit sein 24.612 zu investieren, würden schon 4,06% Zins ausreichen, um jedes Jahr 1000,- zur Verfügung zu haben. ;)

Diesen Beitrag teilen


Link zum Beitrag
Bandito

wie wärs mit einem financial calculator?kann man nur jedem empfehlen

Diesen Beitrag teilen


Link zum Beitrag
ghostkeeper

Na dann noch ein schönes Wochenende !!!

 

cu

Diesen Beitrag teilen


Link zum Beitrag
cebu
· bearbeitet von cebu

''Da meiner Frau Börse usw. so symphatisch sind wie riesige Mückenschwärme steht sie auf Festgeld.

Knackpunkt sind die 20 000,- , die 2030 (hoffentlich) wieder jungfräulich auf mein Konto gehen.

Also habe ich Ihr vorgerechnet, was die Anleihe jährlich an Zinsen abwirft, besagte 1250,- .

Von diesen muß ich theoretisch 210,- zurücklegen, um die 4612,- , die bei Rückzahlung der Anleihe entstehende Differenz zum Kaufpreis auszugleichen.

Mein eingesetztes Kapital ist also +-0.

Von den Zinszahlungen habe ich jährlich 1040,- zur freien Verwendung. Hier ist mir aufgefallen, dass ich bei Festgeld die 20 000,- Bezugskapital mit über 5% anlegen musste, um auf diese jährliche Summe zu kommen.''

 

 

Ja dann erzähl das Deiner Frau doch erst gar nicht. Oder habt Ihr etwa gemeinsame Konten??

Diesen Beitrag teilen


Link zum Beitrag
Günter Paul

Hallo zusammen,

wie die Zeiten sich ändern,...nach gerade mal drei Monaten ist die Rendite der diskutierten Anleihe von 4,55% auf 4,94 % gestiegen und der Kurs fällt wahrscheinlich weiter...

und da nun mal niemand "Hellsehen" kann,sind m.E.gerade in Niedrigzinsphasen Diversifizierung und Zeitabstufung im

kurzen Bereich zu empfehlen..

ich erlebe immer wieder durch Rückflüsse dass so etwas von Vorteil ist....

 

Gruß

Günter Paul

Diesen Beitrag teilen


Link zum Beitrag
Anthony

Ich stelle mal meine Frage hier mit rein, da es um dasselbe geht:

 

Ich versuche gerade mit Excel den Zinssatz mit dem internen Zinsfuß zu berechnen. Excel bietet schon die Funktionen IRR (internen Zinsfuß) bzw. MIRR (modifizierten Zinsfuß) an. Leider kann man damit die Rendite nur auf Jahresbasis berechnen, also z.B.

 

Jahr 0: -1000

Jahr 1: 200

Jahr 2: 200

Jahr 3: 1200

 

Das ist natürlich für die Renditeberechnung meist viel zu ungenau, vor allem für Anleihen, die man unterjährig kauft.

 

Wie der interne bzw. der modifizierte interne Zinsfuß funktionieren, ist mir klar und auch, dass man die Rechnung ab 4 Zahlungen nur noch per numerischer Iteration lösen kann. Trotzdem muss es doch möglich sein, in Excel den internen Zinsfuß für solch eine Investition taggenau zu berechnen. Alles was ich bisher gefunden habe, ging von periodischen Monats- oder Jahreszahlungen aus. Vielleicht kann mir einer auf die Sprünge helfen, wie ich die Rendite taggenau berechnen kann.

Diesen Beitrag teilen


Link zum Beitrag
Raccoon
· bearbeitet von Raccoon

Ich stelle mal meine Frage hier mit rein, da es um dasselbe geht:

 

Ich versuche gerade mit Excel den Zinssatz mit dem internen Zinsfuß zu berechnen. Excel bietet schon die Funktionen IRR (internen Zinsfuß) bzw. MIRR (modifizierten Zinsfuß) an. Leider kann man damit die Rendite nur auf Jahresbasis berechnen, also z.B.

 

Jahr 0: -1000

Jahr 1: 200

Jahr 2: 200

Jahr 3: 1200

 

Das ist natürlich für die Renditeberechnung meist viel zu ungenau, vor allem für Anleihen, die man unterjährig kauft.

 

Wie der interne bzw. der modifizierte interne Zinsfuß funktionieren, ist mir klar und auch, dass man die Rechnung ab 4 Zahlungen nur noch per numerischer Iteration lösen kann. Trotzdem muss es doch möglich sein, in Excel den internen Zinsfuß für solch eine Investition taggenau zu berechnen. Alles was ich bisher gefunden habe, ging von periodischen Monats- oder Jahreszahlungen aus. Vielleicht kann mir einer auf die Sprünge helfen, wie ich die Rendite taggenau berechnen kann.

XINTZINSFUSS() bzw. XIRR() in Englisch

Diesen Beitrag teilen


Link zum Beitrag
Anthony

XINTZINSFUSS() bzw. XIRR() in Englisch

 

Danke, manchmal kann die Lösung so einfach sein. Weißt du, ob es für den modifzierten Zinsfuß auch eine Funktion gibt, womit ich das tagesgenau ausrechnen kann?

Deshalb mach ich mir nämlich die Mühe eine Exceltabelle zu schreiben, anstatt einfach irgendeinen Internet-Rechner zu benutzen., damit ich die Rendite anhand des modifzierten Zinsfußes berechnen kann.

Diesen Beitrag teilen


Link zum Beitrag
Anthony

XINTZINSFUSS() bzw. XIRR() in Englisch

 

Danke, manchmal kann die Lösung so einfach sein. Weißt du, ob es für den modifzierten Zinsfuß auch eine Funktion gibt, womit ich das tagesgenau ausrechnen kann?

Deshalb mach ich mir nämlich die Mühe eine Exceltabelle zu schreiben, anstatt einfach irgendeinen Internet-Rechner zu benutzen., damit ich die Rendite anhand des modifzierten Zinsfußes berechnen kann.

 

Da hab ich die Antwort schon selbst gefunden. Für den modifizierten internen Zinsfuß gibt es von Excel keine internen Funktion dafür, jedoch gibt es spezielle Addins, die diese Funktion nachrüsten. Dieses Programm hier kann das zum Beispiel.

Diesen Beitrag teilen


Link zum Beitrag
cebu

Warum solch eine komplizierte Rechnerei?

Gerade den Zinseszins kann man überhaupt nicht mit einrechnen bei Anleihen weil man ja gar nicht weiss, wo man die Zinsen reinvestiert. Die landen ja meist auf nem Geldmarktkonto mit 1,5...% Rendite oder mit bisschen Glück vielleicht in ner Option mit 100% Profit. Wer kauft bei meinetwegen nominalen 10.000,- für 450 Zinsen die Anleihe nach bei einer in den meisten Fällen Stückelung von 1.000? Ist doch alles Unfug. Kann man vielleicht beim Studium punkten, in der Realität doch völlig unwichtig.

Spielkram solch eine Rechnerei mit dem Zinseszins.

 

Wer überhauptnichts investiert und alles auf dem Sparkonto lässt, der könnte auch realistisch den Zinseszins mit einrechnen. Nur der normale Zins variiert ja nun mal auch.

Gruss cebu

Diesen Beitrag teilen


Link zum Beitrag

Erstelle ein Benutzerkonto oder melde dich an, um zu kommentieren

Du musst ein Benutzerkonto haben, um einen Kommentar verfassen zu können

Benutzerkonto erstellen

Neues Benutzerkonto für unsere Community erstellen. Es ist einfach!

Neues Benutzerkonto erstellen

Anmelden

Du hast bereits ein Benutzerkonto? Melde dich hier an.

Jetzt anmelden

×
×
  • Neu erstellen...