Melde dich an, um diesem Inhalt zu folgen
Folgen diesem Inhalt
0
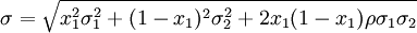
Portfoliotheorie, Gesamtvolatilität berechnen
Von
meriapo, in Allgemeines Börsenwissen
- Portfolio
- Volatilität
- Berechnung
