Zum Inhalt springen
stettler

Portfolio World/VIX Long - Oder: "Risiko-Alpha" selbstgestrickt

Empfohlene Beiträge

stettler
· bearbeitet von stettler
Typos

Hallo liebes WPF,

 

folgender Beitrag von coincidence hat mich zum Nachdenken angeregt: 

 

Deswegen habe ich Excel und Portfolio Performance mal angeschmissen um mir das mal genauer anzuschauen.

Als Spielfeld benutze ich folgende zwei ETFs:

 

Ich habe 5 Portfolios vom 1.1.2013 bis jetzt untersucht, Startwert jeweils 100 k€:

  • World/VIX 100/0: Kauf World zu Beginn. Fertig.
  • World/VIX 70/0: Kauf 70% World am 2.1.2013 (die restlichen 30% bleiben Cash), Rebalancing zu 70% World & 30% Cash jeweils am ersten Handelstag des Jahres.  
  • World/VIX 95/5: Kauf 95% World und 5% VIX am 2.1.2013, Rebalancing zu 95% World & 5% VIX jeweils am ersten Handelstag des Jahres.
  • World/VIX 90/10: Kauf 90% World und 10% VIX am 2.1.2013, Rebalancing zu 90% World & 10% VIX jeweils am ersten Handelstag des Jahres.
  • World/VIX 85/15: Kauf 95% World und 15% VIX am 2.1.2013, Rebalancing zu 85% World & 15% VIX jeweils am ersten Handelstag des Jahres.

 

World/VIX 70/0 soll quasi eine RK1/RK3 Verteilung simulieren, mit 30% RK1 in Cash.

Meine Intention dahinter wird später deutlich.

 

Exemplarische Asset Allocation im Laufe der Zeit anhand des World/VIX 90/10 Portfolios (auch zur Plausibilitätskontrolle der Trades):imageproxy.php?img=&key=9d130ad23eb73f07

1446940566_Bildschirmfoto2021-07-03um12_06_18.thumb.png.116ea701842c5c63739186b1e07d8137.png

Man sieht schon im Laufe des Jahres recht deutlich Abweichungen der 90/10 Verteilung. 

Daher wäre ein quartalsweises Rebalancing oder bei Überschreiten einer Maximalabweichung wahrscheinlich wesentlich sinnvoller.

Ist mir aber momentan zuviel Arbeit.

 

Absolute Entwicklung der Portfolios:

1126506579_Bildschirmfoto2021-07-03um12_12_43.thumb.png.d935978249df6e55b9dac828566e33d0.png

 

Performance der Portfolios:

1577217248_Bildschirmfoto2021-07-03um12_15_01.thumb.png.8ee3adbeb6410305d3cb89b2a8a014ba.png

 

Im Endergebnis soweit keine Überraschungen.

 

Spannend wird jedoch die Betrachtung einzelner exemplarischer Jahre.

2020: Corona Crash

636517601_Bildschirmfoto2021-07-03um12_17_05.thumb.png.089c334141cbd169877dd01c4ca468f8.png

Fazit aus 2020: VIX hilft bei einem Crash, muss gar nicht soviel sein.

 

2017: Gemütlich seitwärts & hoch

337012512_Bildschirmfoto2021-07-03um12_19_01.thumb.png.2c5479834538d29d0c0d919b7cf97489.png

Fazit aus 2017: VIX scheint schadet der Performance.

 

Nun ein paar Zahlen dazu:

2029542285_Bildschirmfoto2021-07-03um12_35_36.thumb.png.0b476b92713cf1c0af132814c6507689.png

 

Und noch mehr Zahlen:

89135684_Bildschirmfoto2021-07-03um12_37_22.thumb.png.e24ad5f4af58efcfdbfab8455cc1833d.png

 

Risiko/Rendite:

1543348856_Bildschirmfoto2021-07-03um12_39_49.thumb.png.8749f364ca1940aeccdf6e46e2aadf83.png

Sehr schöne Parabel.

 

Erstes Fazit:

World/VIX lohnt sich, wenn man RK1 verringert, und mit dem freigewordenen Kapital World & VIX kauft, so dass man bei ungefähr 90/10 landet.

Crashs werden schön abgefedert.

Aber Vorsicht: Der Simulationszeitraum ist kurz. In einer längeren Seitwärtsphase schneiden die VIX Portfolios vermutlich grottenschlecht ab.

 

Meinungen, Kommentare, Anregungen dazu?

 

Viele Grüße,

stettler

 

 

 

 

 

Diesen Beitrag teilen


Link zum Beitrag
stettler

Nachtrag.

 

Nochmal Risiko/Rendite mit Nullpunkt, damit die Parabel besser rauskommt:

473504725_Bildschirmfoto2021-07-03um13_01_56.thumb.png.5f89104d7997266c20fa107f762fa2fd.png

Zwei Anmerkungen:

  1. World/VIX 90/10 hat (optisch) das beste Verhältnis aller World/VIX Portfolios
  2. World/VIX 70/0 (also 70% World und 30% Cash) hat von allen Depots das beste Chance/Risiko Verhältnis. Hätte ich so nicht erwartet.
    Untermauert aber wahrscheinlich nochmals die Bedeutung von RK1. Oder mache ich jetzt einen Denkfehler?

Diesen Beitrag teilen


Link zum Beitrag
Life_in_the_sun
· bearbeitet von Life_in_the_sun

@stettler

Gute Arbeit :thumbsup:

der Lxyor ist nach meiner Einschätzung nicht das Maß der Dinge. Deutlich breiter aufgestellt und erfolgreicher ist Man AHL Trend Alternative DNY ISIN: LU0428380397 der auch weltweit anlegt.

https://www.fondsdiscount.de/fonds/lu0428380397/

Wäre spannend was da rauskommt !

Diesen Beitrag teilen


Link zum Beitrag
kleinerfisch

Interessant

Falls Du da noch mal rangehen solltest:

Wie wäre es den VIX (oder auch den Man) gegen ein Portfolio mit gleichem Anrteil Cash laufen zu lassen?

So sehe ich 5/10/15% VIX gegen 30% Cash, was nicht wirklich der realistische Vergleich ist.

Die Frage wäre eher: 15% VIX oder 15% Cash?

Oder: wie viel % VIX entsprechen x% Cash, kommen also auf ähnliche Rendite und/oder maxDD?

Diesen Beitrag teilen


Link zum Beitrag
FelixW
· bearbeitet von FelixW
vor 1 Stunde von stettler:

Erstes Fazit:

World/VIX lohnt sich, wenn man RK1 verringert, und mit dem freigewordenen Kapital World & VIX kauft, so dass man bei ungefähr 90/10 landet.

Crashs werden schön abgefedert.

 

Meinungen, Kommentare, Anregungen dazu?


Ich finde das Fazit unpassend wenn ich mir den Risiko/Rendite Graph anschaue: 90/10 sortiert sich da fast auf einer Linie mit 100/0 und 70/0 ein. Sprich: Schaue Ich mir naiv den Graphen an, dann denke Ich mir: das kann nichts, was Ich nicht durch eine Anpassung des RK1 Anteils alleine hinbekomme. Betrachtet man den maximalen Drawdown, sieht das natürlich anders aus.

 

 

Diesen Beitrag teilen


Link zum Beitrag
coincidence

Noch zur Info. Ich hatte ursprünglich 80/20. Wie man leicht sieht kann man das auch 66/34 aufblasen, wobei man dann nicht einen normalen Wert-Etf nimmt sondern einen 2-fach gehebelten Etf. Die Volatilität ist auch dann noch recht gering, zumindest geringer als ein normaler einfach S&P-Etf. Auch werden die Rebalancing-Intervalle um den Faktor 1,6 größer, was nochmals Rendite bringt. Man kann das auch auf 50/50 mit einem vierfach gehebelten Zertifikat "aufblasen", und hat dann nochmal den Faktor 1,5 bei Rendite und Rebalancing-Intervall. Bei Backtracking hat sich das Rebalancing-Intervall von 6 % als optimal erwisen.

 

Das lässt sich aber womöglich differenzieren. Und zwar hängt dies auch an der Volatilität. Bei hoher Volatilität dürfte ein größeres (ertragreiches) Intervall optimal sein. Bei geringer Volatilität auch 4 %, vor allem dann wenn schon vorher in "diese Richtung" rebalanced wurde. Auch ein Aspekt ist die Korrelation zwischen den beiden Werten. Die liegt meist bei -0,9. Es gibt aber Phasen, in der sie kurzfristig positiv wird. Aktuell hatten wir so eine Phase. Die Kurse stellen Allzeithochs dar, das heotßt der Aktien-Etf gewinnt, aber gleichzeitig werden die Martkteilnehmer etwas nervös ("wie lange geht das noch gut?") dann steigt auch der Vix. Ist natürlich gut für das Portfolio. Aber schlecht für die Rebalancingchance.

Nun gibt es natürlich auch Phasen in denen das gesamtmodell verliert. Das sind sind Seitwärtsphasen mit fallendem Vix. Das lässt sich nicht vermeiden. Weiterhin ist eine Verlustphase , wenn nach einem starken Absturz beim Wiederanstieg (wir hatten fast immer ein V) der Vix dann stärker fällt, als der Aktien -etf (ob einfach oder gehebelt steigt). Aber auch dem kann man entgegenwirken. Abstürze um 10 % werden gerne über das Rebalancing ausgeglichen. Stärkere Abstürze im S&P, also 20-30 % erfordern eine Neuausrichtung der Verteilung. Da stand man beim Coronaabsturz 30 % besser als ein Aktien-Etf.Da muss man dann einfach den Sprung wagen, und den Vix reduzieren. Bei "normalem Markt" habe ich 65/35...Bei 10% Absinken gehe ich auf 70/30 bei 20 Drawdowm auf 75/25 bei 30 % Marktrückgang auf 80/20. Damit verliere ich bei einer Erholung der Märkte weniger als bei einer gleichbleibenden Allokation. Dies lässt sich alles regelbasiert implementieren. 

Diesen Beitrag teilen


Link zum Beitrag
stettler

Guter Input, danke!

 

Zusammengefasst:

Eigentlich brauchen wir Simulationen mit x% World / y% VIX / (100-x-y)% Cash.

Und das dann einmal mit Rebalancing zu fixen Zeitpunkten,

und ein weiteres Mal mit monatlichen Rebalancing bei Verlassen eines erlaubten %-Intervalls.

 

Das ist bei meinem manuellen Setup (ausrechnen der Trades in Excel, manuelle Eingabe in PP) ziemlich viel Handarbeit.

Kennt jemand ein Programm, womit man das automatisieren kann?

Diesen Beitrag teilen


Link zum Beitrag
ChrisS3
· bearbeitet von ChrisS3
vor 30 Minuten von stettler:

Das ist bei meinem manuellen Setup (ausrechnen der Trades in Excel, manuelle Eingabe in PP) ziemlich viel Handarbeit.

Kennt jemand ein Programm, womit man das automatisieren kann?

Was du machen kannst, für grobe Backtest-Spielereien um zu sehen ob/wie sich eine Strategie "virtuell" entwickelt hätte, ist zum Beispiel die Tools der Webseite Portfolio Visualizer zu nutzen.

Wie zum Beispiel Backtest Portfolio . Dort gibst du dann deine gewünschten ETF-Ticker ein (ist halt ne Ami-Seite, und die arbeiten nunmal lieber mit Tickersymbolen statt mit ISINs), zB. wenn für nen SP500-ETF "SPY" (oder für nen zweifach gehebelten, "SSO") und für nen VIX-ETF zB. "VIXM", und kombinierst die in gewünschter Gewichtung. Dann noch deine jeweiligen Strategieparameter (zB. Rebalancingintervall, etc.) dazu, und fertig lass dir die Ergebnisse anzeigen.

Bzw. danach wird man wahrscheinlich noch weiter rumspielen wollen bei der Suche nach "optimalen" Parametern (was sind die "besten" ETFs, was sind die "besten" Rebalancingabstände, was sind die "besten" Assetgewichtungen, etc.), das macht auch alles viel Spaß, aber man sollte bei aller Freude am Ende natürlich auch nie vergessen dass das ganze erstmal nur ne rein virtuelle Geschichte ist, die man höchstens zur ersten groben Orientierung nutzen kann, aber auch nicht überbewerten sollte in ihrer praktischen Aussagekraft. (edit: zum Beispiel, die Backtest-Tools tun bspw. den Aspekt Steuern garnicht beachten, was so manche schöne Papierstrategie in der Realität wieder komplett entzaubert, besonders halt je "aktiver" sie ist)

Diesen Beitrag teilen


Link zum Beitrag
kleinerfisch
vor 7 Stunden von stettler:

World/VIX 70/0: Kauf 70% World am 2.1.2013 (die restlichen 30% bleiben Cash), Rebalancing zu 70% World & 30% Cash jeweils am ersten Handelstag des Jahres.  

 

vor 5 Stunden von coincidence:

Bei Backtracking hat sich das Rebalancing-Intervall von 6 % als optimal erwisen.

???

Wie passt das zusammen?

Diesen Beitrag teilen


Link zum Beitrag
IRRer-Zins

Bevor hier weiter aufwändige Empirik betrieben wird, empfehle ich etwas Lesestoff, sodass sich eventuelle Fragen bereits erübrigen könnten.

Werbebroschüre von AQR

Paper 1: Still not cheap

Paper 2: Insurance buying and selling

Paper 3: Which options should you sell

 

Long Volastrategien sind Versicherungen gegen Marktrisiken bzw. Wetten. Da Versicherungen immer Geld kosten, ist die langfristige Rendite negativ.

Insofern ist es fraglich, ob so etwas ins Portfolio sollte. Normalerweise empfiehlt sich genau die Gegenposition einzunehmen, wenn man die Drawdowns aushalten kann.

Bei geschicktem Timing gibt es natürlich nichts besseres, aber selbst die Experten scheitern regelmäßig daran.

Diesen Beitrag teilen


Link zum Beitrag
coincidence

Noch zur Info. Ich hatte ursprünglich 80/20. Wie man leicht sieht kann man das auch 66/34 aufblasen, wobei man dann nicht einen normalen Wert-Etf nimmt sondern einen 2-fach gehebelten Etf. Die Volatilität ist auch dann noch recht gering, zumindest geringer als ein normaler einfach S&P-Etf. Auch werden die Rebalancing-Intervalle um den Faktor 1,6 größer, was nochmals Rendite bringt. Man kann das auch auf 50/50 mit einem vierfach gehebelten Zertifikat "aufblasen", und hat dann nochmal den Faktor 1,5 bei Rendite und Rebalancing-Intervall. Bei Backtracking hat sich das Rebalancing-Intervall von 6 % als optimal erwisen.

 

Das lässt sich aber womöglich differenzieren. Und zwar hängt dies auch an der Volatilität. Bei hoher Volatilität dürfte ein größeres (ertragreiches) Intervall optimal sein. Bei geringer Volatilität auch 4 %, vor allem dann wenn schon vorher in "diese Richtung" rebalanced wurde. Auch ein Aspekt ist die Korrelation zwischen den beiden Werten. Die liegt meist bei -0,9. Es gibt aber Phasen, in der sie kurzfristig positiv wird. Aktuell hatten wir so eine Phase. Die Kurse stellen Allzeithochs dar, das heotßt der Aktien-Etf gewinnt, aber gleichzeitig werden die Martkteilnehmer etwas nervös ("wie lange geht das noch gut?") dann steigt auch der Vix. Ist natürlich gut für das Portfolio. Aber schlecht für die Rebalancingchance.

Nun gibt es natürlich auch Phasen in denen das gesamtmodell verliert. Das sind sind Seitwärtsphasen mit fallendem Vix. Das lässt sich nicht vermeiden. Weiterhin ist eine Verlustphase , wenn nach einem starken Absturz beim Wiederanstieg (wir hatten fast immer ein V) der Vix dann stärker fällt, als der Aktien -etf (ob einfach oder gehebelt steigt). Aber auch dem kann man entgegenwirken. Abstürze um 10 % werden gerne über das Rebalancing ausgeglichen. Stärkere Abstürze im S&P, also 20-30 % erfordern eine Neuausrichtung der Verteilung. Da stand man beim Coronaabsturz 30 % besser als ein Aktien-Etf.Da muss man dann einfach den Sprung wagen, und den Vix reduzieren. Bei "normalem Markt" habe ich 65/35...Bei 10% Absinken gehe ich auf 70/30 bei 20 Drawdowm auf 75/25 bei 30 % Marktrückgang auf 80/20. Damit verliere ich bei einer Erholung der Märkte weniger als bei einer gleichbleibenden Allokation. Dies lässt sich alles regelbasiert implementieren. 

Diesen Beitrag teilen


Link zum Beitrag
coincidence

Jetzt schreibe ich doch noch etwas als Ergänzung. 

 

Mein Portfolio besteht aus 65% vom DBX0B5 einem 2x gehebelten Etf auf den S&P 500! 

und zu 35 % aus dem LYX0PM einem Volatilität-Etf.

 

Der interessante Aspekt dabei ist, dass beide Werte extrem negativ korreliert sind, zumindest wenn man etwas längere Zeiträume betrachtet. Das ermöglicht bei starken Marktentwicklungen immer wieder die Chance zu Umschichtungen. (Rebalancing).

 

Wenn man nun -als Grundannahme- eine buy-and-hold Ansatz verfolgt, so macht dieser ja nur Sinn, wenn langfristig die Kurse steigen. Davon wird auch der gehebelte Etf profitieren. Wie schaut es aber mit Volatilität aus. Wenn man so will, ist diese nach unten begrenzt. Ein bisschen "Marktbewegung" ist immer. Und meine Vermutung lautet, dass wir in den kommenden Jahren eher mehr Volatilität sehen, denn weniger. Welches Verlustpotential habe ich also im Vix? Die einfach Antwort- entsprechend obiger Annahme- lautet : gar keine. Nun, ganz so einfach ist es jedoch nicht. Immerhin habe ich es mit zwei Ebenen über dem Vix zu tun. Den Vix kann ich ja gar nicht handeln. Ich kann nur Futures auf den Vix handeln, mit unterschiedlichen Laufzeiten. Dies zu tun, erscheint mir als Privatanleger zu aufwendig zu sein. Das macht der LYX0PM für mich. Aber er macht es einerseits nicht kostenlos (TER 0,6) und er hat die Eigenschaft, dass er kontinuierlich an Wert einbüßt. Dies liegt an seiner Konstruktion. Fztures müssen immer wieder neu gekauft werden. Und in den meisten Phasen sind die neu zu kaufenden Futures teurer. Man spricht von Rollverlusten. Stcihwort Contaango. Natürlich muss man diese Verluste rennen von den Kursbewegungen, die aufgrund von Volatiliätsänderungen entstanden sind. Ich hab das mal durch lieneare Regression über mehrer Jahre und Zyklen gemacht, und kam auf ca 5%-Verlust im Jahr. 

Nun will ich kurz über das (Re)-Rebalancing sprechen. Auch da gibt es im Mittel 3 solche Ereignisse im Jahr. Dabei besteht ein Rebalancing-Zyklus aus 2 Rebalncings in eine unterschiedliche Richtung. Nimmt man dabei als Abweichungsintervall 6%, dann bringt dies 1,5 % des Depotwertes. Spread und Transaktionskosten sind im kleinen Promillebereich. Ich kann also ca. 5 % dank Rebalncing verdienen. (reines Alpha) bezogen auf das Gesamtportfolio. Damit könnte ich theoretisch ca 15% Rollverluste im Vix-Etf kompensieren, was eher viel zu hoch gegriffen ist.Man ist ja nur zu einem Drittel im Vix-Etf investiert.

 

Bleibt also noch zu 2/3  sich im Depot befindliche gehebelte S&P-Etf. Im Prinzip hat man also 2*0,65  im Depot. Und für eine langfristige rendite muss man dann eben an den Buy-and-hold-Ansatz glauben. Ein Aufmerksamer leser könnte nun sagen, warum nicht gleich einen einfachen Etf auf den S&P ins Depot nehmen, wenn der doch langfristig ähnlich verformt, und dazu noch günstiger ist, und auch keine Transaktionskosten anfallen!? Dazu möchte ich folgendes sagen. Die Kombi aus beiden Werten ist, was die Volatilität anbetrifft, relativ unschlagbar. Fast schon auf RK1-Niveau. Das heißt der Panikfaktor in der (großen) Krise fällt fasst weg, und weicht eher der Freude auf Rebalancingchancen. 

 

Nun möchte ich noch etwas zu den Backtrackingtests hier sagen. Hier zeigt sich doch auch die Begrenztheit dieser Methode. Ich möchte das an diesem Beispiel ausführen. Das Portfolio hat seine Stärken und seine Schwächen. Es gibt Phasen in denen es Geld verliert, und Phasen in denen es Geld gewinnt. Absolut, und natürlich auch hinsichtlich des Marktes. Interessant ist natürlich primär, wie verhält sich mein Portfolio zum Markt(ein einfacher Welt-Etf oder ein Etf auf den S&P 500. In der Coronakrise hat sich gezeigt, dass das Portolio im Februar/März beim tiefsten Rückgang im S&P ca 40 % besser dastand. Hätte ich damals einfach "geswitched", und wäre auf einen normalen Etf umgestiegen,hätte ich diesen Vorsprung konservieren können. Aber so ganz hab' ich mich da nicht getraut. Entscheidend erscheint mir deshalb der Umstand, dass das Portfolio einen immer mal wieder (in Krisen) an Punkte führt, an denen man mit einer gewissen Sicherheit seine Strategie ändern kann. Man dadurch Hilfestellung beim Markettiming erhält. Ähnlich demjenigen, der antizyklisch kauft. Im Zuge der Erholung hätte man dann langsam wieder in das Ursprungsmodell umschichten können, mit langsamem Zukauf des Vix-Etf. Bei einem reinen Backtracking, gehen solche Punkte, an denen man aktiv und sinnvoll, und -wenn man will- auch regelbasiert eingreifen kann, natürlich unter. Wie gesagt, man muss sich ein wenig in die Grundannahmen reindenken, und vielleicht entdeckt man dann tatsächlich etwas für sich. Wie ich im anderen Posting schon andeutete, gibt es auch noch Knöpfe an denen man drehen kann. Da wäre ich dann durchaus auch an einer Diskussion interessiert.

Diesen Beitrag teilen


Link zum Beitrag
IRRer-Zins
vor 5 Stunden von coincidence:

Nun will ich kurz über das (Re)-Rebalancing sprechen. Auch da gibt es im Mittel 3 solche Ereignisse im Jahr. Dabei besteht ein Rebalancing-Zyklus aus 2 Rebalncings in eine unterschiedliche Richtung. Nimmt man dabei als Abweichungsintervall 6%, dann bringt dies 1,5 % des Depotwertes. Spread und Transaktionskosten sind im kleinen Promillebereich. Ich kann also ca. 5 % dank Rebalncing verdienen. (reines Alpha) bezogen auf das Gesamtportfolio. Damit könnte ich theoretisch ca 15% Rollverluste im Vix-Etf kompensieren, was eher viel zu hoch gegriffen ist.Man ist ja nur zu einem Drittel im Vix-Etf investiert.

Das lediglich mit dem Marktbeta zu vergleichen und so auf Alpha zu schließen greift mMn etwas zu kurz, da ein Teil des Alphas auf andere Faktoren wie Momentum o.ä. laden wird.

vor 5 Stunden von coincidence:

Bleibt also noch zu 2/3  sich im Depot befindliche gehebelte S&P-Etf. Im Prinzip hat man also 2*0,65  im Depot. Und für eine langfristige rendite muss man dann eben an den Buy-and-hold-Ansatz glauben. Ein Aufmerksamer leser könnte nun sagen, warum nicht gleich einen einfachen Etf auf den S&P ins Depot nehmen, wenn der doch langfristig ähnlich verformt, und dazu noch günstiger ist, und auch keine Transaktionskosten anfallen!? Dazu möchte ich folgendes sagen. Die Kombi aus beiden Werten ist, was die Volatilität anbetrifft, relativ unschlagbar. Fast schon auf RK1-Niveau. Das heißt der Panikfaktor in der (großen) Krise fällt fasst weg, und weicht eher der Freude auf Rebalancingchancen.

In der Praxis holt man sich mehr Marktrisiko normal über Kredithebel ins Portfolio.

Langfristig gehebelte ETFs statt Kredit sind dagegen auch eine Wette auf die Renditeverteilung (auf Tagesbasis) der Zukunft, in Optionssprache oft auch mit Long Gamma gleichgesetzt. Die kann aufgehen, muss sie aber nicht.

Mich interessiert, wie du die Vola auf RK1-Niveau gedrückt bekommst. Könntest du das mal zeigen?

vor 5 Stunden von coincidence:

Und meine Vermutung lautet, dass wir in den kommenden Jahren eher mehr Volatilität sehen, denn weniger.

 

Das Portfolio hat seine Stärken und seine Schwächen. Es gibt Phasen in denen es Geld verliert, und Phasen in denen es Geld gewinnt. Interessant ist natürlich primär, wie verhält sich mein Portfolio zum Markt(ein einfacher Welt-Etf oder ein Etf auf den S&P 500. In der Coronakrise hat sich gezeigt, dass das Portolio im Februar/März beim tiefsten Rückgang im S&P ca 40 % besser dastand. Hätte ich damals einfach "geswitched", und wäre auf einen normalen Etf umgestiegen,hätte ich diesen Vorsprung konservieren können.

Unter den getroffenen Annahmen ist das natürlich eine legitime Portfolioausrichtung, wobei auch klar wird, dass eine regelbasierte Strategie benötigt wird, die eingehalten wird.

Dennoch empfehle ich einen Blick in dieses Paper, das genau diese Art von Strategien darlegt; kurz- und langfristig (allerdings schon ein paar Jahre alt).

Etwas verkürzte Zusammenfassung: Geringerer Drawdown und geringere Schwankungen auf Kosten der Gesamtrendite.

Diesen Beitrag teilen


Link zum Beitrag
coincidence

@IRRer-Zins

 

"Mich interessiert, wie du die Vola auf RK1-Niveau gedrückt bekommst. Könntest du das mal zeigen?!"

 

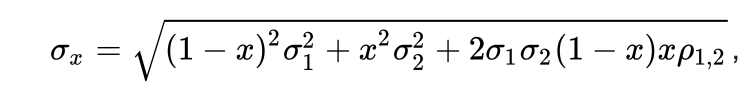
Gute Frage, mit einer kurzen Antwort. Ich kann es nicht! Da ist etwas der Gaul mit mir durchgegangen. Da hatte ich im Hinterkopf, dass auch Anleihen in der Krise etwas volatiler geworden waren. Grundsätzlich lässt sich ja die Volatilität einer Anlage aus zwei unterschiedlichen Werten als Summe der Einzelvolatilitäten multpliziert mit ihrem jeweiligen Anteil errechnen; davon ist dann noch ein Term abzuziehen, der die Korrelation zwischen den beiden Werten beschreibt. Und dieser Term zieht aufgrund des stark negativen Korrelationskoeffizienten (-0,9) die Volatilität des Gesamtportfolios doch auf einen verhältnismäßig geringen Wert. 

Sorry für die Übertreibung.

1940205213_Bildschirmfoto2021-07-04um18_22_58.png.c03d25d6105a2a6d759d35a2caebd469.png

 

aus Wikipedia.

https://de.wikipedia.org/wiki/Portfoliotheorie#Effiziente_Portfolios_aus_zwei_riskanten_Wertpapieren

Diesen Beitrag teilen


Link zum Beitrag
coincidence

noch ein Bildchen...:

229025582_Bildschirmfoto2021-07-04um18_43_07.thumb.png.ab538181c618eb92ecdd1dabf982c373.png

und für den letzten Monat: Man erkennt, dass die annualisierte Volatilität inzwischen sehr gering für das Portfolio ist..1617517973_Bildschirmfoto2021-07-04um18_46_58.thumb.png.0547475a955c8fa02b7f8b4d33ef11d3.png

 

vielleicht dann doch schon auf RK1 Niveau... na ja, fast..:-)

Diesen Beitrag teilen


Link zum Beitrag
coincidence

7018416_Bildschirmfoto2021-07-04um18_54_15.thumb.png.c7e7d14f539f1342e0cb0e0c50e34287.png

hier noch Daten vom Weg in den "Absturz". Nach dem 10 März bin ich leider ausgestiegen. Leider. Es wurde sogar noch besser. Ein Freundin, die auf mein Anraten das gleiche Portfolio hatte , hat sehr viel mehr Gewinn gemacht. Daher kann ich leider auch keine genauen Daten liefern, wie sich das Portfolio durch den ganzen Zyklus geschlagen hat. Aufgesetzt hatte ich das Depot am 16. 10. 2019. Damals hatten wir eine sehr geringe Volatilität. Es war also der ideale Einstiegszeitpunkt. Ist aktuell ein ebenso guter Einstiegszeitpunkt? Hmm? Nicht ganz, aber für mich war er schon vor 9 Monaten wieder gut genug. 

Noch was. Wenn man sich halt den verlauf meines Portfolios in den letzten Jahren (real oder backtracking) so anschaut, und vergleicht sie mit den Kurven die Herr Warnecke für sein "democratic Alpha" so ausweist ....

https://www.democratic-alpha.com

Der Chart unten. .....dann findet man sehr große Ähnlichkeit. Das "Crisis-Alpha" kommt eben bei ihm auch durch die Volatilität und das monatliche Rebalancing. 

Aber, das kann man auch selber günstiger machen. Und wahrscheinlich, wenn man ein paar zusätzliche Regeln befolgt, sogar besser.

Diesen Beitrag teilen


Link zum Beitrag
coincidence

und noch ne Ergänzung: Die Renditen, die in den Diagrammen (jene die Rendite und Volatilität gegenüberstellen) von justetf zu erahnen sind, sind um einiges zu hoch. Mindestens 10 % würde ich schätzen. Das liegt daran, dass das Programm, nicht weiß, dass es in jenen zurückliegenden Zeiträumen mehrere Rebaalncing-Events stattgefunden hätten. Und wenn zumeist nur auf eine Seite umgeschichtet wird, dann drückt dies natürlich den Ertrag des Portfolios. Den Rebalancing-Bonus gibt es erst wieder, wenn in "die andere Richtung" umgeschichtet wird. Aber in den Diagrammen ging es mir auch eher um die Darstellung der Volatilität, die jedoch durch das Rebalancing tendenziell noch weiter gedrückt werden dürfte.

Diesen Beitrag teilen


Link zum Beitrag
coincidence

sorry, auch wenns langsam nervt. Aber ich hab' noch nen Chart. Ich weiß ja jetzt, wie einfach es ist, hier Bilder hochzuladen. Aber ich denke Einer geht noch!1010170371_Bildschirmfoto2021-07-04um19_27_30.thumb.png.cc95b04cbe6954764b2213c1e60d3c6b.png

 

Hier ist die Entwicklung des Portfolios in diesem Jahr abzulesen. Und man sieht die deutliche Underperformance gegenüber einem einfachen Welt-Etf. Wer jetzt schon damit geliebäugelt hätte, meinem Portfolio eine Chance zu geben, ist womöglich jetzt enttäuscht, und wird davon Abstand nehmen. Warum das Portfolio entsprechend -speziell im Zeitraum Mitte Mai-Mitte Juni- sich so schlecht geschlagen hat, hat wohl mehrere Gründe. Ein Grund dürfte im Rebalancing liegen. Ein zweiter Grund liegt darin, dass wir in jenem Zeitraum immer noch einen starken Rückgang im Vix hatten, und zuletzt liegt es auch daran, dass in den ersten zwei Monaten des Jahres das Portfolio eigentlich zu gut lief. Wir hatten einen an sich zu hohen Vix. Dies glich sich dann im zweiten Quartal wieder aus. Inzwischen ist seit einigen Wochen der Vix, trotz Höchstständen im S&P nicht mehr so stark gefallen. Mal schauen, wie es weiter geht...

Diesen Beitrag teilen


Link zum Beitrag
DST
· bearbeitet von DST

Die Renditeerwartung des VIX-ETF ist so negativ, dass ich niemals auch nur einen Cent in dieses Teil investieren würde. In meinen Augen taugt das Ding maximal zum Zocken, wenn man glaubt, dass bald ein Crash bevorsteht, und so eine Wette dürfte meist nach hinten losgehen. Seid ihr wirklich schon so alt, dass Ihr keine längeren Drawdows aushalten könntet? Wer sich traut in einen gehebelten ETF zu investieren sollte eigentlich keine Angst vor Kursverlusten haben.

 

@IRRer-Zins hat es gut auf den Punkt gebracht: Die Versicherung gegen Kursverluste kostet Geld, und deine dürfte besonders teuer sein. Selbst der an sich logische Umkehrschluss, dass man mit dem Verkauf von Versicherungen (Optionen) eine Renditeprämie bekommt, wird zwar von unzähligen Bloggern, Influencern und Co. propagiert (u. a. mit der Hoffnung auf Neukunden-Provisionen von IB-Resellern), doch selbst das wage ich zu bezweifeln. In dem längsten mir bekannten Backtest einer S&P 500 Stillhalterstrategie konnte zwar tatsächlich "echtes Alpha" (Rendite/Risiko) generiert werden, aber rein renditemäßig konnte der S&P 500 langfristig nicht geschlagen werden. Die übliche Propaganda grenzt damit m. E. an Abzocke, zumindest bei den (meist) einfach gestrickten Strategien.

 

Am einfachsten, sichersten und kostengünstigsten kann man sein Risiko mit Cash reduzieren.

Diesen Beitrag teilen


Link zum Beitrag
coincidence
vor 5 Minuten von DST:

Die Renditeerwartung des VIX-ETF ist so negativ, dass ich niemals auch nur einen Cent in dieses Teil investieren würde. In meinen Augen taugt das Ding maximal zum Zocken, wenn man glaubt, dass bald ein Crash bevorsteht, und so eine Wette dürfte meist nach hinten losgehen. Seid ihr wirklich schon so alt, dass Ihr keine längeren Drawdows aushalten könntet? Wer sich traut in einen gehebelten ETF zu investieren sollte eigentlich keine Angst vor Kursverlusten haben.

 

@IRRer-Zins hat es gut auf den Punkt gebracht: Die Versicherung gegen Kursverluste kostet Geld, und deine dürfte besonders teuer sein. Selbst der an sich logische Umkehrschluss, dass man mit dem Verkauf von Versicherungen (Optionen) eine Renditeprämie bekommt, wird zwar von unzähligen Bloggern, Influencern und Co. propagiert (u. a. mit der Hoffnung auf Neukunden-Provisionen von IB-Resellern), doch selbst das wage ich zu bezweifeln. In dem längsten mir bekannten Backtest einer S&P 500 Stillhalterstrategie konnte zwar tatsächlich "echtes Alpha" (Rendite/Risiko) generiert werden, aber rein renditemäßig konnte der S&P 500 langfristig nicht geschlagen werden. Die übliche Propaganda grenzt damit m. E. an Abzocke, zumindest bei den (meist) einfach gestrickten Strategien.

 

Am einfachsten, sichersten und kostengünstigsten kann man sein Risiko mit Cash reduzieren.

 

@DST

 

Ich will hier niemanden abzocken, oder gar bekehren, aber vielleicht solltest du deine Aussagen nicht so leichtfertig treffen. Es ist ein essenzieller Teil der (modernen)Portfoliotheorie, dass man das Portfolio als Ganzes betrachten muss. Es kommt auf das Zusammenspiel der einzelnen Komponenten an. Dass dies vielelicht dann Sinn machen könnte, sollte man zumindest in Erwägung ziehen, und nicht den einen Wert aufgrund fehlender Rendite, und den anderen aufgrund eines zu hohen Risikos ausschließen. Ob das in meinem Fall so optimal funktioniert sei dahingestellt. Deine Argumentation mit Bezugnahme auf einzelne Werte läuft allerdings ins Leere.

Diesen Beitrag teilen


Link zum Beitrag
DST
· bearbeitet von DST

Drawdown und Sharp-Ratio scheinen bei dieser Strategie in der Tat aufgewertet zu werden, aber dieser Vorteil geht mit einer deutlich niedrigeren Rendite(erwartung) einher [Portfolio Visualizer, 2021]. Der Verlust der Steuerstundung für das beim Backtest unterstellte jährliche Rebalancing wird dabei noch nicht mal berücksichtigt. Die Strategie blüht kurzfristig in Zeiten hoher Volatilität bzw. bei Crashs auf, aber langfristig dürfte man mit (kostenlosem) Cash besser bedient sein. Mit anderen Worten ist diese Strategie eine Wette auf eine hohe Volatilität bzw. einen Crash, aber bekannterweise sind Investoren eher schlecht darin die Zukunft vorherzusehen.

 

return.thumb.png.4d0be0770b8dc24cacccef21d9d0b031.png

 

return2.thumb.png.4ef833365f1f242f7ab5132ef609b39f.png

 

 

Opportunistisches Rebalancing mit Larry Swedroes 5/25 Regel führt sogar zu einem etwas schlechteren Ergebnis mit nahezu identischen Sharp-Ratios:

 

return3.thumb.png.21d0c89f4da39293bbd4268d4f6f6c8c.png

Diesen Beitrag teilen


Link zum Beitrag
coincidence

@DST

 

Danke, dass du dir nochmals die Mühe gemacht hast. Ich sehe schon, überzeugen werde ich dich nicht können. Ich hab' zwar ein abweichendes Portolio, und auch eine etwas andere Rebalancingstruktur, aber gut, kann man ja in meinen vorherigen Postings nachlesen. Und ja, mein Ansatz ist nicht der allein selig machende. Und er ist auch womöglich nur in bestimmten Marktphasen mit Gewinn einsetzbar. Aber darüber lohnt es sich womöglich nachzudenken. Zum Beispiel die aktuelle Lage: Wir sind auf Allzeithochs im S&P. Wie wird es weiter gehen? Mein Modell partizipiert an einem Aufwärtstrend, jedoch nicht so sehr, wie ein reiner Index. Gleichzeitig bietet es Schutz für eine Korrektur oder gar Absturz. Sollte es zu einem Absturz mit steigender Volatilität kommen, dann hat es seine beste Performance (im Bezug zum Markt). Für die "nahe Zukunft" bietet es also durchaus Vorteile. 

Anders sieht es tatsächlich aus, wenn wir von einer hohen Volatilität nach einem Kurseinbruch in eine Erholungsphase hineinlaufen. Hier "performt" das Modell schlechter als der Markt. Aber, wer sagt denn, dass wir in solch einem Punkt (Korrektur -20% ) das Modell stur weiterführen müssen. Man kann dann durchaus Anpassungen durchführen, und den Vix-Anteil im Depot je nach Marktlage anpassen. Über solche Strategien wollte ich eigentlich diskutieren. Mal sehen, was noch kommt!?:-)

Diesen Beitrag teilen


Link zum Beitrag
DST
vor 1 Stunde von coincidence:

Ich hab' zwar ein abweichendes Portolio...

Da der ACWI in dem Zeitraum eine US-Markt-Korrelation von 0,96 hatte unterscheiden sich die Ergebnisse nicht all zu sehr, außer dass die Sharp-Ratios und Renditen geringer ausfielen und die VIX-Strategie einen höheren Drawdown hatte [Portfolio Visualizer, 2021]:

 

1.thumb.png.e1f93e31c10ca43b1688f5dc6da65d4c.png

 

2.thumb.png.1dcbffb16b0111c8c4d2f9c695a6e5b2.png

 

vor 1 Stunde von coincidence:

Ich sehe schon, überzeugen werde ich dich nicht können.

Da selbst eine simple 50/50 Strategie mit Ausnahme der Corona-Krise besser perfomt hat dürfte das zumindest sehr schwer werden:

 

1.thumb.png.fa2f39c8079035f336af836242d44536.png

 

2.thumb.png.5da96fde571362ecd9d2ee330c2312aa.png

 

vor 1 Stunde von coincidence:

Wir sind auf Allzeithochs im S&P. Wie wird es weiter gehen?

Ganz einfach: Gut oder schlecht. Kurzfristig könnte deine Strategie daher die bessere sein. Langfristig aber dürfte eine reine Aktienstrategie sowie eine Diversifikation mit Cash besser als eine vergleichbare mit VIX-Futures sein.

 

vor 1 Stunde von coincidence:

Mein Modell partizipiert an einem Aufwärtstrend, jedoch nicht so sehr, wie ein reiner Index. Gleichzeitig bietet es Schutz für eine Korrektur oder gar Absturz.

Das kann man auch mit Cash.

 

vor 1 Stunde von coincidence:

Sollte es zu einem Absturz mit steigender Volatilität kommen, dann hat es seine beste Performance (im Bezug zum Markt). Für die "nahe Zukunft" bietet es also durchaus Vorteile. 

Auf den Absturz letzten Jahres mussten Crash-Propheten mehr als 10 Jahre warten, und dann wurde er noch nicht mal wegen zu hohen Bewertungen sondern wegen einem Virus ausgelöst. Mir ist nicht bekannt, dass so ein Crash in der "nahen Zukunft" schon wieder kommen soll. VIX und VDAX waren seit mehr als einem Jahr nicht mehr so niedrig. Die Angst vor einem erneuten Crash scheint also außerhalb des Finanzwesir-Blogs nicht all zu ausgeprägt zu sein.

 

vor 1 Stunde von coincidence:

Man kann dann durchaus Anpassungen durchführen, und den Vix-Anteil im Depot je nach Marktlage anpassen. Über solche Strategien wollte ich eigentlich diskutieren.

Market-Timing kann funktionieren (bin selbst bis dato erfolgreich damit unterwegs), aber die meisten scheitern dabei, zumal die Gewinnchancen meist gegen einen stehen. Eine hohe Volatilität kann noch höher werden und eine niedrige noch niedriger, gleiches gilt für Aktienkurse.

Diesen Beitrag teilen


Link zum Beitrag
coincidence

@DST 

 

Ich wollte nur anmerken, dass mein Depot aus 2/3 DBX0B5 (2xgehebelt) und 1/3 LYX0PM (vix) besteht. Im vergleich zu einem 80(einfach)/20 habe ich damit den Faktor 5/3.

1/3 + 2*2/3= 5/3 was ungefähr 1,67 entspricht. Das wirkt sich mit diesem Faktor direkt auf die Kursentwicklung aus, als auch auf das Rebalancing-Volumen. 

Damit kommt man dann schon an einen reinen ETF ran...

 

Ein weiterer Aspekt ist natürlich, dass es etwas "unfair" ist, mit dem Jahr 2012 zu beginnen. Da hatten wir dank Euro-Krise sehr hohe Volatilitätswerte, und es wäre damals sicher niemand auf die Idee gekommen solch ein Portfolio zu starten.1160533004_Bildschirmfoto2021-07-06um13_45_35.thumb.png.9314d38777eb788e1fd897f5e1ae283b.png

 

Vix der letzten 30 Jahre..

1254854926_Bildschirmfoto2021-07-06um13_47_12.thumb.png.9a2e6f6732021e249eb6c78376497dbe.png1254854926_Bildschirmfoto2021-07-06um13_47_12.thumb.png.9a2e6f6732021e249eb6c78376497dbe.png

 Vix der letzten 5 Jahre

 

Gute Einstiegspunkt sind also immer Zeiten, in denen sich der Vix auf ein relativ stationäres Niveau zwischen 12-15 eingependelt hat. Unter dieses Niveau fällt er kaum. Soviel "Unruhe " ist immer im Markt. Wie schon angedeutet, verhält es sich mit dem Etf etwas anders. Der verliert kontinuierlich (Rollverluste/Contango), aber das ist verkraftbar! Für kräftige Umschichtungen und Kursgewinne reichen die Vix-Peaks die wir fast jedes Jahr einmal haben allemal aus. Ein Crash ist also nicht das sehnsüchtig erwartete Szenario, sondern schlicht eine zusätzliche Chance, und von Panik kann erst gar keine Rede sein. Welche Erwartungshaltung hat man also? Es geht immer weiter bergauf, oder es geht langsfristig bergauf, aber es gibt immer wieder Korrekturen (ca. 10% Rückgang) mit der Gefahr größerer Einbrüche alle 5-10 Jahre? Ich neige der 2. Variante zu.

 

@DST

 

schauen sie sich nochmals ihren unteren Chart an. Wie gesagt können sie bei meinem Portfolio noch den Faktor 1,66 nehmen. (Es ist ist nicht ganz so viel, weil der Vix-Anteil höher ist(er hat einen höheren TER/ genau so ist der TER des DBX0B5 höher) 1,5 reicht. Und wenn sie dann noch den Nullpunkt entsprechend "anpassen", so dass alle Vergleichsportolios im Nullpunkt starten, dann könnten sie vielleicht ins Grübeln kommen!?

Diesen Beitrag teilen


Link zum Beitrag
DST
· bearbeitet von DST
vor 38 Minuten von coincidence:

Ein weiterer Aspekt ist natürlich, dass es etwas "unfair" ist, mit dem Jahr 2012 zu beginnen. Da hatten wir dank Euro-Krise sehr hohe Volatilitätswerte, und es wäre damals sicher niemand auf die Idee gekommen solch ein Portfolio zu starten.

Dafür gibt es die rollierenden Renditen.

 

Zitat

schauen sie sich nochmals ihren unteren Chart an. Wie gesagt können sie bei meinem Portfolio noch den Faktor 1,66 nehmen. (Es ist ist nicht ganz so viel, weil der Vix-Anteil höher ist(er hat einen höheren TER/ genau so ist der TER des DBX0B5 höher) 1,5 reicht. Und wenn sie dann noch den Nullpunkt entsprechend "anpassen", so dass alle Vergleichsportolios im Nullpunkt starten...

Da muss man nichts "anpassen". Die Charts geben die Renditen wieder, die nach 36 Monaten (3 Jahre) bzw. 60 Monaten (5 Jahre) bis zum entsprechenden Zeitpunkt der X-Achse erzeugt wurden.

 

Zitat

...dann könnten sie vielleicht ins Grübeln kommen!?

Nicht wenn man die passenden Benchmarks verwendet [Portfolio Visualizer, 2021]:

 

1.thumb.png.1dc700d9152d9d05ef2a5ca731d6ba9e.png

 

2.thumb.png.1e747d5552daec45d88f1209958b4c59.png

Diesen Beitrag teilen


Link zum Beitrag

Erstelle ein Benutzerkonto oder melde dich an, um zu kommentieren

Du musst ein Benutzerkonto haben, um einen Kommentar verfassen zu können

Benutzerkonto erstellen

Neues Benutzerkonto für unsere Community erstellen. Es ist einfach!

Neues Benutzerkonto erstellen

Anmelden

Du hast bereits ein Benutzerkonto? Melde dich hier an.

Jetzt anmelden

×
×
  • Neu erstellen...