Zum Inhalt springen
mattzell

Ist Rürup das Beste wo gibt?

Empfohlene Beiträge

MrSteelhammer
vor 10 Minuten von chirlu:

 

Von jeder 100-Euro-Einzahlung verschwinden in den ersten fünf Jahren direkt 20,50 Euro, danach immerhin noch 4 Euro. Und zusätzlich jedes Jahr bis zu 3% des jeweils vorhandenen Kapitals.

ich muss zugeben, ich versteh das ganze nicht...wie sie auf die 1,25% Effektivitätskosten kommen...ich kann hin und herrechnen. Bei den Verwaltungskosten zum Beispiel....2,5% auf Zuzahlungen und 4% auf Beiträge und wenn dann noch 2,5% der Beiträge durch Vertriebskosten draufgehen...wie kommt man da auf effektiv 1,25%? :dumb:

Diesen Beitrag teilen


Link zum Beitrag
MrSteelhammer
· bearbeitet von MrSteelhammer

Also sind die Kosten insgesamt zu hoch? Gibt es da noch Alternativen?

Diesen Beitrag teilen


Link zum Beitrag
stagflation
vor 56 Minuten von MrSteelhammer:

Gibt es da noch Alternativen?

 

Selbstverständlich! Eine Alternative wäre: das Geld mittels eines ETF-Sparplans selbst anlegen. Dann entstehen keine Kosten durch eine Versicherung!

Diesen Beitrag teilen


Link zum Beitrag
stagflation
· bearbeitet von stagflation
vor 4 Stunden von MrSteelhammer:

33 Jahre Laufzeit, 100 € zu 100% in MSCI World und folgenden Kosten:

 

image.png.9d19bb96fd9c1f9544c18ff7abc1c719.png

 

Ich habe das nachgerechnet - weil ich verstehen wollte, was die Versicherung mit "Effektivkosten von 1,25 Prozentpunkte" meint.

 

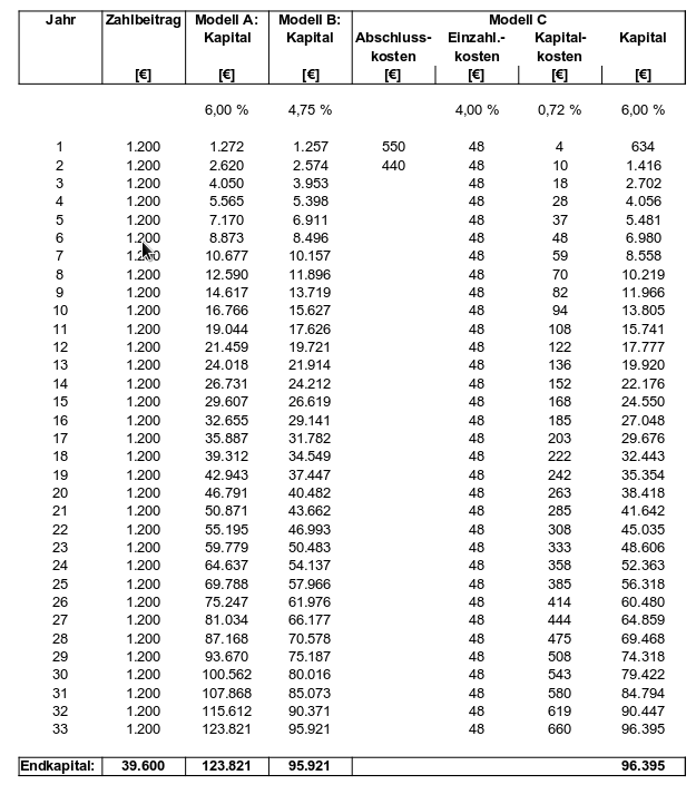
LV-Kapitalberechnung-1.png.ca25ed1351b5d149d124335a28c44f70.png

 

Die Tabelle enthält 3 Modelle. Bei jedem Modell zahlt man 33 Jahre lang jeden Monat 100 € ein.

  1. Modell A: Das Geld wird in einem ETF angelegt, dessen Wert sich jährlich um 6% erhöht. Es gibt keine Kosten. Man zahlt 39.600 € ein und bekommt am Ende 123.821 €.
  2. Modell B: Das Geld wird in einem ETF angelegt, dessen Wert sich jährlich um 4,75% erhöht. Es gibt keine Kosten. Man zahlt 39.600 € ein und bekommt am Ende 95.921 €.
  3. Modell C ist der Versicherungsvertrag, wobei die Beiträge von der Versicherung nach Abzug der Kosten in einem ETF angelegt werden, dessen Wert sich jedes Jahr um 6% erhöht. Ich habe mit der "aktuellen Kostenbelastung" von 0,72% p.a. gerechnet. Man zahlt 39.600 € ein und bekommt am Ende 96.395 €, also ähnlich viel wie in Modell B.

Man sieht:

  1. Die Versicherung kostet insgesamt (123.821 € - 96.395 € ) = 27.426 €. Das sind 22% des End-Kapitals, das ohne Kosten zu erwarten wäre.
  2. Das Kapital vermehrt sich bei Modell C wie bei Modell B, einem ETF mit jährlichem Wertzuwachs von 4.75%. Das also ist das, was die Versicherung mit "Effektivkosten von 1,25 Prozentpunkten" meint. Das Kapital vermehrt sich also nicht mit den in Modell C angenommenen 6% p.a., sondern nur mit 4,75% p.a.

 

Die Versicherung verwendet hier eine interessante Definition von Effektivkosten! Habe ich noch nie so gesehen! Ich würde es besser finden, wenn die Versicherung einfach klipp und klar sagen würde, dass sie für ihre Dienste einen Anteil von 22% des Endkapitals abhaben möchte.

Diesen Beitrag teilen


Link zum Beitrag
kirnau
vor 18 Stunden von Studi24:

In der Darstellung fehlen natürlich noch mehrere nennenswerte Anbieter, bspw. die "myLife" selbst, die normalerweise ein ganzes Stück

preiswerter ist als "fairrürup". Dann muss man natürlich noch die Bedingungswerke etc. vergleichen, um überhaupt aussagekräftige

Ergebnisse zu bekommen. So ist es nur eine Auflistung mit vielen verschiedenen Zahlen. Die "myLife" selbst und damit auch "fairrürup" 

wären, vor allem auch durch ihre Historie, für mich ganz persönlich keine Option.

 

Hätte hierzu zwei Fragen:

 

1. Hast du hier einen groben Wert, um wie viel die myLife preiswerter ist als fairrürup? Und wo kann man die myLife abschließen, habe hier nichts dazu gefunden..

2. Welche Historie haben myLife und fairrürup? 

 

Danke dir! :)

Diesen Beitrag teilen


Link zum Beitrag
chirlu
vor einer Stunde von kirnau:

wo kann man die myLife abschließen, habe hier nichts dazu gefunden..

 

Wie alle Nettotarife bei einem Versicherungsmakler gegen Honorar.

 

vor einer Stunde von kirnau:

Welche Historie haben myLife und fairrürup?

 

Wie könnte man so etwas wohl herausfinden?

https://de.wikipedia.org/wiki/MyLife_Lebensversicherung#Geschichte

Diesen Beitrag teilen


Link zum Beitrag
chirlu
vor 5 Stunden von stagflation:

Die Versicherung verwendet hier eine interessante Definition von Effektivkosten! Habe ich noch nie so gesehen!

 

Das ist die gesetzlich vorgegebene Methode („reduction in yield“), die dementsprechend alle Anbieter benutzen.

 

vor 5 Stunden von stagflation:

Ich würde es besser finden, wenn die Versicherung einfach klipp und klar sagen würde, dass sie für ihre Dienste einen Anteil von 22% des Endkapitals abhaben möchte.

 

Das wäre aber nicht dasselbe. Die Effektivkosten haben den Vorteil, weitgehend unabhängig von der tatsächlichen Verzinsung zu sein. Bei deiner Methode kämen hingegen unterschiedliche Anteile heraus, wenn man statt von 6% p.a. beispielsweise von 3% oder 9% ausgeht. Außerdem ist –22% auf 33 Jahre nur –0,75% p.a., sähe also besser aus als –1,25% p.a. :-)

Diesen Beitrag teilen


Link zum Beitrag
Studi24
· bearbeitet von Studi24
vor 10 Stunden von MrSteelhammer:

wie kommt man da auf effektiv 1,25%

Wie @chirlu schon geschrieben hat, "reduction in yield". Darin sind übrigens auch die ETF- / Fondsgebühren von, in

deinem Fall, ca. 0,20% enthalten.

 

vor 9 Stunden von MrSteelhammer:

Also sind die Kosten insgesamt zu hoch? Gibt es da noch Alternativen?

Ja, 1,25 % "Effektivkosten" sind für einen Vertrag ohne Garantie und mit einem reinen ETF-Investment, aus meiner Sicht,

zu teuer. Es gibt vergleichbare, deutlich günstigere, Angebote. Beispielsweise dein vorliegender Tarif, 1 : 1 als Nettotarif

(oder auch Honorartarif) genannt, siehe Auflistung auf der vorherigen Seite. Damit würden sich die Effektivkosten fast

halberen, bei identischer ETF-Auswahl.

 

vor 3 Stunden von kirnau:

1. Hast du hier einen groben Wert, um wie viel die myLife preiswerter ist als fairrürup? Und wo kann man die myLife abschließen, habe hier nichts dazu gefunden..

Die myLife selbst bekommt man über bspw. einen Versicherungsmakler, der auch Vermittlung gegen Vermittlungsentgelt

("Honorar") anbietet, genau wie die anderen Nettotarife (von der vorherigen Seite) auch. Kann man nicht pauschalisieren,

muss man immer individuell kalkulieren lassen. Auch die Bedingungswerke sind nicht identisch.

 

vor 3 Stunden von kirnau:

2. Welche Historie haben myLife und fairrürup?

Zur myLife siehe Beitrag von @chirlu. Fairr hat ja kaum eine Historie und nutzt die myLife ja "nur" als Verrentungspartner,

möchte aber natürlich auch noch mitverdienen. 

 

vor 7 Stunden von stagflation:

Die Versicherung verwendet hier eine interessante Definition von Effektivkosten! Habe ich noch nie so gesehen!

Die gesetzlich vorgegebene Methode vom gesetzlich vorgegebenen Produktinformationsblatt (in diesem Fall aus einem

konkreten Angebot, nicht das Muster-Produktinformationsblatt).

 

Gruß

Studi24

Diesen Beitrag teilen


Link zum Beitrag
Studi24
vor 11 Stunden von MrSteelhammer:

damit hat sich der Versicherer ein Hintertürchen gelassen um bei Bedarf zu erhöhren.

Man nehme den teuersten Fonds, den die Condor zur Auswahl hat und schon ist die Pauschale fast ausgeschöpft und

die Effektivkosten sind natürlich auch explodiert.

 

Gruß

Studi24

Diesen Beitrag teilen


Link zum Beitrag
MrSteelhammer
· bearbeitet von MrSteelhammer
vor 8 Stunden von stagflation:

 

  1. Modell C ist der Versicherungsvertrag, wobei die Beiträge von der Versicherung nach Abzug der Kosten in einem ETF angelegt werden, dessen Wert sich jedes Jahr um 6% erhöht. Ich habe mit der "aktuellen Kostenbelastung" von 0,72% p.a. gerechnet. Man zahlt 39.600 € ein und bekommt am Ende 96.395 €, also ähnlich viel wie in Modell B.

Die Versicherung verwendet hier eine interessante Definition von Effektivkosten! Habe ich noch nie so gesehen! Ich würde es besser finden, wenn die Versicherung einfach klipp und klar sagen würde, dass sie für ihre Dienste einen Anteil von 22% des Endkapitals abhaben möchte.

@stagflation: Danke. Wie bist du auf die aktuelle Kostenbelastung von 0,72% gekommen?

Diese Ehrlichkeit würde viele sofort abschrecken :D

 

Diesen Beitrag teilen


Link zum Beitrag
chirlu
vor 9 Minuten von MrSteelhammer:

Wie bist du auf die aktuelle Kostenbelastung von 0,72% gekommen?

 

Wenn ich mal raten darf: Die 0,06% pro Monat aus dem PIB genommen und mit 12 (= Anzahl der Monate in einem Jahr) malgenommen.

Diesen Beitrag teilen


Link zum Beitrag
MrSteelhammer
vor 17 Minuten von chirlu:

 

Wenn ich mal raten darf: Die 0,06% pro Monat aus dem PIB genommen und mit 12 (= Anzahl der Monate in einem Jahr) malgenommen.

ok, macht Sinn :dumb:

Diesen Beitrag teilen


Link zum Beitrag
stagflation
· bearbeitet von stagflation
vor 10 Stunden von chirlu:

Das ist die gesetzlich vorgegebene Methode („reduction in yield“), die dementsprechend alle Anbieter benutzen.

 

vor 8 Stunden von Studi24:

Die gesetzlich vorgegebene Methode vom gesetzlich vorgegebenen Produktinformationsblatt (in diesem Fall aus einem

konkreten Angebot, nicht das Muster-Produktinformationsblatt).

 

Ihr habt Recht. Das ist seit ein paar Jahren wohl tatsächlich eine Pflichtangabe: [1], [2].

 

Schauen wir, welche Bedeutung dieser Wert für Anleger hat:

  • Modell C: konkreter Vertrag, wie oben beschrieben
  • Modell D: wie Modell C, aber Wert des ETFs wächst nur 3% p.a.
  • Modell E: wie Modell C, aber Wert des ETFs wächst 12% p.a.
  • Modell F: wie Modell C, aber Wert des ETFs wächst die ersten 16 Jahre und 9% und dann nur noch 3,33%
  • Modell G: wie Modell C, aber Kunde kündigt Vertrag nach 7 Jahren

Es ergeben sich folgende Effektivkosten:

  • Modell C: 1,25 Prozentpunkte
  • Modell D: 1,2 Prozentpunkte
  • Modell E: 1,4 Prozentpunkte
  • Modell F: 1,4 Prozentpunkte
  • Modell G: 5,5 Prozentpunkte

Zumindest bei den langen Laufzeiten von 33 Jahren ändern sich die "Effektivkosten" nur wenig mit der angenommenen Wertsteigerung des ETFs. Erstaunlich! Ich hätte hier eine größere Abhängigkeit erwartet.

 

Allerdings kündigen die meisten Kunden ihre Verträge vorzeitig. In Modell G sieht man, dass das zu erheblich höheren "Effektivkosten" führt.

 

Alles in allem würde ich - um ein Angebot zu verstehen oder um verschiedene Angebote zu vergleichen - die "Effektivkosten" trotzdem links liegen lassen und mit einer Tabellenkalkulation (z.B. LibreOffice Calc) die Angebote nachrechnen. Nur so sieht man, was wirklich passiert und wann welche Kosten entstehen. Wer käme schon auf die Idee, dass "Effektivkosten von 1,25 Prozentpunkten" bedeutet, dass das Endkapital um ein Fünftel verringert wird?

 

Diesen Beitrag teilen


Link zum Beitrag
stagflation
vor 8 Stunden von Studi24:

Wie @chirlu schon geschrieben hat, "reduction in yield". Darin sind übrigens auch die ETF- / Fondsgebühren von, in

deinem Fall, ca. 0,20% enthalten.

 

Soweit ich aus den wenigen zur Verfügung stehenden Daten sehe, tauchen die ETF- / Fondsgebühren in der Rechnung gar nicht auf. Sie sind deshalb auch NICHT in den genannten Effektivkosten enthalten.

 

Die vollständige Rechnung würde so aussehen:

  1. der zugrunde liegende Index "MSCI World" wächst um jährlich 6.2%
  2. der Wert des MSCI World ETFs wächst jährlich um 6%
  3. das Kapital in der Versicherung wächst jährlich um 4,75%

Verglichen werden dann 2 und 3, was zu den 1,25 Prozentpunkten führt. Wenn man 1 und 3 vergleichen würde, käme man wohl auf 1,45 Prozentpunkte.

 

Ich halte das übrigens nicht für schlimm, zumal die jährlichen Kosten bei ETFs gering sind und die TD sowieso wichtiger ist, als die TER. Aber der Vollständigkeit halber...

Diesen Beitrag teilen


Link zum Beitrag
chirlu
vor 9 Minuten von stagflation:

Soweit ich aus den wenigen zur Verfügung stehenden Daten sehe, tauchen die ETF- / Fondsgebühren in der Rechnung gar nicht auf. Sie sind deshalb auch NICHT in den genannten Effektivkosten enthalten.

 

Doch, die müssen eigentlich drin sein. Hier wohl in den 0,06% p.m., von denen also nicht alles an den Versicherer geht.

Diesen Beitrag teilen


Link zum Beitrag
Studi24
· bearbeitet von Studi24
vor 19 Stunden von stagflation:

Sie sind deshalb auch NICHT in den genannten Effektivkosten enthalten.

Doch sind sie, deshalb schrieb ich auf Seite 1 auch, dass die genannte beispielhafte Auflistung der verschiedenen Effektivkostenquoten (ohne Gewähr),

mit dem folgenden ETF (WKN: A0RPWH) kalkuliert sind, der eben laufende Kosten von ca. 0,20 % aufweist und die bereits in den Effektivkostenquoten

(ohne Gewähr) berücksichtigt sind.

Die ETF- / Fondsgebühren sind bei dem Vertrag der Condor in dem Punkt "monatlicher Prozentsatz des Kapitals / aktuelle Kostenbelastung " enthalten.

Das diskutierte Angebot scheint ja ebenfalls mit dem ETF (WKN: A0RPWH) kalkuliert worden zu sein, nur eben als normaler Bruttotarif mit voller Abschluss-

courtage, den Tarif gibt es ja auch noch mit vielen anderen Vergütungsmodellen oder auch als Nettotarif (siehe Seite 1).

 

Annähernd vergleichbare Rechnung (ohne Gewähr) mit den genannten Daten des diskutierten Angebots: Effektivkosten 1,24 Prozentpunkte und "monatlicher

Prozentsatz des Kapitals / aktuelle Kostenbelastung" 0,06 % monatlich

Nun nimmt man aber ausschließlich den ARERO (WKN: DWS0R4) für die Fondsanlage, Effektivkosen 1,53 Prozentpunkte und "monatlicher Prozentsatz des

Kapitals / aktuelle Kostenbelastung" 0,09 % monatlich 

Daher verzerren die Muster-Produktinformationsblätter ja auch so die Marktlage, da ein Anbieter, der neben den ganzen ETF auch noch ein sehr teures

aktives Portfolio bspw. zur Verfügung stellt, bei dem reinen Vergleich der Muster-Produktinformationsblatter (auf den Websites der Anbieter) immer verloren

hat.

 

Gruß

Studi24

Diesen Beitrag teilen


Link zum Beitrag
MrSteelhammer
· bearbeitet von MrSteelhammer
vor 10 Stunden von Studi24:

Das diskutierte Angebot scheint ja ebenfalls mit dem ETF (WKN: A0RPWH) kalkuliert worden zu sein, nur eben als normaler Bruttotarif mit voller Abschluss-

courtage, den Tarif gibt es ja auch noch mit vielen anderen Vergütungsmodellen oder auch als Nettotarif (siehe Seite 1).

Kann ich bestätigen, dass Angebot wurde mit diesem ETF kalkuliert.

Diesen Beitrag teilen


Link zum Beitrag
stagflation

@Studi24: hat auf Seite 1 die Effektivkosten für ein paar Netto-Policen herausgesucht - und hier sind die Effektivkosten deutlich niedriger, als in dem Angebot von @MrSteelhammer. Vielen Dank für die Zahlen!

 

Wenn ich es richtig verstehe, bekommt man eine Netto-Police nur, wenn man das Produkt über einen Vermittler kauft und diesem Vermittler ein separates Honorar bezahlt?

 

Ich würde das gerne mal durchrechnen. Wie hoch ist das Honorar, dass ich einem Vermittler in dem konkreten Fall (MrSteelhammers Angebot) zahlen würde? Ist es ungefähr so hoch wie die Abschluss- und Vertriebskosten in  MrSteelhammers Angebot, also 1.000 €? Mir geht's hier nicht um einen Spezialpreis für WPF-Leser, sondern um einen mittleren Preis, den ein durchschnittlicher Kunde zahlen würde - der allerdings schon weiß, dass er eine Police mit den Randbedingungen von MrSteelhammers Angebot abschließen möchte.

 

Grund der Frage: ich möchte die unterschiedlichen Varianten (ETF-Sparplan, Brutto Police, Netto-Police) vom zu erwartenden Endkapital ungefähr vergleichen. Ich werde dann eine neue Tabelle posten, in die alle bisherigen Erkenntnisse (Danke auch an die Rückmeldungen von @chirlu und @Studi24) einfließen.

Diesen Beitrag teilen


Link zum Beitrag
Cai Shen
· bearbeitet von Cai Shen
vor einer Stunde von stagflation:

Ich würde das gerne mal durchrechnen. Wie hoch ist das Honorar, dass ich einem Vermittler in dem konkreten Fall (MrSteelhammers Angebot) zahlen würde?

Vermittlerprovisionen für Honorartarife habe ich schon im Bereich von 130 bis ~500 € gesehen. Ein Vermittler, der so ziemlich alles für 150 € flat vermittelt, ist im Forum ja nicht sooo unbekannt. :-*

Persönlich habe ich da nur Erfahrungen mit der Codor, die im "Normaltarif" mit 4% doch recht happige Abschlussgebühren berechnet. Die kann man sich sparen.

2,5% einmalige Verwaltungsgebühren werden weiterhin fällig, ich komme bei meiner Versicherung gegen Einmalzahlungen allerdings nur auf gut 2%. Hat sich vermutlich geändert.

Je höher der Policenwert, desto attraktiver wird ein Festpreisangebot gegenüber prozentualer Kostenbeteiligung (logisch).

Für Versicherungen (oder Kunden) mit erhöhtem Beratungsbedarf lohnt sich so ein Modell jedoch eher nicht, weil das Honorar zunächst ja nur den Abschluss ohne weitere Serviceleistungen vergütet.

Diesen Beitrag teilen


Link zum Beitrag
stagflation

@Cai Shen: danke für die Antwort. Ich rechne dann mit 500 € Kosten für den Vermittler - wobei mir das recht wenig erscheint.

 

Als konkretes Beispiel nehme ich wieder das Angebot von @MrSteelhammer: 33 Jahre Laufzeit, monatlicher Zahlbeitrag 100 €, zugrunde liegt ein ETF auf einen Index, der einen jährlichen Wertzuwachs von 6% hat. Weiterhin folge ich der Annahme, dass die Effektivkosten alle Kosten enthalten, also außer den laufenden Verwaltungskosten auch die Abschluss- und Vertriebskosten sowie die Fondskosten. Steuern betrachte ich nicht. 

 

Ich verwende folgende Modelle:

  1. Modell M: eine Anlage, die sich wie der Index mit 6% entwickelt. Es gibt keine Kosten, daher verzinst sich das gesamte Kapital mit 6%.
  2. Modell N: eine Anlage, die ein Anleger mit einem ETF-Sparplan auf den Index erreichen kann. Von den 6% gehen ab: 0.2% TER und weitere 0.2% für weitere Kosten (Orderkosten, Depotkosten, usw.). Ich rechne also mit 5.6% p.a.
  3. Modell O: das ist das obige Brutto-Police Angebot von MrSteelhammer mit Effektivkosten von 1.25%, woraus sich eine jährliche Wertsteigerung von 4.75% ergibt.
  4. Modell P: ist ein Angebot für die Netto-Police von Seite 1 mit Effektivkosten von 0.7%, woraus sich eine jährliche Wertsteigerung von 5.3% ergibt.

Um die Modelle vergleichen zu können, müssen wir noch die 500 € Vermittler-Honorar von Modell P bei den anderen Modellen einrechnen. Ich mache das dadurch, dass die Anleger bei den Modellen M, N und O die 500 Euro auch zu Beginn der Anlagezeit zahlen. Sie zahlen die 500 € aber nicht einem Vermittler, sondern sie legen das Geld in einem ETF mit einem jährlichen Wertzuwachs von 5.6% an. Dadurch können dem Endkapital nach 33 Jahren zusätzliche 3000 € hinzugerechnet werden.

 

Versicherung-Kosten2.png.e79363d4a5fd537f7ceec701ea922b45.png

 

Damit ergibt sich folgendes Ergebnis:

  1. Wenn man sein Geld ohne irgendwelche Kosten anlegen könnte (Modell M), hätte man am Ende 127.000 € (=100%)
  2. Bei einem realen ETF-Sparplan gibt es Kosten (Modell N). Hier kommt man auf 117.000 €, also 10.000 € weniger. Man hat einen Verlust von 8%.
  3. Bei dem obigen Angebot einer Brutto-Police (Modell O) kommt man auf 99.000 €, also 27.000 € weniger. Man hat einen Verlust von 22%.
  4. Bei dem Angebot einer Netto-Police (siehe Seite 1) kommt man auf 107.000 Euro, also 20.000 € weniger. Man hat einen Verlust von 15%.

Die Netto-Police ist also besser, als die Brutto-Police. Der große Unterschied liegt aber vermutlich nicht an einem generellen Unterschied zwischen Brutto- und Netto-Policen, sondern daran, dass das konkrete Brutto-Policen-Angebot von @MrSteelhammer hohe Kosten hat (was ja auch schon @Studi24 angemerkt hat).

 

Diesen Beitrag teilen


Link zum Beitrag
mattzell
· bearbeitet von mattzell

Mal blöd gefragt, kann Rürup in irgendeiner Form einen ETF-Sparplan schlagen? Angenommen ich müsste mich entscheiden zwischen einem ETF-Sparplan, den ich 36 Jahre mit 600€ bespare, und einem Rürup-Vertrag, in den ich 36 Jahre 600€ monatlich einzahle und bei beiden zu 100% auf den MSCI World setze, kann ich mit dem besten Rürup-Vertrag am Ende mehr angespart haben als mit dem ETF-Sparplan? Hat das schon mal jemand ausgerechnet? Also inkl. Steuervorteilen, Kapitalertragssteuer, Verwaltungskosten etc. und wenn man von einem Grenzsteuersatz von konstant 42% ausgeht?

Diesen Beitrag teilen


Link zum Beitrag
chirlu
vor 5 Stunden von mattzell:

Angenommen ich müsste mich entscheiden zwischen einem ETF-Sparplan, den ich 36 Jahre mit 600€ bespare, und einem Rürup-Vertrag, in den ich 36 Jahre 600€ monatlich einzahle und bei beiden zu 100% auf den MSCI World setze, kann ich mit dem besten Rürup-Vertrag am Ende mehr angespart haben als mit dem ETF-Sparplan?

 

Für einen angemessenen Vergleich mußt du in den Rürup-Vertrag rund 1000 Euro monatlich einzahlen, was den 600 Euro nach Steuern des ETF-Sparplans entspricht.

 

vor 5 Stunden von mattzell:

wenn man von einem Grenzsteuersatz von konstant 42% ausgeht?

 

Weiterhin konstant 42% im Alter, d.h. in der Rentenphase?

Diesen Beitrag teilen


Link zum Beitrag
mattzell

Im Ernst, 400€ Verlust pro Monat durch den Abschluss des Rürup Vertrags? Das ist heftig.

vor 7 Stunden von chirlu:

Weiterhin konstant 42% im Alter, d.h. in der Rentenphase?

Nee, dann natürlich weniger. Vielleicht noch 30% oder so.

Diesen Beitrag teilen


Link zum Beitrag
chirlu
vor 8 Minuten von mattzell:

Im Ernst, 400€ Verlust pro Monat durch den Abschluss des Rürup Vertrags? Das ist heftig.

 

Nein. In einen Rürup-Vertrag zahlst du unversteuertes Geld ein, in einen ungeförderten Sparplan versteuertes. 600 Euro netto entsprechen etwa 1000 Euro brutto.

Diesen Beitrag teilen


Link zum Beitrag
s1lv3r
· bearbeitet von s1lv3r
vor 13 Stunden von mattzell:

Hat das schon mal jemand ausgerechnet?

 

Ich würde erwarten, dass das jeder hier im Forum, der einen RÜRUP-Vertrag abgeschlossen hat oder darüber ernsthaft nachdenkt, zumindest überschlagsweise für sich ausgerechnet hat. Einfach einen Vertrag abzuschließen, ohne überhaupt zumindest grob abschätzen zu können, ob der Sinn ergibt - sowas macht doch keiner der sich für seine persönlichen Finanzen interessiert und im Wertpapierforum unterwegs ist. :huh:

 

Mathematisch ist das ganze in Excel auch relativ einfach zu simulieren. Interessant ist die Entscheidungsfindung daher nur, weil es eben auch noch andere Faktoren (mangelnde Flexiblität, Risiko von Änderungen in der Steuergesetzgebung, zusätzliche Risiken durch Bindung an ein Versicherungsunternehmen, etc.) neben der rein kalkulatorischen Betrachtung gibt.

 

Und hier gibt es eben sehr stark abweichende Meinungen, ob RÜRUP an sich ein sinnvolles Konstrukt ist, oder eben prinzipbedingt schon zuviele Nachteile mit sich bringt. Das muss im Endeffekt jeder für sich selber rausfinden.

Diesen Beitrag teilen


Link zum Beitrag

Erstelle ein Benutzerkonto oder melde dich an, um zu kommentieren

Du musst ein Benutzerkonto haben, um einen Kommentar verfassen zu können

Benutzerkonto erstellen

Neues Benutzerkonto für unsere Community erstellen. Es ist einfach!

Neues Benutzerkonto erstellen

Anmelden

Du hast bereits ein Benutzerkonto? Melde dich hier an.

Jetzt anmelden

×
×
  • Neu erstellen...