Zum Inhalt springen
roni80

Nacherklärung bzw Steuererklärungen neu abgeben

Empfohlene Beiträge

reckoner
· bearbeitet von reckoner

Hallo,

 

Zitat

Ich habe doch auch als Basiswährung  Euro bei IB.

Und warum erwähnst du dann die Anlage SO?

Oder machst du auch Daytrading mit Währungen (bisher war doch nur von Aktien die Rede wenn ich mich nicht irre)?

 

Außerdem heißt es sonst immer, dass es bei IB automatisch Währungskonten gibt. Ist das doch nicht so?

 

Zitat

glaub den sollen alle vorlesen , vor allem die die deutschen Depots haben.. Flatex , Comdirect und dergleichen

Wieso denn? Das in den Links Beschriebene trifft auf solche Anleger selten zu.

 

Stefan

 

Diesen Beitrag teilen


Link zum Beitrag
roni80
vor 2 Minuten von reckoner:

Hallo,

 

Und warum erwähnst du dann die Anlage SO?

Oder machst du auch Daytrading mit Währungen (bisher war doch nur von Aktien die Rede wenn ich mich nicht irre)?

 

Außerdem heißt es sonst immer, dass es bei IB automatisch Währungskonten gibt. Ist das doch nicht so?

 

Wieso denn? Das in den Links Beschriebene trifft auch solche Anleger selten zu.

 

Stefan

 

Ich halte das Depot in der Basiswährung Euro und handle fast ausschliesslich nur die US-Aktien also in USD. Beim Kauf der Aktie wird automatisch USD -kredit seitens IB gegeben. Beim verkaufen der Aktie  du gibst diesen Kredit zurück + die Zinsen für Kredit(also Sollzinsen). Gewin/Verlust aus Aktienkurs wandert auf dein USD-Saldo und verbleibt dort bis du diesen Saldo abnullst durch FX trade + Komission(1,6-2 eur).

Die Frage bleibt natürlich ob ich auch vom EUR.USD kurs innerhalb des Trades profitiere. Weil der Kredit wurde ja zum bestimmten Tages oder Minutenkurs aufgenommen(beim Aktienkauf) und dann zum bestimmten Tages oder Minutenkurs abgegeben ( beim aktien Verkauf). Reiner Aktiengewinn ist klar der ist sauber abgebildet in dem Activity Jahresreport. Und die beiden Erwähnten Währungsgeschichten sind meines Verständnisses nach - Profit aus Währungskauf bzw Verkauf und somit geht in die Anlage SO. Oder nicht ?  Zu Währungskonten, die kannst du dir in jeweiligen Währung in deinem Account anlegen.

Da ich ursprünglich mir die Rechnerei( Rückwärtssalto USD->EUR) ersparen wollte, habe ich nur EUR als Basiswährung.

Diesen Beitrag teilen


Link zum Beitrag
roni80

Auf USD-SALDO befindlicher Betrag beeinflüsst natürlich dein EUR-net-Bestand gut wenn eur.usd fällt und schlecht wenn eur.usd steigt ) Ich versuche den USD-Saldo nach erreichen kritischer Masse aufzulösen, damit  auch FOREX nicht gegen einen arbeitet. Man kann nicht alles kontrollieren.

Diesen Beitrag teilen


Link zum Beitrag
reckoner

Hallo,

 

Zitat

Ich versuche den USD-Saldo nach erreichen kritischer Masse aufzulösen,

Und genau das verstehe ich nicht, wie kann man etwas auflösen was man gar nicht hat? (ich meine den Bestand an US-$)

 

Mein US-Depot läuft wirklich in Euro (bei Degiro). Und da ist es so, dass jede US-$-Buchung sofort in Euro umgerechnet und meinem Konto belastet oder gut geschrieben wird. Da gibt es zwar auch sowas wie ein $-Konto, das ist aber immer sofort wieder auf Null (die Buchungen erfolgen in der gleichen Minute).

 

Wenn du hingegen wirklich US-$-Bestände über mehrere Tage hältst, ja dann sind das Spekulationsgeschäfte, und die gehören in die Anlage SO.

 

Stefan

 

Diesen Beitrag teilen


Link zum Beitrag
Bassinus

:rolleyes:

 

Deshalb sollte es nicht möglich sein, einen ausländischen Broker zu haben ohne steuerliche Beratung bzw. Fachwissen um es selbst zu machen.

 

Das Finanzamt hat dich aufgefordert - ich hoffe auch das Strafverfahren eingeleitet, wenn nicht - gib alles ab - sie müssen es als Selbstanzeige werten. Also passiert dir da schonmal nichts hinsichtlich Strafrecht. Du musst nämlich bei Vorliegen eines Anfangsverdachts (Mitteilung das du dort ein Depot hast mit Summe XY) bereits als Verdächtiger behandelt werden. Und der verdient eine ordentliche Belehrung nebst dem Hinweis, dass du dich als Beschuldigter in einem Strafverfahren nicht äußern musst.

 

Aber die 10 Jahresfrist gilt für alle Jahre in dennen du Steuer hinterzogen hast (ab einem Euro). Wenn keine Steuer hinterzogen wurde, weil du nur Verluste hattest, ist dort keine Abgabe der Steuererklärung mehr möglich - bzw. deren Festsetzung ist verjährt. Und damit auch die Möglichkeit der Verlustfestsetzung. Diese erfolgt nämlich gesondert. Da hast du dann Pech. Das eine Verrechnung nicht rückwärts möglich ist, weißt du ja bereits. 

Diesen Beitrag teilen


Link zum Beitrag
roni80
vor 13 Minuten von reckoner:

Hallo,

 

Und genau das verstehe ich nicht, wie kann man etwas auflösen was man gar nicht hat? (ich meine den Bestand an US-$)

 

Mein US-Depot läuft wirklich in Euro (bei Degiro). Und da ist es so, dass jede US-$-Buchung sofort in Euro umgerechnet und meinem Konto belastet oder gut geschrieben wird. Da gibt es zwar auch sowas wie ein $-Konto, das ist aber immer sofort wieder auf Null (die Buchungen erfolgen in der gleichen Minute).

 

Wenn du hingegen wirklich US-$-Bestände über mehrere Tage hältst, ja dann sind das Spekulationsgeschäfte, und die gehören in die Anlage SO.

 

Stefan

 

Also heute habe ich ca 38 dollar gemacht (schon mit abzug aller kommisionen/gebühren), vorher auf dem USD Saldo waren 450 USD jetzt sind 488. Wenn ich Verluste mache, dann gehts natürlich runter. und der Betrag wird sogar negativ. D.h. minus Dollar die auf Saldo sind / gegenwertiger EUR.USD kurs.

 

An einem Beispiel mit runden Zahlen: ich habe vor 100 aktien zu preis 200 usd zu kaufen. Es wird geprüft ob ich genügend Cash habe. Ist der Kauf durch - unbemerkt für dich wird Kredit für 20000 USD ausgestellt. D.h. du hast 20000 USD und musst diese +( später ende des monats angelaufene Gesamtzinsbetrag für  alle "Krediten " in monat) zurückbezahlen. Aktie steigt auf 210 ich verkaufe zu diesem preis. Also ich habe 10 $/Aktie verdient. Gleichzeitig mit Aktienverkauf zahle ich 20000 an den Broker zurück. Ich habe quasi das Geld nur geliehen und wieder zurück gegeben. Es bleiben 1000 euro für mich. Diese erscheinen auf dem USDSaldo.

Warum sie nicht auf mein Basiswährung konvertiert werden, hat wahrscheinlich 2 Gründe. 1) saubere Rechnung für IB also 20000 geliehen - 20000 zurückbekommen. 2) sie möchten Provision verdienen.

Es gibt Möglichkeit credit zu umgehen in dem man den gewünschten Betrag konvertiert. Du siehst in auf dem USD Saldo wie üblich. Nur wenn du die Aktien jetzt kaufst und nicht für mehr als dieser Betrag zahlst du keine Zinsen da kein Kredit. So schaut es in der Detailiertesten Aufstellung bei FX umsätzen. Also da sollte eigentlich fast jeder ohnmächtig werden

Bildschirmfoto_2020-12-24_20-26-05.png

Diesen Beitrag teilen


Link zum Beitrag
roni80
vor 16 Minuten von Bassinus:

:rolleyes:

 

Deshalb sollte es nicht möglich sein, einen ausländischen Broker zu haben ohne steuerliche Beratung bzw. Fachwissen um es selbst zu machen.

 

Das Finanzamt hat dich aufgefordert - ich hoffe auch das Strafverfahren eingeleitet, wenn nicht - gib alles ab - sie müssen es als Selbstanzeige werten. Also passiert dir da schonmal nichts hinsichtlich Strafrecht. Du musst nämlich bei Vorliegen eines Anfangsverdachts (Mitteilung das du dort ein Depot hast mit Summe XY) bereits als Verdächtiger behandelt werden. Und der verdient eine ordentliche Belehrung nebst dem Hinweis, dass du dich als Beschuldigter in einem Strafverfahren nicht äußern musst.

 

Aber die 10 Jahresfrist gilt für alle Jahre in dennen du Steuer hinterzogen hast (ab einem Euro). Wenn keine Steuer hinterzogen wurde, weil du nur Verluste hattest, ist dort keine Abgabe der Steuererklärung mehr möglich - bzw. deren Festsetzung ist verjährt. Und damit auch die Möglichkeit der Verlustfestsetzung. Diese erfolgt nämlich gesondert. Da hast du dann Pech. Das eine Verrechnung nicht rückwärts möglich ist, weißt du ja bereits. 

Also ab 2009 die Verluste gehen nicht verloren. Depotanbieter muss töpfe führen. Wenn due verlust bei Finanzamt reinschreiben willst - muss Verlustbecheinigung her, dann geht der Betrag zu Finanzamt - in Depot bleibt null. Du redest über die 7 Jahre Frist nach hinten wo man mit einer Verlustbescheinigung von damals noch die Verluste geltend reinschreiben kann ? Gesonderte Verlustfestellung wie mache ich die ?  Sagen wir mal ich habe verluste in 2015 gemacht  und habe die Verlustbescheinigung. Auch wenn ich die Steuererklärung für das Jahr 2015 bereits abgegeben habe also for 2-3 Monaten, kann ich auf Jahr 2015 Gesonderte Verlustfestellung beantragen ? Oder das geht nur für das aktuelle Jahr 2020 wo ich quasi alle meine Verlustbescheinigungen auf ein schlag eintragen kann ?

Diesen Beitrag teilen


Link zum Beitrag
odensee
Gerade eben von roni80:

Also ab 2009 die Verluste gehen nicht verloren. Depotanbieter muss töpfe führen.

Eine ausländische Bank, die "Töpfe" für das deutsche Steuersystem führt? Wirklich?

Diesen Beitrag teilen


Link zum Beitrag
roni80
vor 2 Minuten von odensee:

Eine ausländische Bank, die "Töpfe" für das deutsche Steuersystem führt? Wirklich?

Du hast es nicht begriffen ich führe selber die Verlusttöpfe. Jahr für Jahr.

Diesen Beitrag teilen


Link zum Beitrag
reckoner
· bearbeitet von reckoner

Hallo,

 

Zitat

Also ab 2009 die Verluste gehen nicht verloren.

Das kannst du noch so oft posten, es wird nicht richtig.

 

Zitat

Depotanbieter muss töpfe führen.

Nein, dein Broker muss das nicht, und kann/darf das auch nicht.

 

zu #31: Warum kannst du nicht klar sagen, ob deine $-Buchungen direkt in Euro umgerechnet werden oder nicht? Es hört sich aber so an, als ob das nicht so wäre; und dann musst du eben alles haarklein auseinander rechnen.

Ob das dein Geld ist oder ein Kredit ist übrigens egal.

 

EDIT:

Zitat

Du hast es nicht begriffen ich führe selber die Verlusttöpfe. Jahr für Jahr.

Darfst bzw. besser kannst du nicht. Verluste sind in dem betreffenden Jahr zu erklären.

 

Stefan

 

Diesen Beitrag teilen


Link zum Beitrag
odensee
vor 4 Minuten von roni80:

Du hast es nicht begriffen ich führe selber die Verlusttöpfe. Jahr für Jahr.

 

vor 12 Minuten von roni80:

Depotanbieter muss töpfe führen.

:dumb:  (trotz Weihnachten :P)

Diesen Beitrag teilen


Link zum Beitrag
roni80
vor 1 Minute von odensee:

 

:dumb:  (trotz Weihnachten :P)

da scheint einer völlig an meiner Antwort vorbei zu gleiten. Stehst du in Alpen auf den Schien?

vor 8 Minuten von reckoner:

Hallo,

 

Das kannst du noch so oft posten, es wird nicht richtig.

 

Nein, dein Broker muss das nicht, und kann/darf das auch nicht.

 

zu #31: Warum kannst du nicht klar sagen, ob deine $-Buchungen direkt in Euro umgerechnet werden oder nicht? Es hört sich aber so an, als ob das nicht so wäre; und dann musst du eben alles haarklein auseinander rechnen.

Ob das dein Geld ist oder ein Kredit ist übrigens egal.

 

EDIT:

Darfst bzw. besser kannst du nicht. Verluste sind in dem betreffenden Jahr zu erklären.

 

Stefan

 

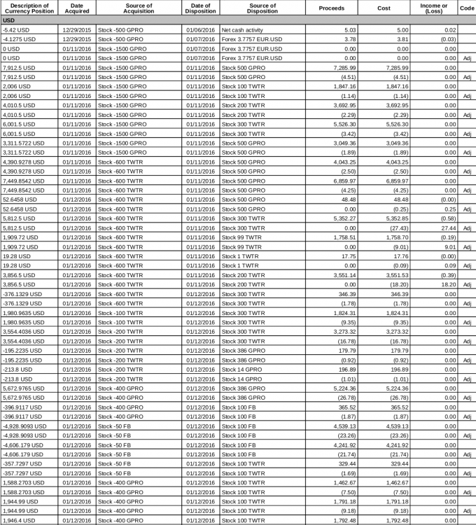
auf dem Foto du siehst realisierten Ergebnis in EUR. Ja die Buchungen werden in Euro umgerechnet.

Diesen Beitrag teilen


Link zum Beitrag
odensee

@reckoner ich bewundere deine Geduld. Entweder da trollt jemand lustig vor sich hin, oder es ist jemand, der es mit der Steuerzahlung nicht so ganz genau nimmt, jetzt aber Stress mit dem Finanzamt hat und zu geizig ist, den Kram einem Steuerberater zu geben.

 

Gerade eben von roni80:

Stehst du in Alpen auf den Schien?

Klar, um diese Uhrzeit immer.

Diesen Beitrag teilen


Link zum Beitrag
reckoner

Hallo,

 

Zitat

auf dem Foto du siehst realisierten Ergebnis in EUR. Ja die Buchungen werden in Euro umgerechnet.

OK. Dann bleibt meine Frage aus #29 (was du glatt stellst).

Meinst du damit den Kredit? Wenn ja, dann hast du wohl wirklich ein Eurokonto, und kannst die Anlage SO komplett weglassen.

 

Zitat

Ob das dein Geld ist oder ein Kredit ist übrigens egal.

Das muss ich nach etwas drüber nachdenken nun doch revidieren. Denn wenn der Kredit direkt in der Fremdwährung erfolgt ist dann ist daran nichts steuerpflichtig (weil: es gibt ja - aus dem Kredit - gar keinen Gewinn).

 

Mal angenommen man würde ausschließlich(!!!) auf Kredit traden, dann wäre nur der Aktiengewinn (Wert in Euro am Verkaufstag minus Wert in Euro am Kauftag minus Spesen) zu versteuern.

 

Stefan

 

Diesen Beitrag teilen


Link zum Beitrag
roni80
· bearbeitet von roni80

Ich verstehe die Welt nicht mehr..., da quaselt jeder wie im zumute ist. Einer sagt die Altverluste müssenauch in diesen Verlustjahren festgestellt worden sein. Der Andere meint dem wurde das grüne Licht  vom Finanzamt fürs Festellen gegeben. Da spielt jeder auf seiner Geige wie der will.

Bildschirmfoto_2020-12-24_21-49-52.png

Diesen Beitrag teilen


Link zum Beitrag
chirlu
vor 6 Minuten von roni80:

Ich verstehe die Welt nicht mehr...

 

Ich glaube eher nicht, daß du sie vorher verstanden hast.

Diesen Beitrag teilen


Link zum Beitrag
reckoner

Hallo,

 

du bastelst dir die Welt auch wie sie dir gefällt.

 

In dem Thread den du da gefunden hast geht es doch um in 2008 erklärte Verluste.

Du hast aber bekanntlich nicht erklärt, und jetzt (12 Jahre später) geht das nicht mehr.

 

Stefan

 

Diesen Beitrag teilen


Link zum Beitrag
roni80
· bearbeitet von roni80
vor 50 Minuten von reckoner:

Hallo,

 

OK. Dann bleibt meine Frage aus #29 (was du glatt stellst).

Meinst du damit den Kredit? Wenn ja, dann hast du wohl wirklich ein Eurokonto, und kannst die Anlage SO komplett weglassen.

 

Das muss ich nach etwas drüber nachdenken nun doch revidieren. Denn wenn der Kredit direkt in der Fremdwährung erfolgt ist dann ist daran nichts steuerpflichtig (weil: es gibt ja - aus dem Kredit - gar keinen Gewinn).

 

Mal angenommen man würde ausschließlich(!!!) auf Kredit traden, dann wäre nur der Aktiengewinn (Wert in Euro am Verkaufstag minus Wert in Euro am Kauftag minus Spesen) zu versteuern.

 

Stefan

 

Die Logik müsste ja sein , ich nehme ein Kredit auf - zahle dafür spesen wie auch immer, mache Gewinn durch Aktienpreisunteschied, verkauf aktie - gebe kredit zurück in gleichen höhe. Der EURUSD kurs müsste mir egal sein. Bekomme meine USD auf USDsaldo und eigentlich von da sollte der Tanz beginnen also welcher EUR.USD kurs am tag der Verbuchung auf USDsaldo und am Tag des verkaufes bei FOREX. Dieser Währungsunteschied ist dann der Währungstausch - relevant für SO.

Beim Kredit entstehen ja die Kosten und diese können nicht positiv sein. Irgendwo ist der Denkfehler. Oder stop. Am tage des Kredits musste ich ja USD zum bestimmten EUR:USD kurs kaufen und wenn ich den Kreditzurückgebe wandern die Euros zu mir wieder zurück auch zu Bestimmtem Eur.USD kurs. Wahrscheinlich diese zwei unteschiede sind auch diese Verluste/gewinne in FX income worksheet. Man muss nur die Zuordnung rausbekommen. Ich muss den mist auf IB seite bis Ende durchlesen.. 3 Spalten rechts in Euro. Die spalte links in USD.

Bildschirmfoto_2020-12-24_22-29-38.png

Diesen Beitrag teilen


Link zum Beitrag
roni80

die Preisfrage ist zu welchem preis wandern die USD zurück. Wenn der Kreditrückgabe zum selben Eur.USD erfolgen würde wie die Kreditannahme, dann hätte ich dieselbe Euroanzahl zurückbekommen. Wenn ich dieselbe USD masse bei Fallendem Euro liefern müsste, dann müsste ich mehr euros zahlen. D.h. irgendjemand muss das kompensieren. Oder die Prozente sind so hoch, das sie diese Verluste decken.

Fakt ist - ich kann nicht 10h am Tag die Rübe arbeiten lassen, irgendwann mal wird es zu blöde

vor 48 Minuten von chirlu:

 

Ich glaube eher nicht, daß du sie vorher verstanden hast.

dem ist nichts hinzuzufügen:)

Diesen Beitrag teilen


Link zum Beitrag
reckoner

Hallo,

 

Zitat

also welcher EUR.USD kurs am tag der Verbuchung auf USDsaldo und am Tag des verkaufes bei FOREX. Dieser Währungsunteschied ist dann der Währungstausch - relevant für SO.

Ich geb' es langsam doch auf, warum drückst du dich nicht klar aus (was wird gekauft, was wird verkauft)?

Ich vermute immer noch, dass du mit "Verkauf" mal den Verkauf einer Aktie meinst, und mal den Verkauf einer Währung.

 

Du widersprichst dir auch andauernd. Einerseits sagst du, du hättest nur ein Eurokonto, und andererseits willst du Spekulationsgeschäfte haben. Das passt nicht zusammen, jedenfalls so wie ich ein Eurokonto verstehe.

Vielleicht kann mal jemand anderes - der auch bei IB aktiv ist - darüber aufklären, ob man dort mit einem Eurokonto einen Fremdwährungsbestand halten kann (bei Degiro geht das nämlich beispielsweise nicht).

 

Stefan

 

Diesen Beitrag teilen


Link zum Beitrag
roni80
vor 4 Minuten von reckoner:

Hallo,

 

Ich geb' es langsam doch auf, warum drückst du dich nicht klar aus (was wird gekauft, was wird verkauft)?

Ich vermute immer noch, dass du mit "Verkauf" mal den Verkauf einer Aktie meinst, und mal den Verkauf einer Währung.

 

Du widersprichst dir auch andauernd. Einerseits sagst du, du hättest nur ein Eurokonto, und andererseits willst du Spekulationsgeschäfte haben. Das passt nicht zusammen, jedenfalls so wie ich ein Eurokonto verstehe.

Vielleicht kann mal jemand anderes - der auch bei IB aktiv ist - darüber aufklären, ob man dort mit einem Eurokonto einen Fremdwährungsbestand halten kann (bei Degiro geht das nämlich beispielsweise nicht).

 

Stefan

 

"Vielleicht kann mal jemand anderes - der auch bei IB aktiv ist - darüber aufklären, ob man dort mit einem Eurokonto einen Fremdwährungsbestand halten kann (bei Degiro geht das nämlich beispielsweise nicht)."

 

Klar kannst du das. In Form von Saldo oder in Form von Auswahl zusätzlichen Währungskontos in USD. Glaub hab schon des schon mal gesagt.

So jetzt gehe ich pennen. Gute Nacht. Danke das du dir Mühe gegeben hast, du weißt ja oben wird alles in die Bücher geschrieben, auch wenn ein normal sterblicher den unausweichlichen Fakt des Schöpfers leugnet.

Die meisten Menschen können nicht mal verstehen, dass die Ewigkeit immer da gewesen sein sollte damit alles andere entstehen kann. Kein Wunder dass der höchste % der gläubigen Wissenschaftlern liegt mit Abstand bei Mathematikern, diese Leute wissen ja wenigstens mit was sie tagtäglich zu tun haben- limis Unendlichkeit bzw. unendliche Annäherung.

 

Diesen Beitrag teilen


Link zum Beitrag
roni80
· bearbeitet von roni80

es dreht sich alles  um das.

 

Diesen Beitrag teilen


Link zum Beitrag
beamter97
vor 17 Stunden von roni80:

Stehst du in Alpen auf den Schien?

meinst Du hier? - Endlich mal jemand, der weiß, dass auch am Niederrhein  die Eisenbahn auf Schienen fährt!:respect:

2120994341_Screenshot_2020-12-25BahnhofinAlpenNiederrheinrailcc.png.71fe53751a204b3504a6bb68f0a42f62.png

Diesen Beitrag teilen


Link zum Beitrag
reckoner

Hallo,

 

Zitat

Klar kannst du das. In Form von Saldo oder in Form von Auswahl zusätzlichen Währungskontos in USD.

Von Währungskonten ist ja gerade nicht die Rede. Und erklär' mal bitte, was du mit Saldo meinst.

 

Stefan

 

Diesen Beitrag teilen


Link zum Beitrag
roni80
Am 25.12.2020 um 17:56 von reckoner:

Hallo,

 

Von Währungskonten ist ja gerade nicht die Rede. Und erklär' mal bitte, was du mit Saldo meinst.

 

Stefan

 

Ich habe mal eine andere Frage. Wir sind im Jahre 2012, ich gebe Steuererklärung um meine Altverluste zu verrechnen. Meine Altverluste unterlagen dem Halbeinkünfteverfahren. Dann heißt es , wenn die Gesamtzahl der verluste 8000Eur ist, ich darf nur 4000Eur in Steuererklärung angeben?

Die Frage zu Währungskonto werde ich dir später beantworten, obwohl ich dies schon gemacht habe. Leider habe ich keine Zeit für Diskussionen :( Ich verbringe jeden Tag mit derselben Frage, weil es keiner bis jetzt geschafft hat als Community - saubere Dokumentation nach all den Jahren auszuarbeiten: nach dem Motto - ich habe geblütet - blüte auch du. Es dreht sich immer um dasselbe Karussel , Aktien/Optionen/Futures. Das es nur Halbwissen nach soviel Jahren gibt - ist eigentlich erstaunlich. Dabei - gibt jeder nach außen wie er versiert in den Sachen ist. So ich muss jetzt wieder..

 

Diesen Beitrag teilen


Link zum Beitrag

Erstelle ein Benutzerkonto oder melde dich an, um zu kommentieren

Du musst ein Benutzerkonto haben, um einen Kommentar verfassen zu können

Benutzerkonto erstellen

Neues Benutzerkonto für unsere Community erstellen. Es ist einfach!

Neues Benutzerkonto erstellen

Anmelden

Du hast bereits ein Benutzerkonto? Melde dich hier an.

Jetzt anmelden

×
×
  • Neu erstellen...