Zum Inhalt springen
Glory_Days

Die Unsicherheit von Renditen - eine Diskussion über Modelle und Annahmen

Empfohlene Beiträge

Glory_Days
· bearbeitet von Glory_Days

[Ausgelagert aus Thread zu Vanguard Life Strategy]

 

Die Volatilität von Renditen ist gerade und vor allem für den langfristigen Erfolg von Anlegern eine entscheidende Größe. Jede Person, die etwas anderes behauptet, hat die zugrunde liegende Mathematik des Investierens meiner Meinung nach grundsätzlich nicht verstanden.

Eine höhere Volatilität der Renditen √Var[R] in einzelnen Jahren translatiert sich automatisch in eine höhere Volatilität des Vermögensendwertes √Var[W(n)] nach n-Perioden. Der Zusammenhang ist nicht-trivial und lässt sich in der Mean-Variance Näherung für unabhängige und identisch verteilte Perioden-Renditen herleiten als:

Zitat

Log[1 + VarK[W(n)]^2] = n * Log[1 + VarK[R]^2]   ⇔   Var[W(n)] = E[W(n)]^2 * ((1 + VarK[R]^2)^n - 1)

 

wobei VarK[X]^2 = Var[X] / E[X]^2 der quadrierte Variationskoeffizient und E[W(n)] = W(0) * E[R]^n

In der Näherung kleiner Variationskoeffizienten VarK[R] ≪ 1 ergibt sich daraus mit (1 + x^2)^n - 1 = n * x^2 + O(x^4) für x ≪ 1 ein direkter proportionaler Zusammenhang zwischen der Volatilität des Vermögensendwertes und der Volatilität der periodischen Renditen:

Zitat

VarK[W(n)]^2 = n * VarK[R]^2   ⇔   Var[W(n)] = n * (E[W(n)] / E[R])^2 * Var[R]

Das höchste Sharpe-Ratio Portfolio ist also unter diesen Voraussetzungen gleichzeitig immer dasjenige mit der höchsten risikoadjustierten Rendite des Vermögensendwertes (:= E[W(n)] / √Var[W(n)])  (wobei diese in dieser kumulativen, d.h. nicht normierten Form für n -> ∞ streng monoton fallend gegen null geht; während die risikoadjustierte geometrische Rendite, E[(W(n)/W(0))^(1/n)] / √Var[(W(n)/W(0))^(1/n)], für den normierten Fall der geometrischen Renditen für n -> ∞ divergiert)

Beim Investieren kann es angesichts der Unsicherheit der Zukunft nur darum gehen, unter dieser Unsicherheit ein möglichst sicheres Endergebnis zu erzielen. Bezogen auf die Dimension der Asset Allokation impliziert das ein effizientes Portfolio nach Markowitz bzw. ein Equal-Weight Portfolio über alle Risikoquellen, wenn wir keine Prognose über die Zukunft wagen.

Zitat

“Given the uncertainty of the future, the goal cannot be to get rich, but to get rich as safely as possible.”

Diesen Beitrag teilen


Link zum Beitrag
Pirx
· bearbeitet von Pirx
vor 24 Minuten von Glory_Days:

 Eine höhere Volatilität der Renditen in einzelnen Jahren translatiert sich automatisch in eine höhere Volatilität des Vermögensendwertes (der Zusammenhang ist nicht-trivial)

Wahre Aussage, volle Zustimmung.

vor 24 Minuten von Glory_Days:

Beim Investieren kann es angesichts der Unsicherheit der Zukunft nur darum gehen, unter dieser Unsicherheit ein möglichst sicheres Endergebnis zu erzielen.

Ich überspitze jetzt bewusst:

Ein sicheres Endergebnis erreicht man, wenn man sein gesamtes Vermögen in Sichteinlagen "investiert" und dann nach Steuern und Inflation ein nahezu garantierten Real-Vermögensverlust realisiert.

 

Ich würde es daher eher so formulieren:

Ziel ist es, das gewählte Anlageziel (Summe X an einem definierten Zeitpunkt, Y % Rendite nach Steuern, Kosten und Inflation, möglichst hohes Endergebnis bei einer als akzeptablen angenommenen Eintrittswahrscheinlichkeit o.Ä.) möglichst sicher zu erreichen.

Dein nachfolgend beigefügtes Zitat drückt diesen Sachverhalt m.E. auch ganz gut aus.

 

LG, Pirx

 

@stagflation: Danke für das Monitoring und deine Berechnungen zu den Lifestrategy Fonds, finde ich sehr interessant :)

Diesen Beitrag teilen


Link zum Beitrag
Glory_Days
· bearbeitet von Glory_Days
vor 8 Minuten von Pirx:

Ich würde es daher eher so formulieren:

Ziel ist es, das gewählte Anlageziel (Summe X an einem definierten Zeitpunkt, Y % Rendite nach Steuern, Kosten und Inflation, möglichst hohes Endergebnis bei einer als akzeptablen angenommenen Eintrittswahrscheinlichkeit o.Ä.) möglichst sicher zu erreichen.

So war es natürlich auch gemeint - realistisch hohe Ziele sollte man sich immer setzen und die mathematischen Rahmenbedingungen so setzen, dass man diese mit maximal hoher Wahrscheinlichkeit erreichen kann. Für ein derartiges Vorgehen muss das Portfolio effizient sein.

Vielleicht kannst du die erste Zitatbox in deinem letzten Beitrag noch durch meinen editierten Kommentar austauschen.

Diesen Beitrag teilen


Link zum Beitrag
geldvermehrer
vor 31 Minuten von Glory_Days:

Beim Investieren kann es angesichts der Unsicherheit der Zukunft nur darum gehen, unter dieser Unsicherheit ein möglichst sicheres Endergebnis zu erzielen. Bezogen auf die Dimension der Asset Allokation impliziert das ein effizientes Portfolio nach Markowitz bzw. ein Equal-Weight Portfolio über alle Risikoquellen, wenn wir keine Prognose über die Zukunft wagen.

Welche Volatilität ist für ein möglichst sicheres Endergebnis wünschenswert/akzeptabel?

Und da der ARERO nicht Equal-Weight konzipiert ist, handelt es sich um ein effizientes Portfolio nach Markowitz?

Diesen Beitrag teilen


Link zum Beitrag
Glory_Days
· bearbeitet von Glory_Days
Am 4.9.2023 um 20:52 von geldvermehrer:

Welche Volatilität ist für ein möglichst sicheres Endergebnis wünschenswert/akzeptabel?

Ich habe mir das ganze aus Eigeninteresse gerade noch einmal angeschaut. Unter der Voraussetzung, dass die Perioden-Rendite für verschiedene Perioden als unabhängige Zufallsvariablen modelliert werden (nur dann lässt sich die Varianz des Vermögensendwertes auf die Varianz der einzelnen Perioden-Renditen zurückführen), skaliert die Varianz des Vermögensendwertes u.a. stark mit der mittleren Varianz der Perioden-Renditen (höhere Potenzen tragen wesentlich weniger bei).

 

Um die Volatilität des Vermögensendwertes über einen gegebenen Betrachtungszeitraum abzuschätzen, kannst du neben einer analytischen Rechnung auch einen MC-Simulator verwenden (z.B. den des BVIs).

Am 4.9.2023 um 20:52 von geldvermehrer:

Und da der ARERO nicht Equal-Weight konzipiert ist, handelt es sich um ein effizientes Portfolio nach Markowitz?

Effiziente Portfolien nach Markowitz stehen jenseits von unsicheren Zukunftsprognosen immer erst im Rückblick fest und natürlich ist deine Aussage falsch (du solltest noch einmal den Effizienzbegriff nach Markowitz nachlesen). Equal-Weight ist nach Markowitz genau dann das Tangency Portfolio (= Portfolio mit der höchsten Sharpe Ratio (=risikoadjustierten Rendite)), wenn alle Komponenten die gleiche statische Rendite/Kovarianz-Erwartung aufweisen (d.h. dieser Ansatz würde im statistischen Mittel die risikoadjustierte Rendite des Portfolios maximieren). Ein häufig übersehener Fakt mit sehr großen Auswirkungen für die Anlagepraxis.

 

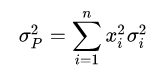
Man kann das sehr leicht einsehen, wenn man ohne Beschränkung der Allgemeinheit von einem Zwei Asset-Portfolio ausgeht, wobei die Assets ebenfalls ohne Beschränkung der Allgemeinheit der Einfachheit halber als unkorreliert angenommen werden. Dann ist die Portfolio-Varianz gegeben durch (n=2):
grafik.png.8c1e4469e290d16ff3018a592db51cd1.png

Wenn σ_i = σ ist, dann wird die Varianz der Komponenten mit der Summe der quadrierten Gewichtungsfaktoren (x1^2 + x2^2) bzw. (x1^2 + (1-x1)^2) gewichtet (mit x1 + x2 = 1). Diese Summe ist minimal, wenn x1 = x2 = 0.5, d.h. Equal-Weight gilt, und wird umso größer, je größer die Abweichung von Equal-Weight ist.

Wenn man keinerlei Prognose über die Zukunft von Portfolio-Komponenten wagen möchte, muss man rationalerweise von diesem Equal-Weight Ansatz ausgehen (d.h. allen Risikoobjekten müssen ohne Prognose die gleichen Eigenschaften zugeschrieben werden). Und Out-of-Sample Daten beweisen, dass dieser Ansatz meistens der bessere ist als der prognosebasierte Ansatz (Ausnahme siehe unten). Markowitz Theorie beinhaltet also beide Fälle: i) Prognosefrei, ii) Prognosebasiert (wobei man i) auch als den trivialen Fall bezeichnen könnte, die sogenannte naive Diversifikation, wobei dieser auch mathematisch aus Markowitz Ansatz herauskommt). Prognosefreiheit entbindet Anleger allerdings nicht davon, eine Auswahl an Portfolio-Komponenten zu treffen bzw. deren Anzahl festzulegen. Rational gesehen muss ein Anleger unter absoluter Prognosefreiheit möglichst viele einzelne Assets gleichgewichten, da im Limes großer Zahlen das idiosynkratische Risiko wegdiversifiziert werden kann.

 

Offenkundig geht der ARERO bei seinen Komponenten nicht von Equal-Weight aus - was sinnvoll sein kann, nicht weil der ARERO eine besonders gute Prognose der Zukunft wagt/besitzt, sondern wenn Anlageklassen aufgrund ihrer Arithmetik sehr wahrscheinlich die Voraussetzungen für die Optimalität des Equal-Weight Ansatzes nicht erfüllen.

Diesen Beitrag teilen


Link zum Beitrag
oktavian
vor 9 Stunden von Glory_Days:

dass die Perioden-Rendite für verschiedene Perioden als unabhängige Zufallsvariablen modelliert werden

mit unabhängigen Zufallsvariablen lässt es sich schön rechnen mathematisch, aber kann man die Unabhängigkeit auch beweisen bzw. mit welcher statistischer Sicherheit belegen?

Heteroskedastizität könnte auch vorliegen. Mit 100% Sicherheit kann man es meiner Meinung nach nicht sagen.

Diesen Beitrag teilen


Link zum Beitrag
geldvermehrer
vor 11 Stunden von Glory_Days:

Ich habe mir das ganze aus Eigeninteresse gerade noch einmal angeschaut. Unter der Voraussetzung, dass die Perioden-Rendite für verschiedene Perioden als unabhängige Zufallsvariablen modelliert werden (nur dann lässt sich die Varianz des Vermögensendwertes auf die Varianz der einzelnen Perioden-Renditen zurückführen), skaliert die Varianz des Vermögensendwertes u.a. stark mit der mittleren Varianz der Perioden-Renditen (höhere Potenzen tragen wesentlich weniger bei).

 

Um die Volatilität des Vermögensendwertes über einen gegebenen Betrachtungszeitraum abzuschätzen, kannst du neben einer analytischen Rechnung auch einen MC-Simulator verwenden (z.B. den des BVIs).

Danke dir, in dem thread "Persönliche Renditeerwartung auf Sicht von 30 Jahren" haben wir mit Monte-Carlo-Simulationen bereits "gearbeitet", dabei wurde für den Aktienanteil mit einer Vergangenheits-Vola von z.B. 16  für einen globalen Aktienindex gerechnet. Würdest du diesen Wert für die Zukunft und Monte-Carlo-Simulationen auch wählen? Darüberhinaus, es gibt Depotzusammenstellungen, die haben in der VERGANGENHEIT auf 30 Jahre um die 8% Volatilität gehabt (z.B. Golden Butterfly), bei attraktiven Renditen, natürlich auch wieder nur in der Vergangenheit. Wäre das eher dein Anspruch für ein effizientes Portfolio nach Markowitz, siehe Zitat?

 

vor 14 Stunden von Glory_Days:

Bezogen auf die Dimension der Asset Allokation impliziert das ein effizientes Portfolio nach Markowitz

 

vor 11 Stunden von Glory_Days:

natürlich ist deine Aussage falsch

Es war eher eine Frage^_^

Diesen Beitrag teilen


Link zum Beitrag
Glory_Days
· bearbeitet von Glory_Days
vor 3 Stunden von oktavian:
vor 14 Stunden von Glory_Days:

dass die Perioden-Rendite für verschiedene Perioden als unabhängige Zufallsvariablen modelliert werden

mit unabhängigen Zufallsvariablen lässt es sich schön rechnen mathematisch, aber kann man die Unabhängigkeit auch beweisen bzw. mit welcher statistischer Sicherheit belegen?

Heteroskedastizität könnte auch vorliegen. Mit 100% Sicherheit kann man es meiner Meinung nach nicht sagen.

Ohne die Annahme der Unabhängigkeit der Zufallsvariablen tauchen Erwartungswerte von Produkten der Zufallsvariablen in den Formeln auf, d.h. diese lassen sich nicht mehr auf auf den Erwartungswert bzw. der Varianz einzelner Rendite-Perioden zurückführen.

Aus Unabhängigkeit zweier Zufallsvariablen folgt deren Unkorreliertheit bei Endlichkeit der Erwartungswerte E[XY], E[X] und E[Y] (die Umkehrung gilt hingegen im Allgemeinen nicht!). D.h. durch Testen der Korrelation kann man Unabhängigkeit nur empirisch widerlegen, ihre Existenz aber nicht beweisen (da keine hinreichende Bedingung vorliegt). Ohne Kenntnis der Verteilungsfunktion ist ein Beweis der Unabhängigkeit von Zufallsvariablen schwierig.

 

Unabhängigkeit impliziert aber keine Gleichverteilung, von daher verstehe ich den Zusammenhang mit Homoskedastizität nicht ganz.

 

Meine Betrachtungsweise ist die Folgende:
Der Markt (bzw. die Marktteilnehmer) hat (haben) ein Gedächtnis, was in einer qualitativ-effektiven Beschreibung zu Memory in den Bewegungsgleichungen (für die Zufallsvariablen oder die Verteilungsfunktion) führt. Dieser Memory-Term besitzt eine Zeitabhängigkeit, wobei der Einfluss von vergangenen Ereignissen mit zunehmender Zeit abfällt (endliches Gedächtnis der Vergangenheit). Bei Berechnungen von Renditen können wir die Zeitskala der Perioden/Zufallsvariablen selbst definieren. Ohne Beweis halte ich es für plausibel, dass als Zufallsvariablen modellierte Renditen verschiedener Anlageklassen mit zunehmender Zeitskala an Unabhängigkeit zunehmen.

Unabhängigkeit ist ein mathematisches Konzept und bezogen auf die Anlagepraxis sicherlich idealisiert. Für die Gültigkeit von qualitativen Aussagen bezogen auf Renditen verschiedener Anlageklassen auf größeren Zeitskalen (z.B. Jahresrenditen) sehe ich diese (ohne Beweis) als hinreichend gegeben an, da sich mir eine Abhängigkeit auf größeren Zeitskalen auch logisch nicht erschließen würde. Die niedrige Korrelation zwischen Jahresrenditen des gleichen Assets in verschiedenen Zeiträumen (meistens wesentlich niedriger als die zwischen verschiedenen Assets im gleichen Jahr) ist ein weiteres Indiz da dafür (siehe hier und hier).

Diesen Beitrag teilen


Link zum Beitrag
Glory_Days
· bearbeitet von Glory_Days
vor 3 Stunden von geldvermehrer:

Danke dir, in dem thread "Persönliche Renditeerwartung auf Sicht von 30 Jahren" haben wir mit Monte-Carlo-Simulationen bereits "gearbeitet", dabei wurde für den Aktienanteil mit einer Vergangenheits-Vola von z.B. 16  für einen globalen Aktienindex gerechnet. Würdest du diesen Wert für die Zukunft und Monte-Carlo-Simulationen auch wählen?

MC-Simulationen basierend auf Inputparameter der Vergangenheit sind immer mit Vorsicht zu genießen, da sie implizit eine Extrapolation der Vergangenheit in die Zukunft bedeuten (die Zukunft muss sich aber nicht an den gesetzten Rahmen der Vergangenheit halten). Mangels Kenntnis der Zukunft haben wir oftmals nichts Besseres als Ausgangspunkt, es lohnt sich aber auch die Inputparameter in solchen Simulationen zu variieren (was würde passieren, wenn der zukünftige Renditemittelwert plötzlich 2% niedriger ist als der der Vergangenheit, oder die Volatilität über einen längeren Zeitraum höher).

Als Ausgangspunkt würde ich immer die realen (inflationsadjustierten) Größen möglichst langer Zeitreihen wählen. Für den globalen Aktienmarkt z.B. die Jahreswerte des MSCI World (1970 - 2022).

vor 3 Stunden von geldvermehrer:

Darüberhinaus, es gibt Depotzusammenstellungen, die haben in der VERGANGENHEIT auf 30 Jahre um die 8% Volatilität gehabt (z.B. Golden Butterfly), bei attraktiven Renditen, natürlich auch wieder nur in der Vergangenheit. Wäre das eher dein Anspruch für ein effizientes Portfolio nach Markowitz, siehe Zitat?

Nein, denn der empirische Test auf historischen Daten kann immer nur eine notwendige aber keine hinreichende Bedingung eines diversifizierten Portfolios sein.

Diesen Beitrag teilen


Link zum Beitrag
oktavian
vor 1 Stunde von Glory_Days:

Aus Unabhängigkeit zweier Zufallsvariablen folgt deren Unkorreliertheit bei Endlichkeit der Erwartungswerte E[XY], E[X] und E[Y] (die Umkehrung gilt hingegen im Allgemeinen nicht!). D.h. durch Testen der Korrelation kann man Unabhängigkeit nur empirisch widerlegen, ihre Existenz aber nicht beweisen (da keine hinreichende Bedingung vorliegt). Ohne Kenntnis der Verteilungsfunktion ist ein Beweis der Unabhängigkeit von Zufallsvariablen schwierig.

ich wäre mir nicht so sicher, dass die Renditen des Aktienmarktes unabhängig voneinander sind.

 

Wenn der Markt wie bei Corona schnell einbricht unter Ungewissheit: erhöhte dies nicht die Chance einer schnellen Erholung?

Also wenn der Markt sich stark bewegt mit unzureichender Fundamentaldatenbegründung, erwarte ich gegebenenfalls auch eine entsprechend starke Korrektur.

Diesen Beitrag teilen


Link zum Beitrag
Beginner81
vor 24 Minuten von oktavian:

Also wenn der Markt sich stark bewegt mit unzureichender Fundamentaldatenbegründung, erwarte ich gegebenenfalls auch eine entsprechend starke Korrektur.

Ich denke auch, dass man hier von einem "Prinzip" sprechen kann, bisher war das in der Realität sehr häufig zu beobachten. Erhöhte Volatilität erzeugt hohe Volatilität.
Dieses Prinzip sollte man auf irgendeine Weise Simulationsmodellen beibringen. Evtl. kann das bald eine KI (Erzeuge mir fiktive Datenreihen von Börsenkursen, die den gleichen "Charakter" von realen Kursen besitzen")?

Diesen Beitrag teilen


Link zum Beitrag
Glory_Days
· bearbeitet von Glory_Days
vor 50 Minuten von oktavian:

ich wäre mir nicht so sicher, dass die Renditen des Aktienmarktes unabhängig voneinander sind.

Das war auch nicht meine Aussage. Erstens ist bei "Renditen des Aktienmarktes" die Zeitskala undefiniert und zweitens hatte ich mich nicht exklusiv auf den Aktienmarkt bezogen.

vor 50 Minuten von oktavian:

Wenn der Markt wie bei Corona schnell einbricht unter Ungewissheit: erhöhte dies nicht die Chance einer schnellen Erholung?

Also wenn der Markt sich stark bewegt mit unzureichender Fundamentaldatenbegründung, erwarte ich gegebenenfalls auch eine entsprechend starke Korrektur.

Märkte können sich auch über lange Zeiträume von ihrer Fundamentalbewertung entkoppeln. Die auf Basis der Fundamentalbewertung erwartete zukünftige Rendite steigt im Allgemeinen bei einem sinkenden Bewertungsniveau. Eine Garantie im Sinne von "die Zeit heilt alle Wunden" existiert nicht. Breite Märkte wie der globale Aktienmarkt haben sich in der Vergangenheit bisher immer wieder von historisch unterdurchschnittlichen Bewertungsniveaus her erholt - wofür es sicherlich gute Gründe gibt.

vor 23 Minuten von Beginner81:

Ich denke auch, dass man hier von einem "Prinzip" sprechen kann, bisher war das in der Realität sehr häufig zu beobachten. Erhöhte Volatilität erzeugt hohe Volatilität.
Dieses Prinzip sollte man auf irgendeine Weise Simulationsmodellen beibringen. Evtl. kann das bald eine KI (Erzeuge mir fiktive Datenreihen von Börsenkursen, die den gleichen "Charakter" von realen Kursen besitzen")?

Ja, Volatility Clustering ist empirisch nachweisbar - aber auf welcher Zeitskala? Dazu braucht es keine KI, sondern nur das passende mathematische Modell für die Simulation, indem Zufallszahlen für verschiedene Perioden nicht mehr unabhängig voneinander erzeugt werden. Das wirft die Frage nach der Abhängigkeit der Zufallsvariablen für verschiedene Perioden auf (d.h. man müsste einerseits einen Wechselwirkung-Radius definieren, d.h. über wie viele Perioden sich die Renditen gegenseitig beeinflussen (eine neue Zeitskala des Systems) und andererseits die konkrete Form der Wechselwirkung; es ist aber klar, dass im Limes hinreichend großer Zeiten t ≫ Zeitskala des Wechselwirkungs-Radius die Renditen wieder unabhängig sind - das war meine Argumentation weiter oben).

Diesen Beitrag teilen


Link zum Beitrag
oktavian
vor 18 Stunden von Glory_Days:

Unter der Voraussetzung, dass die Perioden-Rendite für verschiedene Perioden als unabhängige Zufallsvariablen modelliert werden

 

vor einer Stunde von Glory_Days:

Das war auch nicht meine Aussage. Erstens ist bei "Renditen des Aktienmarktes" die Zeitskala undefiniert und zweitens hatte ich mich nicht exklusiv auf den Aktienmarkt bezogen.

Dann hatte ich das falsch verstanden. Ich habe generell etwas Probleme mit den Standards: Unabhängigkeit über die Zeit und Normalverteilung. Dennoch finde ich die Ergebnisse schön anschaulich. Man sollte meiner Meinung nach immer viele Modelle einsetzen.

 

vor 30 Minuten von Hicks&Hudson:

Es ist wie vermutet, dass häufiges Rebalancing in diesem Zeitraum die Performance verschlechtert hat.

Kumuliert zeigt curvo ohne Rebalancing ein klitzekleines Plus, mit monatlichem Rebalancing rutscht man über 1% ins Minus.

Die Mehrkosten des Life 40 und ein paar andere Punkte (Zeitraum nicht exakt deckungsgleich) dürften den Rest der Differenz erklären

ich dachte einfach Anleihen waren so schlecht, dass es nachteilig war je schneller man wieder in Anleihen gegangen ist die letzten Jahre. Würde die Periode als Ausnahme sehen (von Minuszinsen auf positive zinsen), weil man A) keine laufenden Zinsen bekam und B) die Kurse der Anleihen fielen, das ist schon relativ schlecht.

Kann man da auch einen längeren Zeitraum nehmen als 2020-2023 mit einem anderen Anleihen ETF?

 

Diesen Beitrag teilen


Link zum Beitrag
Glory_Days
· bearbeitet von Glory_Days
vor 42 Minuten von oktavian:

Dann hatte ich das falsch verstanden. Ich habe generell etwas Probleme mit den Standards: Unabhängigkeit über die Zeit und Normalverteilung. Dennoch finde ich die Ergebnisse schön anschaulich. Man sollte meiner Meinung nach immer viele Modelle einsetzen.

Die Aussage gilt unter der genannten Voraussetzung. Ich wollte damit nicht implizieren, dass diese Voraussetzung für alle denkbaren Konstellationen gültig ist. Ich denke, dass es einige für Anleger wichtige Konstellationen in der Anlagepraxis gibt, die dieser mathematischen Voraussetzung nahe kommen, weshalb die Einsichten unter dieser Voraussetzung hilfreich sein können.

Diesen Beitrag teilen


Link zum Beitrag
Glory_Days
· bearbeitet von Glory_Days

Ich habe mal die paarweise Korrelation benachbarter Jahresrenditen (nicht-überlappend) für den S&P 500 TR im Zeitraum 1926 - 2022 berechnet.

Für (i, i + 1) ergibt sich ein Korrelationskoeffizient von 0,16

Für (i - 1, i) ergibt sich ein Korrelationskoeffizient von -0,14

 

Das ist schon ziemlich nah an unkorreliert dran, was die notwendige Bedingung für Unabhängigkeit wäre. Allerdings könnte sich eine dynamische Verteilungsfunktion bei Paaren unterschiedlicher Jahre bereits wieder verändert haben (wir haben nicht n-Stichproben für das gleiche Jahr mit der gleichen "Snapshot"-Verteilung).

Diesen Beitrag teilen


Link zum Beitrag
qwertzui
vor 4 Stunden von Glory_Days:

Ich habe mal die paarweise Korrelation benachbarter Jahresrenditen (nicht-überlappend) für den S&P 500 TR im Zeitraum 1926 - 2022 berechnet.

Wenn sich daraus eine hohe Korrelation ergeben würde, könnte man den Kursverlauf ja mit hinreichender Genauigkeit prognostizieren, kann man aber nicht. Real ist es wohl so, dass sich auch die Zeitskalen der Korrelation unterscheiden. Den Markt interessiert es nicht, dass wir in Jahresrenditen denken, genausowenig Monate und Tage. Heraus kommen völlig wirre Abhängigkeiten, mit denen man nicht mehr viel anfangen kann. Ganz vergebens ist es aber nicht das zu untersuchen, sonst gäbe es beispielsweise auch keinen Momentumfaktor. Was ich damit sagen will ist, dass Kursverläufe keine Braunsche Bewegung sind, bei der die Annahme einer stochastischen Unabhängigkeit und Normalverteilung gerechtfertigt ist. Die Verteilungsfrage lässt sich mathematisch leicht lösen, aber die Anhängigkeit eben nicht. Letztlich wird es so sein, wie du geschrieben hast, dass uns einfach nicht alle Einflussparameter bekannt sind, aber das ist auch egal, weil sie uns nie bekannt sein werden. Was bleibt sind Näherungsmodelle, die in einem gegebenen Parameterbereich hinreichend gute Ergebnisse liefern. Reicht vermutlich, aber ich würde mich trotzdem freuen, wenn wir zur Risikoabschätzung noch über Log-Normalverteilungen hinauskommen. 

Diesen Beitrag teilen


Link zum Beitrag
oktavian
vor 3 Stunden von qwertzui:

Was bleibt sind Näherungsmodelle, die in einem gegebenen Parameterbereich hinreichend gute Ergebnisse liefern.

wir wissen nicht einmal, ob die Verteilung konstant bleibt, also ob wir 2022 und 1940 Stichproben aus der gleichen Grundgesamtheit ziehen oder sich etwas geändert hat.

 

Insgesamt finde ich die Mischung von Aktien/Anleihen nach wie vor akzeptabel in Hinblick auf das vorhandene Wissen und die Möglichkeiten als Privatanleger. Ich mache keinen Held daraus, dass ich eher Aktienanhänger bin. Multiasset mit allen Möglichkeiten wie bei großen Vermögen/Stiftungen mit langen Zeithorizonten ist nicht darstellbar als Privatperson. Hinzu kommt der 'Bonus' bei der Teilfreistellung durch Inklusion des Anleihenanteils beim 80/20 und 60/40.

Diesen Beitrag teilen


Link zum Beitrag
geldvermehrer
Am 4.9.2023 um 22:57 von Glory_Days:

Um die Volatilität des Vermögensendwertes über einen gegebenen Betrachtungszeitraum abzuschätzen, kannst du neben einer analytischen Rechnung auch einen MC-Simulator verwenden (z.B. den des BVIs).

 

Ich habe mir die interessante Seite angesehen und Folgendes beispielhaft durchgespielt:

 

Bei mittlerer Entwicklung (schwarze Linie) beträgt das anfängliche Vermögen von 400.000€ nach 30 Jahren ca. 2.900.000 Euro. (100% Aktien global, 0,3% Kostenquote p.a.). MSCI World NR EUR (1987-2022), inflationsberücksichtigt.

Mit einer Wahrscheinlichkeit von 50 Prozent liegt das Ergebnis innerhalb des dunkelgrauen Bereichs, mit einer Wahrscheinlichkeit von 75 Prozent innerhalb des hellgrauen Bereichs.  Das heißt, mit 50% Wahrscheinlichkeit ist das Endvermögen zwischen ca. 1.400.000 und 5.900.000€. Mit 75% Wahrscheinlichkeit zwischen 860.000 und 9.400.000€  und zu 25% zwischen 0 und 860.000€

grafik.png.0fc6b72061f55b30fa9228b1467d5725.png

Habe ich die Grafik richtig interpretiert?

 

Diesen Beitrag teilen


Link zum Beitrag
oktavian
vor 9 Stunden von Glory_Days:

Ich habe mal die paarweise Korrelation benachbarter Jahresrenditen (nicht-überlappend) für den S&P 500 TR im Zeitraum 1926 - 2022 berechnet.

ich meinte es bezogen auf den drawdown. Leider habe ich die Daten nicht verfügbar. Auf jeden Fall kann ich mich erinnern, dass die Abwärtsbewegungen schneller als die Aufwärtsbewegungen waren.

Diesen Beitrag teilen


Link zum Beitrag
qwertzui
· bearbeitet von qwertzui
vor 25 Minuten von oktavian:

wissen nicht einmal, ob die Verteilung konstant bleibt

Wir wissen auch nicht viel über den Einfluss verschiedener Assetklassen aufeinander. Ich löse das für mich, indem ich einfach die reale Datenhistorie nehme und nur Assetklassen, für die entsprechend lange Daten in guter Qualität vorliegen. Letztlich ist das auch eine MC-Simulation, nur eine triviale ohne Modellierung der Grundgesamtheit, aber man kann auch Statistiken bilden, wenn die Datenreihe lang genug ist. 

Eine alternative Herangehensweise wäre aber die Modellierung von Zeitreihen, deren Charakteristik und Interaktion von der Realität abgeleitet ist und darüber dann eine statistische Auswertung zu machen. 

Diesen Beitrag teilen


Link zum Beitrag
Glory_Days
vor 4 Stunden von qwertzui:

Wenn sich daraus eine hohe Korrelation ergeben würde, könnte man den Kursverlauf ja mit hinreichender Genauigkeit prognostizieren, kann man aber nicht.

Verstehe ich nicht, wie soll sich aus einer Zahl wie dem Korrelationskoeffizienten ein ganzer Kursverlauf ableiten? Die Korrelation sagt nur aus, inwieweit sich Zufallsvariablen auf der gleichen Seite ihres Mittelswertes befinden und sich damit relativ gesehen parallel zueinander bewegen. Erstens wurden hier Renditen und keine Kurse betrachtet und zweitens fehlt die Information des Renditeverlaufs...

vor 4 Stunden von qwertzui:

Real ist es wohl so, dass sich auch die Zeitskalen der Korrelation unterscheiden. Den Markt interessiert es nicht, dass wir in Jahresrenditen denken, genausowenig Monate und Tage. Heraus kommen völlig wirre Abhängigkeiten, mit denen man nicht mehr viel anfangen kann.

Die Frage ist, ob diese Zeitskalen nach oben hin abgeschätzt werden können. Das war das was ich oben als "Wechselwirkungs-Radius" bezeichnet hatte. Ich halte es für plausibel, dass diese Wechselwirkung mit größer werdender Zeitskala abnimmt (und diese im mathematischen Limes unendlicher Zeitdifferenzen komplett verschwindet).

vor 4 Stunden von qwertzui:

Ganz vergebens ist es aber nicht das zu untersuchen, sonst gäbe es beispielsweise auch keinen Momentumfaktor.

Es gibt keinen Beweis für einen Momentumfaktor auf beliebigen Zeitskalen.

vor 4 Stunden von qwertzui:

Was ich damit sagen will ist, dass Kursverläufe keine Braunsche Bewegung sind, bei der die Annahme einer stochastischen Unabhängigkeit und Normalverteilung gerechtfertigt ist.

(Geometrische) Brownsche Bewegung ist nur ein mathematisches theoretisches Modell, das Unabhängigkeit und (Log-)Normalverteilung aufgrund seiner linearen Formulierung impliziert. Niemand würde behaupten, dass die Realität diesem Modell exakt entspricht.

vor 4 Stunden von qwertzui:

Die Verteilungsfrage lässt sich mathematisch leicht lösen, aber die Anhängigkeit eben nicht. Letztlich wird es so sein, wie du geschrieben hast, dass uns einfach nicht alle Einflussparameter bekannt sind, aber das ist auch egal, weil sie uns nie bekannt sein werden. Was bleibt sind Näherungsmodelle, die in einem gegebenen Parameterbereich hinreichend gute Ergebnisse liefern. Reicht vermutlich, aber ich würde mich trotzdem freuen, wenn wir zur Risikoabschätzung noch über Log-Normalverteilungen hinauskommen. 

Du meinst in diesem gegebenen Modellrahmen? Ja, zumindest kann man so etwas lernen, falls man sich in einem Regime befindet, in denen man diesen Voraussetzungen nahe kommt (was durchaus hilfreich sein kann, auch wenn die Realität komplexer ist).

vor 4 Stunden von qwertzui:

Reicht vermutlich, aber ich würde mich trotzdem freuen, wenn wir zur Risikoabschätzung noch über Log-Normalverteilungen hinauskommen. 

Es reicht deshalb, weil eine Log-Normalverteilung auch Trajektorien mit starken Momentum-Elementen erzeugt. Nicht im statistischen Mittel, aber z.B. in der Perzentil-Betrachtung, bis hin zu der schlechtesten/besten Trajektorie, die eine Aneinanderreihung von schlechten Renditen entspricht. Die Log-Normalverteilung ist aus meiner Sicht hinreichend um alle möglichen Trajektorien zu erzeugen, sie gewichtet diese nur mit einer anderen Wahrscheinlichkeit als andere Verteilungsfunktionen. Das kann bei der Analyse entsprechend berücksichtigt werden.

Diesen Beitrag teilen


Link zum Beitrag
Glory_Days
· bearbeitet von Glory_Days
vor 52 Minuten von oktavian:

wir wissen nicht einmal, ob die Verteilung konstant bleibt, also ob wir 2022 und 1940 Stichproben aus der gleichen Grundgesamtheit ziehen oder sich etwas geändert hat.

 

Insgesamt finde ich die Mischung von Aktien/Anleihen nach wie vor akzeptabel in Hinblick auf das vorhandene Wissen und die Möglichkeiten als Privatanleger. Ich mache keinen Held daraus, dass ich eher Aktienanhänger bin. Multiasset mit allen Möglichkeiten wie bei großen Vermögen/Stiftungen mit langen Zeithorizonten ist nicht darstellbar als Privatperson. Hinzu kommt der 'Bonus' bei der Teilfreistellung durch Inklusion des Anleihenanteils beim 80/20 und 60/40.

Das können wir nicht wissen, und ist bei der Analyse sicherlich ein Problem. Bei Jahresrenditen müsste man eigentlich die Korrelation für verschobene Jahreszeitfenster berechnen (d.h. nicht nur die Jahresrenditen des Kalenderjahres, sondern alle 365 möglichen Jahresfenster). Dann würde man eventuelle eine Veränderung der Korrelation sehen können. Das meinte ich auch mit:

vor 10 Stunden von Glory_Days:

Allerdings könnte sich eine dynamische Verteilungsfunktion bei Paaren unterschiedlicher Jahre bereits wieder verändert haben (wir haben nicht n-Stichproben für das gleiche Jahr mit der gleichen "Snapshot"-Verteilung).

vor 52 Minuten von oktavian:

Multiasset mit allen Möglichkeiten wie bei großen Vermögen/Stiftungen mit langen Zeithorizonten ist nicht darstellbar als Privatperson.

Was genau verstehst du unter "Multiasset" in diesem Zusammenhang?

vor 41 Minuten von geldvermehrer:

Habe ich die Grafik richtig interpretiert?

Ich denke, dass sich der nicht dargestellte Anteil der Wahrscheinlichkeit symmetrisch um den Mittelwert verteilt ist, d.h. wenn die eine Fläche eine Wahrscheinlichkeit von 50% um den Mittelwert umschließt, fehlen unterhalb und oberhalb der Fläche jeweils 25% Wahrscheinlichkeit, wenn die Fläche 75% Wahrscheinlichkeit umschließt, fehlen unterhalb und oberhalb jeweils 12,5% Wahrscheinlichkeit.

vor 33 Minuten von oktavian:

ich meinte es bezogen auf den drawdown. Leider habe ich die Daten nicht verfügbar. Auf jeden Fall kann ich mich erinnern, dass die Abwärtsbewegungen schneller als die Aufwärtsbewegungen waren.

Drawdowns sind typischerweise kürzer als die nachfolgende Erholung. Mit Jahresrenditen oder größeren Zeitdaten sampled man meistens etwas größer, da der durchschnittlich größere Drawdown in der Vergangenheit bei Aktienmärkten bei ~20-24 Monaten lag (d.h. dieses Momentum, das man z.B. mit Monatsrenditen sehen würde, wird schwächer und verschwindet irgendwann bei hinreichend großer Zeitskala).

vor 31 Minuten von qwertzui:

Wir wissen auch nicht viel über den Einfluss verschiedener Assetklassen aufeinander.

Wir wissen nicht, ob es überhaupt Abhängigkeiten untereinander gibt (ich würde diese bis zu einem gewissen Grad für plausibel halten - vor dem Hintergrund des Wirtschaftszykluses und der Anlegerpsychologie).

vor 10 Minuten von Hicks&Hudson:

Hat diese Diskussion noch viel mit den Vanguard Life Produkten hier zu tun ?

Vielleicht sollte man Eure Diskussion auslagern in einen eher passenden Faden ?

Für die dahinter zugrundeliegende Idee des Life Cycle Investings ist die Diskussion schon ganz interessant. Mit Vanguard direkt hat das nichts zu tun.

Diesen Beitrag teilen


Link zum Beitrag
oktavian
vor einer Stunde von Glory_Days:
vor 2 Stunden von oktavian:

Multiasset mit allen Möglichkeiten wie bei großen Vermögen/Stiftungen mit langen Zeithorizonten ist nicht darstellbar als Privatperson.

Was genau verstehst du unter "Multiasset" in diesem Zusammenhang?

Agrarflächen, Infrastruktur, Kunstwerke, Sammlerobjekte, Private equity usw. Als Privatanleger hat man ETFs mit Aktien/Anleihen.

Diesen Beitrag teilen


Link zum Beitrag
Gast231208
· bearbeitet von pillendreher
vor 12 Minuten von oktavian:

Agrarflächen, Infrastruktur, Kunstwerke, Sammlerobjekte, Private equity usw. Als Privatanleger hat man ETFs mit Aktien/Anleihen.

Dafür sollten wir dankbar sein, weil meiner Meinung (und da bin ich nicht allein) sind diese alternativen Assetklassen für die Tonne.

Und wer noch etwas mehr will, der nimmt den ETF701 (z.B.).

Diesen Beitrag teilen


Link zum Beitrag
oktavian
vor 5 Minuten von pillendreher:

Dafür sollten wir dankbar sein, weil meiner Meinung (und da bin ich nicht allein) sind diese alternativen Assetklassen für die Tonne.

kann man so sehen und wenn man keine Ahnung garantiert gefährlicher als ein MSCI world oder lifestrategy... einige wollten auch immer Rohstoffe beimischen. Wichtig fürs Portfolio wäre, dass die Märkte/assets nicht so sehr korrelieren. Die Superreichen sind etwas krisenbeständiger als die Reichen.

 

Vanguard hat die tendenziell sinnvollen Aktien/Anleihen gemischt.

Diesen Beitrag teilen


Link zum Beitrag

Erstelle ein Benutzerkonto oder melde dich an, um zu kommentieren

Du musst ein Benutzerkonto haben, um einen Kommentar verfassen zu können

Benutzerkonto erstellen

Neues Benutzerkonto für unsere Community erstellen. Es ist einfach!

Neues Benutzerkonto erstellen

Anmelden

Du hast bereits ein Benutzerkonto? Melde dich hier an.

Jetzt anmelden

×
×
  • Neu erstellen...