Zum Inhalt springen
Mirakel_23

Life-cycle Investing and Leverage: Buying Stock on Margin

Empfohlene Beiträge

Vogelhaus
vor 10 Minuten von Bigwigster:

Es muss ja nicht unbedingt gleich gehebeltes investieren sein. Die Erkenntnis das evtl. 100% Aktien bis zu einem gewissem Alter sinnvoller sein können als eher Risiko/Rendite optimierende Ansätze wie ARERO ist doch auch schon hilfreich.

Völlig richtig. Genau das hatte ich von Jack Bogles Buch Common Sense Investing auch entnommen und umgesetzt.

In Interviews hat er gesagt, das beste wäre eigentlich 200%, 300% aber es sei schwierig umzusetzen, man bräuchte jemanden der einen am Markttief "bailoutet" ;) 

Diesen Beitrag teilen


Link zum Beitrag
Glory_Days
· bearbeitet von Glory_Days
vor 20 Minuten von Bigwigster:

Es muss ja nicht unbedingt gleich gehebeltes investieren sein. Die Erkenntnis das evtl. 100% Aktien bis zu einem gewissem Alter sinnvoller sein können als eher Risiko/Rendite optimierende Ansätze wie ARERO ist doch auch schon hilfreich.

Das stimmt - die entscheidende Erkenntnis von LCI ist die Betrachtung der Aktienquote bezogen auf das True Total Wealth (und nicht auf das liquide Vermögen). Dann relativiert sich eine anfängliche 100%-Allokation bezogen auf das liquide Vermögen sehr schnell und reduziert langfristig bezogen auf den Vermögensendwert das Risiko zu anderen vergleichbaren Allokationen mit identischem Gesamtexposure (vor dem Hintergrund, dass zu zu Beginn des Lebensanlagezyklus nur ein sehr geringer Teil des True Total Wealth investiert werden kann und das Sequence-of-Returns Risiko daher meistens hoch ausfällt).

Zitat

[F]ollowing a 100/S allocation is well worthwhile [S is the constant target fraction of the True Total Wealth]. Compared to the constant 75 percent rule, a 100/58 strategy yields the same average return but lowers the standard deviation by 24 percent.

Ian Ayres/Barry Nalebuff: Lifecycle Investing - A New, Safe, and Audacious Way to Improve the Performance of Your Retirement Portfolio

Diesen Beitrag teilen


Link zum Beitrag
Gast231208
vor 1 Minute von Vogelhaus:

In Interviews hat er gesagt, das beste wäre eigentlich 200%, 300% aber es sei schwierig umzusetzen, man bräuchte jemanden der einen am Markttief "bailoutet" ;) 

Vielleicht spielt da ja bei den Foren-Jungspunden (also alle die vom Alter noch in den Jugendorganisationen der großen Volksparteien Platz finden :D) der Papa mit -> Wenn es echt dumm läuft: vorgezogener Zugriff auf das Erbe. 

Diesen Beitrag teilen


Link zum Beitrag
Glory_Days
· bearbeitet von Glory_Days
vor 18 Minuten von Vogelhaus:

In Interviews hat er gesagt, das beste wäre eigentlich 200%, 300% aber es sei schwierig umzusetzen, man bräuchte jemanden der einen am Markttief "bailoutet" ;) 

vor 9 Minuten von pillendreher:

Vielleicht spielt da ja bei den Foren-Jungspunden (also alle die vom Alter noch in den Jugendorganisationen der großen Volksparteien Platz finden :D) der Papa mit -> Wenn es echt dumm läuft: vorgezogener Zugriff auf das Erbe. 

Das "Bailout" übernimmt das laufende Einkommen, bei den meisten wohl in Form des Humankapitals. Man darf nicht vergessen, dass ein (extremes) Markttief bisher immer die zukünftigen Renditen (extrem) erhöht hat (zumindest solange man an Erholungen glaubt und nicht wie Crashpropheten an den endgültigen Kollaps). Die Ausgangsbasis kann bei einem hohen Hebel dann stark dezimiert sein, aber die gehebelte Erholung fällt dann auch sehr, sehr stark aus und gerade dann wird man, falls man schon in einer späteren Phase war, wieder in die gehebelte Phase zurückfallen.

Übrigens spielen zukünftig zu erwartende Erben bei der Betrachtung des True Total Wealths natürlich auch eine Rolle (sofern diese vom zukünftigen Erblasser gerade risikolos investiert sind) - wenngleich diese vom Zeitpunkt her schlecht planbar sind, was bei der Abzinsung der Barwertberechnung entsprechend berücksichtigt werden muss.

Zitat

His family was close and all the grandkids were assured of receiving a hefty inheritance. But grandma’s money was left languishing largely in fixed-income securities.We now think Ian’s friend should have stopped cajoling his grandmother and just reallocated the money himself. He could have replaced some of the bonds in his portfolio with stock (and even used leverage if need be) to start exposing his expected inheritance to the stock market before his grandmother passed away.

Inheritance in America is increasingly the phenomena of the very old (the surviving spouse in her 80s or 90s) giving to the old (the children in their 60s or 70s). Even grandchildren now are often in their 40s by the time they receive a check from the dearly departed’s estate. If you’re lucky enough to have an inheritance in your future that is currently invested in bonds, you don’t have to convince your grandmother to buy stock, you can do it yourself.

Ian Ayres/Barry Nalebuff: Lifecycle Investing - A New, Safe, and Audacious Way to Improve the Performance of Your Retirement Portfolio

Tatsächlich empfehlen die Autoren, dass Eltern für Kinder eine risikoreiche Anlage ab Geburt vornehmen:

Zitat

The benefits from the gift of enhanced time diversification are so great that some parents who otherwise were planning to invest most of their money in relatively safe, nonstock assets might be moved toward more of a “buy young” strategy on the part of their children. Indeed, the intergenerational bang-for-the-buck is so great that some parents who had not been planning on making a bequest might be moved to do so, and those planning to leave an inheritance may increase the amount.

Ian Ayres/Barry Nalebuff: Lifecycle Investing - A New, Safe, and Audacious Way to Improve the Performance of Your Retirement Portfolio

Diesen Beitrag teilen


Link zum Beitrag
Vogelhaus
vor 9 Minuten von Glory_Days:

Das "Bailout" übernimmt das laufende Einkommen

Also man meldet Insolvenz an und fängt von neuem wieder an?

Wie lange ist die Wohlverhaltensperiode aktuell in Deutschland?

 

Ob das alles noch funktioniert bei (Konsum)-Kreditzinsen um 6% 

Diesen Beitrag teilen


Link zum Beitrag
Glory_Days
· bearbeitet von Glory_Days
vor 33 Minuten von Vogelhaus:

Also man meldet Insolvenz an und fängt von neuem wieder an?

Wie lange ist die Wohlverhaltensperiode aktuell in Deutschland?

 

Ob das alles noch funktioniert bei (Konsum)-Kreditzinsen um 6% 

Warum Insolvenz? Man sollte natürlich eine Anlagemöglichkeit wählen, bei der man nicht mehr verlieren kann, als man einsetzt (was heutzutage bei gehebelten Investments möglich ist). Das kurzfristige Risiko höherer Schwankungen wird mit einem geringeren langfristigen Risiko beim Vermögensendwert belohnt. So wirkt sich eben eine Reduzierung des Sequence-of-Returns-Risikos (SoRR) aus. Unabhängig davon wird man mit einem Hebelfaktor zwischen 1 und 2 hoffentlich nie alles verlieren (wenngleich insbesondere mit 2er-Hebeln sehr hohe Drawdowns von weit über -95% möglich sind; z.B. wäre der Nasdaq-100 TR (2x) in Folge der Dotcom-Krise um -98.27% eingebrochen, der 1.5x immerhin noch um -96,35%). Anders herum könnte man sich die Frage stellen:

Wenn man zu einem Zeitpunkt x in der Zukunft bereit sein wird, die Summe y investiert zu haben - warum sollte man das nicht bereits heute tun (sofern möglich)?

Und es geht überhaupt nicht um den Hebel (an dem sich viele aufhängen ohne das Konzept an für sich zu erkennen), sondern um ein möglichst rationales Vorgehen hinsichtlich dem SoRR.

vor 33 Minuten von Vogelhaus:

Ob das alles noch funktioniert bei (Konsum)-Kreditzinsen um 6% 

Zitat

We have assumed the margin rate averaged just 20 basis point above the return on government bonds (5.0% vs. 4.8%, as shown in Table III). [...] Yet Table XII shows that even an invariant leveraged strategy dominates the 100% stock strategy for margin rates up to and including 200 basis points above the bond rate. The effective cost of leveraging through stock index contracts is well below this cutoff.
 

Ian Ayres/Barry J. Nalebuff: Life-Cycle Investing and Lverage: Buying Stock on Margin can Reduce Retirement Risk

Entscheidend für den gehebelten Anteil ist ausschließlich die Risikoprämie nach Kosten, d.h. die Rendite über dem risikolosen Zins + Kreditaufschlag.

Diesen Beitrag teilen


Link zum Beitrag
qwertzui
vor 40 Minuten von Bigwigster:

Es muss ja nicht unbedingt gleich gehebeltes investieren sein. Die Erkenntnis das evtl. 100% Aktien bis zu einem gewissem Alter sinnvoller sein können als eher Risiko/Rendite optimierende Ansätze

Defacto hat man mit Buy&Hold schon durch die Steuerstundung ein gewisses Fremdkapital im Einsatz. Diese Form des Fremdkapitals hat sogar den Vorteil, dass sie sich automatisch reduziert, wenn die Märkte absacken. Außerdem ist es zinsfrei, benötigt keine gute Bonität und kann nicht gekündigt werden :king:

Diesen Beitrag teilen


Link zum Beitrag
Vogelhaus
vor 55 Minuten von qwertzui:

Defacto hat man mit Buy&Hold schon durch die Steuerstundung ein gewisses Fremdkapital im Einsatz. Diese Form des Fremdkapitals hat sogar den Vorteil, dass sie sich automatisch reduziert, wenn die Märkte absacken. Außerdem ist es zinsfrei, benötigt keine gute Bonität und kann nicht gekündigt werden :king:

Ist das oder wird das nicht eh durch die Vorabpauschale (partiell) weggetragen. 

Diesen Beitrag teilen


Link zum Beitrag
qwertzui
vor einer Stunde von Vogelhaus:

Ist das oder wird das nicht eh durch die Vorabpauschale (partiell) weggetragen. 

Teilweise ja, abhängig vom Basiszins. Bisher war die Vorabpauschale allerdings zu vernachlässige. 

Diesen Beitrag teilen


Link zum Beitrag
Saek
3 hours ago, Bigwigster said:

Es muss ja nicht unbedingt gleich gehebeltes investieren sein. Die Erkenntnis das evtl. 100% Aktien bis zu einem gewissem Alter sinnvoller sein können als eher Risiko/Rendite optimierende Ansätze wie ARERO ist doch auch schon hilfreich.

:thumbsup:

3 hours ago, Vogelhaus said:

man bräuchte jemanden der einen am Markttief "bailoutet"

2 hours ago, Glory_Days said:

Man sollte natürlich eine Anlagemöglichkeit wählen, bei der man nicht mehr verlieren kann, als man einsetzt (was heutzutage bei gehebelten Investments möglich ist).

Ich plane zu verkaufen/den Kredit zu reduzieren falls nötig, da brauchts keinen Bailout. D.h. Phase 1 = konstanter Hebel, nicht konstanter Kreditbetrag und nach oben floatender Hebel o.ä.

Damit man überhaupt mehr als den Einsatz verlieren kann, muss schon einiges schiefgehen oder man muss sich ungeschickt anstellen. Mit LevETFs geht es schonmal nicht, mit Futures auch nicht, mit Wertpapierkredit ist es – je nach Broker – zumindest recht unwahrscheinlich.

 

Diesen Beitrag teilen


Link zum Beitrag
Vogelhaus

Was ist denn nun mit KO-Zertifikaten. Sagen wir Hebel 2. 

Gibt es dazu Auswertungen?

Diesen Beitrag teilen


Link zum Beitrag
Saek
Just now, Vogelhaus said:

Was ist denn nun mit KO-Zertifikaten. Sagen wir Hebel 2. 

Gibt es dazu Auswertungen?

Damit kenne ich mich nicht aus, aber Google sagt, es gibt keine Nachschusspflicht? Wie soll dann eine Situation entstehen, in der ein "Bailout" notwendig ist?

Sinnvoll wäre es, zu verkaufen, wenn der Hebel stark ansteigt (z.B. 2.5 oder 3 statt 2) und ein anderes Zertifikat mit dann niedrigerem Hebel zu kaufen. Falls KO-Zertifikate so funktionieren, dass der Satz Sinn macht.

Diesen Beitrag teilen


Link zum Beitrag
Vogelhaus
vor 18 Minuten von Saek:

Damit kenne ich mich nicht aus, aber Google sagt, es gibt keine Nachschusspflicht? Wie soll dann eine Situation entstehen, in der ein "Bailout" notwendig ist?

Sinnvoll wäre es, zu verkaufen, wenn der Hebel stark ansteigt (z.B. 2.5 oder 3 statt 2) und ein anderes Zertifikat mit dann niedrigerem Hebel zu kaufen. Falls KO-Zertifikate so funktionieren, dass der Satz Sinn macht.

ja, das Ding verfällt einfach wertlos. Bailout ist nur bei Fremdfinanzierung nötig.

Diesen Beitrag teilen


Link zum Beitrag
Glory_Days
· bearbeitet von Glory_Days

In Kapitel 5 des Buches wird im Unterkapital 'A Road That Never Ends?' der Fall von Stiftungen behandelt, die bis in die unendliche Zukunft von ihren Alumni Spendengelder erhalten. Dabei wird im Wesentlichen auf zwei Punkte hingewiesen:

  • Stiftungen sollten den Barwert ihrer zukünftigen Einnahmen in Form von Spendengelder bei der heutigen Allokation des risikoreichen Anteils berücksichtigen und sich am True Total Wealth orientieren:
    Zitat

    We do just this in the third column of the table, assuming that alumni giving stays constant indefinitely into the future, but discounting these future contributions just as we do future salary at a 2.56 percent real risk-free interest rate. We think the real interest rate is the right one to use, as donations are likely to keep pace with inflation. Indeed, as the institutions grow in size the donor pool will be ever larger, and so donations will likely grow faster than inflation.

    Durch die Abzinsung mit dem risikofreien Realzins liefern (real) konstante unendliche lange zukünftige Einnahmen einen endlichen Barwert/Beitrag zum True Total Wealth.
  • Aufgrund einer möglichen Korrelationen der zukünftigen Einnahmen mit dem Aktienmarkt muss generell berücksichtigt werden, dass Teile des Barwertes der zukünftigen Einnahmen bereits heute risikoreich investiert sein könnten und daher zu einem konstanten risikoreichen Anteil am True Total Wealth beitragen.

Wenn man das Konzept jenseits von Stiftungen in Form eines generationenübergreifenden Konzepts (Familienvermögen) weiterdenkt und davon ausgegangen wird, dass Einnahmen zukünftiger Generationen eine geringe Korrelation zum Aktienmarkt haben, würde das zu einem wesentlich längeren Zeitraum eines gehebelten Investments führen (wenn die Zielallokation des risikoreichen Anteils am True Total Wealth hoch genug ist) im Vergleich zu einer isolierten Lifecycle Betrachtung einer Einzelperson.

Diesen Beitrag teilen


Link zum Beitrag
indianahorst

Eine weitere Frage zum LCI, die bisher in diesem Faden - soweit ich es gesehen habe, falls ich etwas überlesen habe, dann gerne Link setzen - nur am Rande zur Sprache kam, aber eigentlich sehr wesentlich ist:

Wie sollte sich der Hebelfaktor in Abhängigkeit des Alters (genauer: verbleibender Anlagezeitraum) entwickeln?

 

Hier wurde das Thema kurz angeschnitten:

 

 

Und hier (wobei hier die Aktienquote nur 100% beträgt und die Grafik daher fürs gehebelte LCI nicht wirklich passt):

 

 

Natürlich hängt der Verlauf des Hebelfaktors auch von der gewünschten End-Allokation ab, also z.B. 60/40 (60% Aktien, 40% risikoarm) ab Renteneintritt.

 

Lässt sich eine Abschätzung treffen, bis zu welchem verbleibenden Anlagezeitraum welcher Hebelfaktor "sicher" ist? Gibts empirische Untersuchungen dazu?

 

 

Diesen Beitrag teilen


Link zum Beitrag
indianahorst
Am 10.7.2023 um 21:18 von Glory_Days:

@indianahorst:

Unter der Annahme eines Anlegers mit konstanter relativer Risikoaversion lautet die optimale Allokationsregel, dass der Anteil des risikoreichen (und risikolosen) Anteils am True Total Wealth W(t) konstant gehalten werden muss (der proz. Anteil ist also unabhängig von W(t) und von t). Darüber hinaus kann diese optimale Allokationsregel unabhängig von der Kenntnis der späteren Entnahmeregel berechnet werden, sofern vorausgesetzt wird, dass diese ebenfalls optimal erfolgen wird (oder unabhängig vom angesparten Vermögen zu Beginn der Entnahme ist).

Die LCI-Strategie kennt drei Phasen:

  • Phase I: Die konstante Zielallokation am True Total Wealth kann selbst mit maximalem Fremdkapitalhebel nicht erreicht werden (Leveraged)
  • Phase II: Beginnt sobald die konstante Zielallokation am True Total Wealth mit vollem Hebel erreicht wurde (Deleveraging)
  • Phase III: Beginnt sobald die konstante Zielallokation am True Total Wealth ungehebelt erreicht wurde (Unleveraged)

In Phase I (Leveraging) muss zunächst einmal nur der maximale Fremdkapitalhebel definiert werden - da man sowieso noch genügend weit entfernt von der konstanten Zielallokation am True Total Wealth sein wird. In dieser Phase sollte der proz. Anteil des risikoreichen Anteils am True Total Wealth kontinuierlich ansteigen, da immer mehr der zukünftigen Einnahmen in risikoreiche Assets investiert werden können und ggf. durch positive Wertentwicklung der vorhandenen Investitionen. Sobald man dann einen nennenswerten proz. Anteil erreicht hat, sollte man sich abhängig von der erwarteten Risikoprämie & Volatilität und seiner eigenen relativen Risikoaversion Gedanken machen, wie hoch die eigene konstante Zielallokation ausfallen soll. Sobald diese mit Hebel erreicht wurde, kann Phase II (Deleveraging) beginnen. Irgendwann wird kein Hebel mehr benötigt und Phase III (Unleveraged) beginnt, da das liquide Vermögen für die konstante Zielallokation am True Total Wealth ausreicht. Die Anlagequote kann dann weiter abgesenkt werden, und konvergiert gegen die Zielallokation, sobald nur noch liquides Vermögen vorliegt, das investiert werden kann. Qualitativ sehen die verschiedenen Phasen so aus (in der Realität muss man natürlich ab Phase II Rebalancing betreiben und sollte dafür aus Gründen der Praktikabilität sinnvolle Schwellwerte definieren). Je nach Verlauf der Anlage kann man auch von einer höheren Phase in eine niedrigere Phase zurückfallen.

 

grafik.png.59152cbc196b4e8942d661327656c527.png

 

Ian Ayres/Barry Nalebuff: Lifecycle Investing - A New, Safe, and Audacious Way to Improve the Performance of Your Retirement Portfolio

Danke für die ausführliche Antwort.

Allerdings sind Wang, Li und Liu im Paper Understanding the leveraged life cycle investment strategy for defined-contribution plan investors anderer Ansicht, was Phase 2 betrifft:

 

Zitat

More recently, researchers have investigated investment strategies employing a leverage factor.
Ayres and Nalebuff (2013) propose a leveraged life cycle strategy that invests a constant
percentage of the present value of lifetime saving in stocks. This strategy is built on the notion of
using leverage when the present value of future contribution is large relative to current savings, and
then reducing leverage and finally un-leverage as current savings grow and the present value of
future contributions declines. Specifically, a leveraged life cycle strategy contains three phases. In
phase one, investors’ retirement savings are leveraged at 2:1 and fully invested in stocks. In phase
two, investors start to deleverage when the current savings exceed 20 per cent of discount lifetime
savings (discounted at a real risk-free rate of 2.56%), until the current savings hit the desired level
of market exposure, set at 50 per cent of discount lifetime savings allocated to stocks. In phase
three, investors maintain the market exposure at the desired level (50%), and the leverage is no longer required.

 

Demzufolge sollte man den Hebel reduzieren (und in Phase 2 eintreten) wenn man 20% des True Total Wealth erreicht hat. Das Paper ist hier zu finden:

https://www.google.com/url?sa=t&rct=j&q=&esrc=s&source=web&cd=&cad=rja&uact=8&ved=2ahUKEwj9prXzzJWAAxW_Z_EDHTM9B2UQFnoECBUQAw&url=https%3A%2F%2Fwww.griffith.edu.au%2F__data%2Fassets%2Fpdf_file%2F0021%2F206472%2FFPRJ-V3-ISS2-pp12-30-understanding-the-leveraged-life-cycle-investment-strategy-for-defined-contribution-plan-investors.pdf&usg=AOvVaw3PPJWfjdFVyIXc6TVtiiMT&opi=89978449

 

Was meinst du dazu?

 

Diesen Beitrag teilen


Link zum Beitrag
Glory_Days
· bearbeitet von Glory_Days
vor 27 Minuten von indianahorst:

Danke für die ausführliche Antwort.

Allerdings sind Wang, Li und Liu im Paper Understanding the leveraged life cycle investment strategy for defined-contribution plan investors anderer Ansicht, was Phase 2 betrifft:


Demzufolge sollte man den Hebel reduzieren (und in Phase 2 eintreten) wenn man 20% des True Total Wealth erreicht hat.

 

Was meinst du dazu?

Dass das Missverständnis vom Unterschied zwischen Eigenkapital und Gesamt-Aktienexposure herrührt. Die Autoren schreiben:

Zitat

In phase two, investors start to deleverage when the current savings exceed 20 per cent of discount lifetime savings (discounted at a real risk-free rate of 2.56%), until the current savings hit the desired level of market exposure, set at 50 per cent of discount lifetime savings allocated to stocks.

Hier wird von 'current savings' gesprochen, das ich als liquides Eigenkapital übersetzen würde. Das Aktienmarkt-Exposure ist durch den 2x-Hebel bei Start des Deleveragings aber doppelt so hoch (wobei das komischerweise 40% ergäbe und nicht das in diesem Beispiel gegebene Zielexposure von 50% des True Total Wealths - Delevering dürfte daher in diesem Beispiel mit 2x-Hebel erst beginnen, sobald die current savings 25% des True Total Wealths übersteigen (womit das Zielexposure von 50% erreicht wäre)).

In der Grafik oben ist das 'Median Percentage in Stocks' dargestellt - also das Exposure, nicht das liquide vorhandene Vermögen (Eigenkapital).

Diesen Beitrag teilen


Link zum Beitrag
ER EL
vor 2 Stunden von indianahorst:

Wie sollte sich der Hebelfaktor in Abhängigkeit des Alters (genauer: verbleibender Anlagezeitraum) entwickeln?

Das sollte sich glaube ich automatisch ergeben. 

Man versucht ja sein " current value of life time savings" zu investieren. 

Das investiert man also durch Beanspruchung eines Kredites. Diesen Kredit zahlt man dann Stück für Stück ab, somit reduziert sich der Hebel Stück für Stück. 

 

Diesen Beitrag teilen


Link zum Beitrag
hattifnatt
vor 21 Minuten von ER EL:

Das investiert man also durch Beanspruchung eines Kredites.

Nicht, wenn man gehebelte ETFs nimmt, was ich z.B. mache. Dann muss man auf normale ETFs (oder auch irgendwann Anleihen) umschichten.

Diesen Beitrag teilen


Link zum Beitrag
ER EL
vor einer Stunde von hattifnatt:

Nicht, wenn man gehebelte ETFs nimmt, was ich z.B. mache. Dann muss man auf normale ETFs (oder auch irgendwann Anleihen) umschichten.

Und reduziert sich damit der Hebel analog zu dem Invest auf Kredit? 

Diesen Beitrag teilen


Link zum Beitrag
Glory_Days
· bearbeitet von Glory_Days
vor 5 Stunden von indianahorst:

Wie sollte sich der Hebelfaktor in Abhängigkeit des Alters (genauer: verbleibender Anlagezeitraum) entwickeln?


Natürlich hängt der Verlauf des Hebelfaktors auch von der gewünschten End-Allokation ab, also z.B. 60/40 (60% Aktien, 40% risikoarm) ab Renteneintritt.

 

Lässt sich eine Abschätzung treffen, bis zu welchem verbleibenden Anlagezeitraum welcher Hebelfaktor "sicher" ist? Gibts empirische Untersuchungen dazu?

Das hängt neben der Zielallokation bezogen auf das True Total Wealth insbesondere von der konkreten Entwicklung deiner risikoreichen Anlage ab. Bei stark steigenden Märkten in jungen Jahren wirst du dein risikoreiches Zielexposure bezogen auf das True Total Wealth früher erreichen können als bei schlechterer Wertentwicklung (das TTW wächst absolut gesehen dann zwar automatisch mit, aber das Verhältnis von risikoreichem liquidem Vermögen zum "sicheren" Barwert und damit auch zum TTW nimmt zu).

vor 5 Stunden von indianahorst:

Lässt sich eine Abschätzung treffen, bis zu welchem verbleibenden Anlagezeitraum welcher Hebelfaktor "sicher" ist? Gibts empirische Untersuchungen dazu?

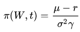
Sicher im Vergleich zu was? Es gibt eine Formel für die konstante Zielallokation am TTW unter der Voraussetzung konstanter relativer Risikoaversion (RRA) des Anlegers:

grafik.png.f2c9440b8aef584fc05b3a429f6af754.png

Dabei bezeichnet µ und σ die erwartete arithmetische Rendite bzw. erwartete Standardabweichung/Volatilität des risikoreichen Anteils, r den risikofreien Zins und γ die relative Risikoaversion (die allesamt als konstant angenommen werden; weiterhin geht das Modell in der stochastischen Entwicklung des True Total Wealths von einem Wiener Prozess aus). Merke, dass der risikoreiche Anteil π am True Total Wealth unabhängig vom TTW (hier W) selbst und von der Zeit t ist (d.h. der Anteil gemessen am TTW ist konstant).

 

Solange du das risikoreiche Zielexposure (=π * W) durch dein risikoreich liquides Kapital + Fremdkapital noch nicht erreicht hast, bist du unabhängig vom verbleibenden Anlagezeitraum immer maximal gehebelt investiert. Während Phase I und II bildest du also die Summe aus risikoreich investiertem Vermögen + Fremdkapital (bzw. risikoreiches liquides Vermögen * Hebelfaktor) und bildest damit den Quotient zum TTW. Sobald dieser Quotient dein festgelegtes π erreicht hat, beginn das Deleveraging und das π wird bei sinkendem Hebelfaktor konstant gehalten (Schwellwert-Rebalancing) - bis du irgendwann auf den Hebel verzichten kannst und sich je nach proz. Anteil der sicheren zukünftigen Anteile am TTW die risikoreiche Allokation durch das liqudie Vermögen immer weiter dem π annähern wird.

Man muss hier fein säuberlich trennen:

In das aktuelle risikoreiche Exposure wird das Fremdkapital miteingerechnet, in das True Total Wealth (=Liquides Vermögen + Barwert der zukünftigen Einkünfte) aber natürlich nicht (das Fremdkapital gehört schließlich niemals dir)! Es geht nur darum, so zu investieren, als hättest du alle deine Lebenseinkünfte in Form des True Total Wealth (ohne jede Form von Fremdkapital) bereits heute verfügbar.

LCI vergleicht dann nur diese Form der statistisch gesehen optimalen Allokation mit anderen Allokationen bei gleichem mittlerem risikoreichen Exposure. Da durch ein konstantes π das Sequence-of-Returns Risk ausgeschaltet wird, und es statistisch gesehen bei zufälliger Verteilung der Jahresrenditen am besten ist, alle Jahre gleichzugewichten, erreicht LCI im statistischen Durchschnitt eine geringere Standardabweichung beim Vermögensendwert gegenüber anderen Gewichtungsverteilung bei gleichem mittlerem risikoreichen Exposure.

Diesen Beitrag teilen


Link zum Beitrag
hattifnatt
· bearbeitet von hattifnatt

(Missverständnis gelöscht ;))

Diesen Beitrag teilen


Link zum Beitrag
Glory_Days
· bearbeitet von Glory_Days
vor einer Stunde von hattifnatt:

Nein, wie ich schrieb, man muss dann in ungehebelte ETFs umschichten.

Ich glaube er meinte, dass sich durch das Umschichten in ungehebelte ETFs der Hebel ebenfalls reduziert ;) Wobei gehebelte ETFs ein automatisches tägliches Rebalancing haben, welches es so bei einem Kredit nicht gibt (es sei denn, es würde von Brokerseite her angeboten werden oder man würde selbst aktiv werden).
 

@indianahorst: Habe nochmal im Buch nachgeschaut. Dort gibt es folgendes Beispiel, von dem die Zahlen wsl. stammen und dann falsch übertragen wurden:

Zitat

Orus has inspected his own tolerance for risk and his expectations about future stock returns to determine that his Samuelson share is a rather conservative 40 percent. That means if he were given all of his lifetime savings today in cash, he would invest just 40 percent in stock and the rest (60 percent) in government bonds. When Orus’s current [2x leveraged] savings exceed 20 percent of his total savings, he enters phase 2. For example, if his IRA has $100,000 and his expected future savings contributions remain at $400,000, then total present and future savings is $500,000, and his current $100,000 invested at 2:1 leverage will get him to $200,000, or 40 percent of the total.

Diesen Beitrag teilen


Link zum Beitrag
indianahorst
· bearbeitet von indianahorst
Ergänzung mit Daten zum MSCI World
vor 20 Stunden von Glory_Days:

Das hängt neben der Zielallokation bezogen auf das True Total Wealth insbesondere von der konkreten Entwicklung deiner risikoreichen Anlage ab. Bei stark steigenden Märkten in jungen Jahren wirst du dein risikoreiches Zielexposure bezogen auf das True Total Wealth früher erreichen können als bei schlechterer Wertentwicklung (das TTW wächst absolut gesehen dann zwar automatisch mit, aber das Verhältnis von risikoreichem liquidem Vermögen zum "sicheren" Barwert und damit auch zum TTW nimmt zu).

Sicher im Vergleich zu was? Es gibt eine Formel für die konstante Zielallokation am TTW unter der Voraussetzung konstanter relativer Risikoaversion (RRA) des Anlegers:

grafik.png.f2c9440b8aef584fc05b3a429f6af754.png

Dabei bezeichnet µ und σ die erwartete arithmetische Rendite bzw. erwartete Standardabweichung/Volatilität des risikoreichen Anteils, r den risikofreien Zins und γ die relative Risikoaversion (die allesamt als konstant angenommen werden; weiterhin geht das Modell in der stochastischen Entwicklung des True Total Wealths von einem Wiener Prozess aus). Merke, dass der risikoreiche Anteil π am True Total Wealth unabhängig vom TTW (hier W) selbst und von der Zeit t ist (d.h. der Anteil gemessen am TTW ist konstant).

 

Solange du das risikoreiche Zielexposure (=π * W) durch dein risikoreich liquides Kapital + Fremdkapital noch nicht erreicht hast, bist du unabhängig vom verbleibenden Anlagezeitraum immer maximal gehebelt investiert. Während Phase I und II bildest du also die Summe aus risikoreich investiertem Vermögen + Fremdkapital (bzw. risikoreiches liquides Vermögen * Hebelfaktor) und bildest damit den Quotient zum TTW. Sobald dieser Quotient dein festgelegtes π erreicht hat, beginn das Deleveraging und das π wird bei sinkendem Hebelfaktor konstant gehalten (Schwellwert-Rebalancing) - bis du irgendwann auf den Hebel verzichten kannst und sich je nach proz. Anteil der sicheren zukünftigen Anteile am TTW die risikoreiche Allokation durch das liqudie Vermögen immer weiter dem π annähern wird.

 

 

Vielen Dank für diese aufschlussreiche Erläuterung!

 

Demzufolge ist es notwendig, neben dem individuellen TTW auch den risikoreichen Anteil π zu berechnen. Ich versuche das hier mal:

µ (erwartete arithmetische Rendite) = 9,8%, historische Rendite des S&P500 seit 1926, Quelle https://en.wikipedia.org/wiki/S%26P_500

r (risikofreier Zins) = 4.49%, historischer Durchschnitt langfristiger US-Staatsanleihen seit 1953, Quelle https://ycharts.com/indicators/us_longterm_interest_rates

σ (erwartete Standardabweichung) = 20,8% beim S&P500 seit 1926, Quelle https://en.wikipedia.org/wiki/S%26P_500

γ (relative Risikoaversion) = hier hänge ich beim Verständnis des Arrow-Pratt-Maßes der relativen Risikoaversion. Ich bin kein (Finanz-)mathematiker. Ich verstehe, dass hier die erste und zweite Ableitung der Nutzenfunktion benötigt wird, aber mir ist mangels Beispiel absolut unklar, was denn ein Wert für hohe oder niedrige relative Risikoaversion wäre. In dem oben verlinkten Paper von Wang et al. wird hier einfach der Wert 4 genommen, ohne weitere Begründung.

 

Angenommen für die relative Risikoaversion wird der obige Wert 4 veranschlagt, dann ergibt sich mit diesen Werten aus obiger Gleichung der risikoreichen Anteil π ≈ 54%.

 

Edit: mein Taschenrechner rechnet bei der Eingabe von Prozentzeichen offenbar falsch. Korrekt ist:

π = (0.098 - 0.0449) / (0.208^2 * 4) ≈ 0,3068 = 30,68%

 

Ich ergänze dieses Posting, sobald ich weitere Erkenntnisse gewonnen habe ;-)

 

Edit:

Mit dem Wert der Risikoaversion bin ich noch nicht weitergekommen, aber ich habe mal ein paar Werte für weltweit investierende (europäische) Anleger herausgesucht:

µ (erwartete arithmetische Rendite) = 10.65%, historische Rendite des MSCI World seit 1978, Quelle https://curvo.eu/backtest/portfolio/msci-world--NoIgsgygwgkgBAdQPYCcA2ATEAaYoAyAqgIwDsAHMQKwAsxZAnDsQLptA

r (risikofreier Zins) = 2.41%, historischer Durchschnitt 10y Eurozone Staatsanleihen seit 2004, Quelle https://ycharts.com/indicators/10year_eurozone_central_government_bond_par_yield_curve

σ (erwartete Standardabweichung) = 14.94% beim MSCI World seit 1978, Quelle https://curvo.eu/backtest/portfolio/msci-world--NoIgsgygwgkgBAdQPYCcA2ATEAaYoAyAqgIwDsAHMQKwAsxZAnDsQLptA

 

Angenommen für die relative Risikoaversion wird der obige Wert 4 veranschlagt, dann ergibt sich mit diesen Werten aus obiger Gleichung der risikoreichen Anteil π ≈ 116%.

Edit: mein Taschenrechner rechnet bei der Eingabe von Prozentzeichen offenbar falsch. Korrekt ist:

π = (0.1065 - 0.0241) / (0.1494^2 * 4) ≈ 0,9229 = 92,29%

 

Diesen Beitrag teilen


Link zum Beitrag
Glory_Days
· bearbeitet von Glory_Days
vor einer Stunde von indianahorst:

µ (erwartete arithmetische Rendite) = 9,8% (historische Rendite des S&P500 seit 1926, Quelle https://en.wikipedia.org/wiki/S%26P_500 )

Der arithmetische Mittelwert der Total-Return Jahresrenditen des S&P500 im Zeitraum 1926 - 2022 lag bei 12,01% (https://www.slickcharts.com/sp500/returns)

vor einer Stunde von indianahorst:

r ([erwarteter] risikofreier Zins) = 4.49% (historischer Durchschnitt langfristiger US-Staatsanleihen seit 1953, Quelle https://ycharts.com/indicators/us_longterm_interest_rates)

Der arithmetische Mittelwert der Total-Return Jahresrenditen von 3-month T.Bill im Zeitraum 1928 - 2022 lag bei 3,32% (https://pages.stern.nyu.edu/~adamodar/New_Home_Page/datafile/histretSP.html)

vor einer Stunde von indianahorst:

σ (erwartete Standardabweichung) = 20,8% seit 1926, Quelle https://en.wikipedia.org/wiki/S%26P_500 )

Der Standardabweichung der S&P500 Total-Return Jahresrenditen lag im Zeitraum 1926 - 2022 lag bei 19,77%.

Bitte berücksichtige, dass ein derartiger Input in die Formel eine einfache Extrapolation der Mittelwerte der langfristigen Vergangenheit in die Zukunft darstellt. Die Zukunft kann sich aber gänzlich anders darstellen als diese Vergangenheit.

Die Autoren im Buch nehmen übrigens die reale Rendite von Aktien (und hoffentlich deren Volatilität) an und rechnen mit folgenden Zahlen (ich halte es für sinnvoll, immer mit realen Größen zu rechnen, da damit die direkte Vergleichbarkeit des TTW zu allen Zeitpunkten gegeben ist, sodass die Formulierung der stochastischen Bewegungsgleichungen des ursprünglichen Portfolio Problems implizit direkt reale Größen annehmen sollte (was auch mit der Barwertberechnung/Abzinsung der zukünftigen Einkünfte für das TTW korrespondiert); der arithmetische Mittelwert der Inflationsrate lag für die USA im Zeitraum 1929 - 2022 bei 3,16% laut dieser Quelle: https://www.thebalancemoney.com/u-s-inflation-rate-history-by-year-and-forecast-3306093):

Zitat

π = 5.04% / ((17.86%)^2 × RRA) = 1.58 / RRA

*Historically, the average annual real return on stocks (including dividends) has been about 7.9 percent, and the volatility has been 17.86 percent. These numbers are based on Shiller’s annual stock dataset, available on his website: www.econ.yale.edu/~shiller/data/chapt26.xls

Even after the market fall in 2008, the historical equity premium is 7.87 percent on stocks − 2.83 percent on boards = 5.04 percent.

vor einer Stunde von indianahorst:

γ (relative Risikoaversion) = hier hänge ich beim Verständnis des Arrow-Pratt-Maßes der relativen Risikoaversion. Ich bin kein (Finanz-)mathematiker. Ich verstehe, dass hier die erste und zweite Ableitung der Nutzenfunktion benötigt wird, aber mir ist mangels Beispiel absolut unklar, was denn ein Wert für hohe oder niedrige relative Risikoaversion wäre. In dem oben verlinkten Paper von Wang et al. wird hier einfach der Wert 4 genommen, ohne weitere Begründung.

Das Buch präsentiert hier verschiedene Ansätze:

  • Festlegung der RRA durch die Beantwortung von Fragen:

    You are given an opportunity to take a new and equally good job, with a 50 percent chance that it will double your family income and a 50 percent chance that it will cut your family income by a third. Would you take the new job?
Zitat

If you said you were willing to take this new job, you implicitly indicated that your RRA is below 2; if not, then your RRA is above 2. The lower your RRA, the higher your tolerance for risk. Someone who is indifferent to risk has an RRA of 0. Such a person is willing to take any gamble, just so long as on average he’ll come out ahead.

Zitat

By answering a laddered series of questions you can pin down your own RRA. For example, for those who said yes to the move, would you be willing to move your family if the downside put half your family’s income at risk—that is, if there were a 50 percent chance that the move would cut your family income by half? If the answer is still yes, than you have even more tolerance for risk, and we can infer that your implicit risk parameter is below 1. (If you are willing to risk a third but not a half, then your risk parameter is somewhere between 1 and 2.)

Zitat

Wake us up in the middle of the night, and our first guess is that our RRA is about 2. But you shouldn’t choose your risk tolerance to match ours; you should choose it to match your own comfort with taking on risk.

grafik.png.d1140f5bdc9cd82658b8cd4df33e0ddc.png

 

Allerdings bemerken die Autoren auch:

Zitat

The bad news is that the answers that people give to new-job questions are notoriously fragile. For example, imagine that we instead gave you the following scenario:

The Acme Company will be making its earnings announcement tomorrow before the markets have opened. If sales hit or exceed the target, the stock will open at $110. If sales are below target, the stock will open at $90. In your view, there is a 50 percent chance that the sales will hit or exceed the target. What is the highest price the stock could be today for you to be willing to invest 10 percent of your wealth in this single stock?

It doesn’t make sense to have a RRA less than 4 when answering the new-job question, and an RRA greater than 50 when answering the Acme question. This makes us suspicious of both answers. Your tolerance for risk shouldn’t depend on how the question is framed.

  • Herleitung der Zielquote durch Ableitung des individuellen Finanzbedarfs im Ruhestand:
Zitat

In order to work backwards, you need to know how much money is enough to retire comfortably. The answer, of course, depends on your goal. The standard advice is that you will need roughly 70 percent of your preretirement income each year to maintain your standard of living. We don’t really know if that is right or not. One justification for the 70 percent rule is that it leads to roughly the same after-tax consumption level. Larry Kotlikoff has argued that this is more than most people will need. On theother hand, a 2007 survey from the Employee Benefit Research Institute suggests that over half of retirees spend at least as much annually in their first five years postretirement as during their working years. Given that this is something that depends on your health, your enjoyment of travel, grandchildren, and more, there’s no single answer for all readers. We’ll stick with the 70 percent rule of thumb, and you can adjust everything up or down based on your anticipated needs.

Vanguard provides an annuity [in 2008] that has inflation protection built in.19 The payments go up each year withthe consumer price index. As you will guess, this increases the cost substantially, to about nineteen times the annual payout.20 Basically, for every $19 you give Vanguard, they’ll provide a life annuity that pays an inflationadjusted $1 a year.

If your final salary is $100,000, then Social Security will replace 27 percent of that income. Your savings at retirement will need to be large enough to fill a 43 percent gap (70% − 27%). Buying a life annuity on the first day of retirement that replaces 43 percent of income would cost 19 × 43% = 8.2 × final salary.

Over the ninety-six different cohorts of investors—from Zachary, who started investing in 1871, to Eleanor who started investing in 1966 and retired in 2009—we found the following median accumulations:
The 90/50 rule ends up with $642,000, which is 6.4 × final income
The 200/57 rule ends up with $834,000, which is 8.3 × final income
The 200/83 rule ends up with $1.15 million, which is 11.5 × final income

Focusing on the median result isn’t really enough reassurance. You should want more than a 50 percent chance of financing your retirement. By looking at the tenth percentile of outcomes, we can see what number you’ll beat 90 percent of the time.
The 90/50 rule ends up with $416,000, which is 4.2 × final income
The 200/57 rule ends up with $552,000, which is 5.5 × final income
The 200/83 rule ends up with $702,000, which is 7.0 × final income

Overall, under the 200/83 strategy there is about a 79 percent chance of making the full 70 percent goal if you have a $100,000 income. These calculations are conservative, as they don’t consider the possibility of tapping into any home equity to make up the difference.

Grundsätzlich spielen alle diese Berechnungen in Phase I aber keine Rolle, da immer maximal gehebelt investiert würde.

Ich persönlich würde mich der Frage ganz anders nähern - und zwar mit der Beantwortung der Frage, wie viel Prozent meines Lebenseinkommens ich risikoreich investieren würde, wenn ich dieses heute bereits zur Verfügung hätte. Das ist primär eine Frage individuellen Risikopräferenz/-tragfähigkeit und eher sekundär eine Frage der zukünftigen Rendite/-Risikoeinschätzung.

Diesen Beitrag teilen


Link zum Beitrag

Erstelle ein Benutzerkonto oder melde dich an, um zu kommentieren

Du musst ein Benutzerkonto haben, um einen Kommentar verfassen zu können

Benutzerkonto erstellen

Neues Benutzerkonto für unsere Community erstellen. Es ist einfach!

Neues Benutzerkonto erstellen

Anmelden

Du hast bereits ein Benutzerkonto? Melde dich hier an.

Jetzt anmelden

×
×
  • Neu erstellen...