Zum Inhalt springen
SirWayne

EM-Gewichtung

Empfohlene Beiträge

ER EL
vor 11 Stunden von Glory_Days:

Diese Fragestellung ist rein theoretischer Natur und spielt für die Praxis meiner Meinung nach keine Rolle

Ja, ich geb dir recht, konkret in der Praxis ist es irrelevant, da es nicht so kommen wird. Für die eigene Entscheidungsfindung vielleicht schon relevant. Wäre aber sicherlich auch diese Frage noch zu betrachten: 

vor 11 Stunden von Glory_Days:

die Frage, was passieren würde, wenn alle Investoren nur noch passiv investieren würden

 

Diesen Beitrag teilen


Link zum Beitrag
Sapine
vor 13 Stunden von Glory_Days:

Man könnte Equal Weight auch nur auf Large Cap-Unternehmen anwenden. Tatsächlich habe ich das mal umgesetzt für US-Unternehmen des S&P 500. Equal Weight für Sektoren und Unternehmen (insgesamt 200 Stück und jeweils gleiche Anzahl an Unternehmen je Sektor (zufällige Auswahl); Gewichtung je Unternehmen von ~0,5% und Rebalancing bei 5% relativer Abweichung):

grafik.png.99c875171cfa0602268f5a2e05934d98.png

Hast Du zufällig auch den MDD verglichen für die Berechnung? 

vor 13 Stunden von Glory_Days:

Man könnte das Konzentrationsrisiko in Reinform sehen, wenn die Volkswirtschaft der USA einbrechen würde. Niemand weiß, ob das zukünftig passieren wird und man kann es als unwahrscheinlich abtun (ich würde das aus heutiger Sicht jedenfalls tun). Es ist und bleibt aber ein Risiko - und wenn die USA alle größeren globalen Indizes derzeit stark dominiert, dann handelt es sich um ein Konzentrationsrisiko (das man bewusst eingehen kann).

Meiner Einschätzung nach waren wir zeitweise gar nicht mehr allzu weit weg von einem amerikanischen Bürgerkrieg und der wäre mit Sicherheit nicht ohne drastische Auswirkungen auf die Volkswirtschaft der USA. 

Diesen Beitrag teilen


Link zum Beitrag
Glory_Days
· bearbeitet von Glory_Days
vor 7 Stunden von Sapine:

Hast Du zufällig auch den MDD verglichen für die Berechnung? 

MDD Equal-Weight: -56,09%

MDD Market Cap: -55,25%

 

grafik.png.a46b315d9599ccf639be38c3438415d5.png

 

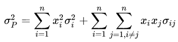
Das mag auf den ersten Blick etwas überraschend anmuten, ist aber im Bereich des Erwartbaren, da der MDD vom systematischen Risiko bestimmt wird (was beim Equal-Weight Ansatz auch im Limes großer Zahlen das residuale Restrisiko darstellt). Mathematisch gesehen ist also hinsichtlich Portfolio-Volatilität insbesondere beim Equal-Weight Portfolio der zweite Term (das systematische Risiko) dominierend, der mit der Kovarianz σ_ij verknüpft ist:
grafik.png.54082c6927740d741ed96bde818436db.png

Interessanterweise wird dabei der Gewichtungs-Vorfaktor x_i*x_j durch Equal-Weight maximiert (genauso wie der Rebalancing-Bonus, siehe hier):
 

grafik.png.bda1759351b3ac9fb3f04eba20090dd1.png


Es kann also sein, dass die Summe aus idiosynkratischem Risiko + systematischem Risiko bei Market Cap kleiner ist als das rein systematische Risiko bei einem Equal-Weight Ansatz im Limes großer Zahlen.

 

Aus diesem Grund sollte man in meinen Augen auch die Begriffe systematisches Risiko und Konzentrationsrisiko klar voneinander trennen/abgrenzen. Ein Equal-Weight Ansatz kann nur das Konzentrationsrisiko beseitigen und das auch nur so gut, wie die Risiko-Einheiten von denen ein Konzentrationsrisiko ausgeht, im Vorfeld beim Equal-Weight Ansatz bedacht/berücksichtigt wurden. In diesem Sinne reduziert ein Equal-Weight Ansatz das Risiko, das von den Vorfaktor x_i bzw. x_i*x_j ausgeht (wobei im Limes großer Zahlen das idiosynkratische Risiko, der erste Term oben, vollständig eliminiert wird). Es reduziert aber nicht notwendigerweise das systematische Risiko, d.h. die Summe über x_i*x_j*σ_ij.

Das sollte man immer im Kopf behalten.

Daher ist die Frage, ob Market Cap oder Equal Weight innerhalb der gleichen Risiko-Einheit geradezu irrelevant (beim S&P 500 ist es unabhängig von der konkreten Gewichtung immer das gleiche Land und immer ein Sektorquerschnitt) und würde bei breiter gestreuten US-Aktienindizes jenseits des S&P 500 lediglich dazu führen, dass man Small Caps höher gewichtet und am Ende eine Art Mid Cap Mischung hat. Interessant wird Equal Weight erst, wenn es um die Frage geht, ob man zwischen verschiedenen Risiko-Einheiten mischen sollte oder nicht (innerhalb der Anlageklasse Aktien z.B. die Frage Konzentration in einen Sektor vs. alle Sektoren bzw. in ein Land vs. alle Länder und ggf. die Kombination aus beidem). Das betrifft natürlich vor allem noch höhere Ebenen wie Anlageklassen oder Anlagestrategien.

Zitat

Meiner Einschätzung nach waren wir zeitweise gar nicht mehr allzu weit weg von einem amerikanischen Bürgerkrieg und der wäre mit Sicherheit nicht ohne drastische Auswirkungen auf die Volkswirtschaft der USA. 

Die Frage ist, ob eine derartige Krise zu einem nachhaltigen Kollaps führen würden. Sicherlich hätte ein US-Bürgerkrieg nicht nur lokale, sondern auch globale Auswirkungen (systematisches Risiko über Länder/Volkswirtschaften hinweg bzw. nicht-Lokalität von Krisen). Als Buy-and-Hold Investor muss ich insbesondere beurteilen, ob die Krise existenziell ist, d.h. ob es nachfolgend keine Erholung mehr geben kann. Dann wäre eine konzentrierte Investition in die US von dem Risiko des dauerhaften Vermögensverlustes betroffen. Ansonsten würde es sich um einen temporären Vermögensverlust handeln (den man wegen der nicht-Lokalität der Krise möglicherweise gar nicht umgehen konnte im Sinne des übergreifenden systematischen Risikos). Ein kleiner aber feiner Unterschied.

Diesen Beitrag teilen


Link zum Beitrag
Johannes34567

Also EM-Übergewichtung und EW gleich mehr Risiko als MCAP Gewichtung?:blink:

Diesen Beitrag teilen


Link zum Beitrag
Glory_Days
· bearbeitet von Glory_Days
vor 5 Stunden von Johannes34567:

Also EM-Übergewichtung und EW gleich mehr Risiko als MCAP Gewichtung?:blink:

Nein, so pauschal kann man das nicht sagen. Man kann die Portfolio-Volatilität für jeden gegebenen Renditeverlauf berechnen, aber es hängt eben von vielen Dingen ab (die Kovarianz ist proportional zum Korrelationskoeffizienten).

Wenn man mal vereinfachend nur den Fall großer Zahlen berücksichtigt, dann ist beim Equal-Weight Ansatz die Portfolio-Volatilität gleich dem systematischen Risiko, das in diesem speziellen Fall durch die durchschnittliche Kovarianz gegeben ist. Der arithmetische Durchschnitt der Kovarianz muss aber nicht geringer sein als jede andere Gewichtung der Kovarianz (das hängt natürlich von der "Verteilung" der Kovarianz über die verschiedenen Portfolio-Komponenten und von der konkreten EW-Alternativ-Gewichtung ab). Eine abweichende Gewichtung von Equal-Weight sorgt neben einer anderen Gewichtung der Kovarianz aber auch immer für ein nicht-verschwindendes idiosynkratisches Risiko (selbst im Limes großer Zahlen).

Daher sind in meinen Augen prinzipiell alle denkbaren Konstellationen im Risiko-Vergleich von EW zu MCAP möglich und es hängt wirklich vom konkreten Fall ab.

Diesen Beitrag teilen


Link zum Beitrag
Cepha
Am 10.12.2022 um 20:36 von SirWayne:

Ja das passt, bin nur am Grübeln 80/20 oder 70/30. 

 

Aber verstanden Über-/Untergewichtung macht man an der MK fest.

Unnötige Sorgen, weil es egal ist.

 

Das Optimun ist entweder 100 zu 0 oder 0 zu 100, denn eins wird besser laufen als das andere.

 

Damit steht sicher fest, dass alle anderen Mischungen NICHT das Optimum sein können und daher muss man sich auch nicht grämen, es nicht perfekt getroffen zu haben.

Diesen Beitrag teilen


Link zum Beitrag
Cepha
· bearbeitet von Cepha
Am 12.12.2022 um 14:16 von Madame_Q:

.... das ist übrigens das, was ich meinte mit "Rebalancing trägt auch im Aktienteil zum Beherrschen des Risikos bei", denn ich muss ja überzeugt sein von der anfänglich gewählten Gewichtung und ohne Rebalancing laufen die Aktien mir mit meiner Vorstellung aus dem Ruder bis hin zu vielleicht 80% EM). Wäre es nicht so, könnte man es ja gleich von Beginn an sein lassen mit einer Festlegung der Gewichtung nach irgendeiner Regel oder Entscheidung...

ETF balancen ihre einzelnen Aktien nicht. Da hat man dann im MSCi world auch mal 40% Japan drin.

 

Balancing ist hilfreich zwischen Anlagen die wechselweise(!!!) mal besser und mal schlechter laufen.

 

Apple und Nokia hingegen würden man nicht rebalancen wollen, denn da zieht dann der dauerhaft schlechte Part alles runter und die Gewinner werden kastriert.

 

Wer EM mit DM rebalanced tut das in der Hiffung, dass die EM auch mal wieder deutlich besser laufen werden.

Wer Apple mit Nokia balanced glaubt, dass Nokia irgendwann das wertvollste Unternehem der Welt wird.

Diesen Beitrag teilen


Link zum Beitrag
veitastic

Sorry, wenn ich mal eben Off-Topic gehe, aber weiter On-Topic bleibe. Mich würde eure Meinung zu meinen Gedanken interessieren. Nach Corona nun auch noch die Inflation und das Ende der laxen Geldpolitik. Nun wird das investieren wieder anspruchsvoll. Umso mehr gilt es jetzt einen Strategie zu haben, die einen durch die kommenden schweren, volatilen Fahrgewässer heile hindurch manövriert. 

 

In einem inflationären Umfeld funktionieren Small Caps in der Regel sehr gut, weil sie weniger stark verschuldet sind. Growth Aktien dagegen sehr schlecht. Insgesamt wird es wohl einen Wechsel hin zu Value geben. Die Emerging Markets hingegen, kennen sich mit inflationären Umfeldern besser aus und könnten durch diese besser manövrieren (z.B. Brasilien). 

 

Auf Grund meiner Gedanken komme ich auf folgende ETF Zusammenstellung:
45% FTSE All-World (EM Anteil aus den oben genannten Gründen + Reduzierung USA Anteil) 
25% MSCI EM (aus den oben genannten Gründen)
30% iShar­­es S&­­P S.C­­.600 ­­U.E.U­­SD D (Small Cap ETF, aus den oben genannten Gründen)

 

Eigentlich ist mir der FTSE All-World zu IT lastig, aber das ist der MSCI World und seine Brüder leider auch alle. Hier sehe ich leider nicht wirklich Alternativen. Selbst die Value Varianten, habe leider einen hohen IT Anteil. 

Ich könnte mir zusätzlich, mit ganz kleinen Raten noch einen ETF für India und Indonesia vorstellen. Beiden Ländern traue ich guten Wachstum in den kommenden Jahre zu. Aber das ist bisher nur ein Hirngespinst, welches ich noch weiter ausarbeiten muss.

Ich freue mich auf euer Feedback!

Diesen Beitrag teilen


Link zum Beitrag
Beginner81
vor 24 Minuten von Cepha:
Am 12.12.2022 um 14:16 von Madame_Q:

Wäre es nicht so, könnte man es ja gleich von Beginn an sein lassen mit einer Festlegung der Gewichtung nach irgendeiner Regel oder Entscheidung...

ETF balancen ihre einzelnen Aktien nicht. Da hat man dann im MSCi world auch mal 40% Japan drin.

 

Genau. Wenn ich nur bei der Investition eine bestimmte Gewichtung vorgebe und es dann "laufen lasse", ist das sicher kein Harakiri, sondern nur ein (eher zaghafter) Versuch, z.B. etwas mehr Ausgewogenheit von Regionen, Branchen etc. bezüglich der "Startbedingungen" herzustellen.
Für mich ist das ein vernünftiger Mittelweg zwischen reiner Marktkapitalisierung und womöglich sturem Rebalancing in einen "hoffnungslosen Fall".

Diesen Beitrag teilen


Link zum Beitrag
Glory_Days
· bearbeitet von Glory_Days
vor 19 Stunden von Cepha:

Wer Apple mit Nokia balanced glaubt, dass Nokia irgendwann das wertvollste Unternehem der Welt wird.

Das ist natürlich Quatsch. Die Rebalancing-Rendite gibt es alleine durch einen relativen Renditeunterschied und Mean-Reversion der Komponenten (wodurch sich die prozentuale Portfolio-Gewichtung verändert und von der Zielallokation abweicht). Über die absolute Wertentwicklung sagt das überhaupt nichts aus. Tatsächlich können alle Komponenten im Wert steigen. Für das Ausnutzen von Mean-Reversion muss Nokia sicherlich nicht das wertvollste Unternehmen der Welt werden.

Diesen Beitrag teilen


Link zum Beitrag
Synthomesc

Zumindest laut diesem Artikel könnte eine Übergewichtung der Schwellenländer zukünftig nicht schaden, vor allem in Asien.

Diesen Beitrag teilen


Link zum Beitrag
Beginner81
· bearbeitet von Beginner81
vor einer Stunde von AugetValorem:

Zumindest laut diesem Artikel könnte eine Übergewichtung der Schwellenländer zukünftig nicht schaden, vor allem in Asien.

"Ausblick auf 2023 der wichtigsten Top-Banker"

Hat man bei dem markwortschen Faktendrecksblatt immer noch nicht deutsch gelernt?
Oder gibt es in Frankfurt eine entsprechende Aussichtsplattform?

Diesen Beitrag teilen


Link zum Beitrag
cutter111th
Am 30.12.2022 um 15:10 von AugetValorem:

Zumindest laut diesem Artikel könnte eine Übergewichtung der Schwellenländer zukünftig nicht schaden, vor allem in Asien.

Wenn du zurück blickst wirst du feststellen, dass das schon seit Jahren so für das neue Jahr prognostiziert wird, insbesondere die asiatischen Schwellenländer werden hier immer wieder genannt. 

Diesen Beitrag teilen


Link zum Beitrag
Fintastik
Am 24.12.2022 um 14:30 von veitastic:

Ich freue mich auf euer Feedback!

Ich möchte hier, ohne die restlichen Beiträge der letzten 13 Seiten gelesen zu haben einen Artikel von Finanzfluss (05.2022) verlinken, welcher verschiedene Gewichtungsmöglichkeiten vorstellt:

  1. MCap: 11,9%
  2. Gewinn: 15%
  3. BIP: 40%
  4. BIP angepasst: 16,6%
  5. Optimales Rendite-/Risiko-Verhältnis: 27% bzw. 10% (je nach Betrachtungszeitraum)

Diesen Beitrag teilen


Link zum Beitrag

Erstelle ein Benutzerkonto oder melde dich an, um zu kommentieren

Du musst ein Benutzerkonto haben, um einen Kommentar verfassen zu können

Benutzerkonto erstellen

Neues Benutzerkonto für unsere Community erstellen. Es ist einfach!

Neues Benutzerkonto erstellen

Anmelden

Du hast bereits ein Benutzerkonto? Melde dich hier an.

Jetzt anmelden

×
×
  • Neu erstellen...