Zum Inhalt springen
SWAT91

Kündigung / Umstrukturierung Versicherungsverträge

Empfohlene Beiträge

chirlu
vor 2 Stunden von intInvest:

Die 2% aus "Klausel 3" kann ich nicht ganz zuordnen, wo genau sie wie anfallen

 

Diesen Ratenzahlungszuschlag kann man vermeiden, indem man den Beitrag jährlich zahlt statt monatlich.

Diesen Beitrag teilen


Link zum Beitrag
bondholder
vor 22 Stunden von SWAT91:

die 2% aus der Klausel Nr. 3 (oder nicht?)

Wer aus Unwissenheit/Dummheit oder finanzieller Not den Versicherungsbeitrag in monatlichen Raten abstottert, wird dafür noch einmal zur Kasse gebeten. Das ist in der Branche so üblich.

 

Wetten, dass der DVAG-Strukki das seinen Opfern nicht erzählt?

Diesen Beitrag teilen


Link zum Beitrag
sedativ
· bearbeitet von sedativ
Am 4.3.2024 um 08:13 von intInvest:

Die Persönliche Meinung:

Bei 3.4.1 bis 3.4.3 würde ICH! alles kündigen und in ein eigenes ETF Depot umschichten + Risikoabsicherung über eine normale einfache Risikolebensversicherung machen.

 

Genau. Und den Riester gleich mit weg! Das Geld (Rückkaufwerte, zukünftig eingesparte Prämien und die Ausgaben für die monatlichen ETF-Käufe) aber erst mal in Geldmarktfonds oder Tagesgeld parken, denn:

 

Am 3.3.2024 um 16:44 von SWAT91:

Ich habe noch einen Sollzinssatz von 1,250 v. H., fest bis zum 30.07.2026 - anschließend muss ich eine Anschlussfinanzierung machen.

 

Also: Maximal Geld ansparen und  am 30.07.26 die überschaubare Restsumme auf einen Schlag zurückzahlen. Versicherungen, Riester und ETF-Sparplan wird bei Kündigung ja sowieso schon eingespart und u.U. geht auch noch ne Schippe drauf (?) Wenn es immer noch nicht reicht, vielleicht ein kurzfristiges Darlehen in der Verwandtschaft aufnehmen. Wenn dann schlussendlich alles komplett abgezahlt ist, baust du dir in den nächsten dreißig Jahren mit monatlich 1.000€ ein sehr schönes Aktiendepot mit ~1 Mio Endsumme auf. Aber bis dahin hat der Schuldenabbau Priorität!

 

Restschuld Bank: -90.000€

Rückkaufwerte: +40.000€

Sparsumme* bis 07/24: +28.000€

________________________________

Fehlbetrag: nur noch -22.000€

 

*) Geld, das bislang  für Versicherungen und Sparpläne aufgewendet wird

Diesen Beitrag teilen


Link zum Beitrag
intInvest

@sedativ hat da natürlich einen validen Punkt. Der Sollzinssatz von 1,250 ist zwar niedrig im Vergleich zu dem was man aktuell bekommt, aber die Zinsbindung läuft ja relativ bald aus. Da wäre es sinnvoll auf einen Schlag die Restsumme abzubezahlen.

Hier könnte man mit dem verfügbar gewordenen Kapital evtl. entsprechende Festgelder mit passender Fälligkeit nutzen um noch etwas positives Zinsdifferenzgeschäft mitzunehmen. 

Diesen Beitrag teilen


Link zum Beitrag
SWAT91
· bearbeitet von SWAT91
vor 2 Stunden von satgar:

Das gibt es auch, aber das ist nichts, was du hast. Du hast normale Provisionstarife, die nicht in Fonds/ETFs investieren, sondern in das Deckungskapital/Sicherungsvermögen der Versicherung selbst. Mit deinem Geld versucht der Versicherer, nach Abzug aller Kosten und Risikobeiträge, einen Gewinn zu erzielen. Was die Debeka da zuletzt geschafft hatte, findest du hier: https://www.policendirekt.de/ratgeber/gewinnbeteiligung-aller-lebensversicherungen/ Im Jahr 2023 gabs bei der Debeka 1,25% Zins, 2024 2,25%. Wohlgemerkt: NICHT auf ein eingezahltes Geld, sondern abzgl. erstmal der Kosten. Deine Nettorendite ist also deutlich kleiner als die genannten Werte. Sollte deine Garantieverzinsung über dem Kapitalanlageergebnis des Versicherers liegen, erhältst du natürlich deinen Garantiezins. Eine solche Versicherung hat übliche Vertragskosten (ausgedrückt in einer Effektivkostenquote/Renditeminderung je Jahr von 1%). Wenn du also 2,25% Garantiezins hast, hast du ca. 1,25% Nettorendite auf dein eingezahltes Geld, abzgl. noch Steuern am Ende der Laufzeit sowie abzgl. der Inflation. In wie weit solch eine Geldanlage langfristig Sinn macht, musst du selbst entscheiden.

 

Demgegenüber gibt es aber noch fondsgebundene Versicherungen, die in ETFs anlegen. Diese gibt es als überteuerte Provisionstarife und als kostengünstige Nettotarife.  Du hast mit der Riesterrente so eine Generali fondsgebundene Riesterrentenversicherung. Diese legt zum Teil im Sicherungsvermögen der Generali an (um dein Garantiekapital zum Rentenbeginn zu erreichen), und zum Teil in Fonds, die du selbst aussuchen kannst. Du hast dich für ein Provisionsprodukt entschieden, daher läuft es seit Vertragsbeginn einfach sehr schlecht. Die hohen Kosten für Versicherungsverkäufer und Versicherer fressen alles auf, was an Geldanlage Rendite bringt.

Danke für die Erläuterung. Dass ich damals die "falsche" Art von Policen ausgesucht habe, habe ich - seitdem ich mich intensiver mit dem Kosten- /Nutzenfaktor befasse auch feststellen müssen...!

 

Deshalb bin ich nun dran, sowohl einen eigenen ETF-Sparplan zu etablieren und spiele wie gesagt mit dem Gedanken, zusätzlich in eine neue ETF-Netto-Police zu investieren, bin aber nach dem Beitrag von @intInvest nicht mehr sicher, ob und wann die ETF-Netto-Police sinnvoll ist,

 

 

vor 4 Stunden von intInvest:

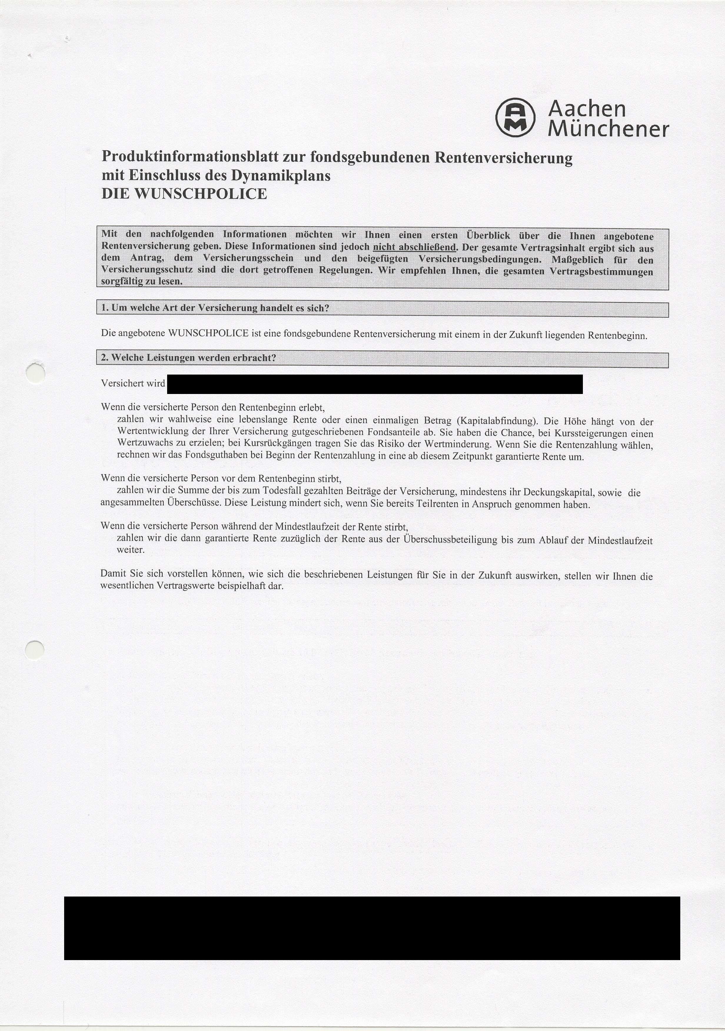
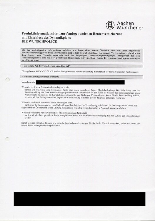
Hast du das Produktinformationsblatt noch? Wie gesagt, ich kann mir kaum vorstellen, dass das alles ist. Die 2% aus "Klausel 3" kann ich nicht ganz zuordnen, wo genau sie wie anfallen, da könnte evtl. jemand mit mehr Erfahrung helfen.

Hier das Produktinformationsblatt des Vertrages:

 

AM.1.thumb.jpg.af5edec31e437b0e0423d2d68c448c29.jpg

 

AM.2.thumb.jpg.0c4208e43566d0cd99fd4b3b6439e60b.jpg

AM.3.thumb.jpg.78ce8692c9fca5bb7afd6dea3455ab39.jpg

 

Werden noch weitere Infos benötigt?

 

vor einer Stunde von bondholder:

Wer aus Unwissenheit/Dummheit oder finanzieller Not den Versicherungsbeitrag in monatlichen Raten abstottert, wird dafür noch einmal zur Kasse gebeten. Das ist in der Branche so üblich.

 

Wetten, dass der DVAG-Strukki das seinen Opfern nicht erzählt?

Ich kann mich zumindest nicht mehr daran erinnern - möchte aber auch nicht behaupten dass er es nicht gesagt hätte...!

 

vor 14 Minuten von intInvest:

@sedativ hat da natürlich einen validen Punkt. Der Sollzinssatz von 1,250 ist zwar niedrig im Vergleich zu dem was man aktuell bekommt, aber die Zinsbindung läuft ja relativ bald aus. Da wäre es sinnvoll auf einen Schlag die Restsumme abzubezahlen.

Hier könnte man mit dem verfügbar gewordenen Kapital evtl. entsprechende Festgelder mit passender Fälligkeit nutzen um noch etwas positives Zinsdifferenzgeschäft mitzunehmen. 

Also wenn ich die neuesten Beiträge richtig interpretiert habe, dann kündige alle Verträge, lege das frei gewordene Geld risikoarm aber möglichst ertragsreich so an, dass es zum Ende der Kreditlaufzeit zur Verfügung steht und zahle damit so viel wie möglich des alten Kredites ab?

 

Kann mir trotzdem noch jemand eine Rückmeldung zu dem Vertrag 3.4.3 geben (mit dem Produktinformationsblatt) ob dieser wirklich so extrem schlecht ist? Weg kommt er sehr wahrscheinlich so oder so, mir geht es aber auch darum es zu verstehen und aus meinen Fehlern zu lernen.

 

Und eine kurze Rückmeldung bzgl. meiner Ausführungen eines ETF-Sparplanes und einer ETF-Netto-Police wäre auch super, einfach damit ich für die Zukunft weiß, ob ich richtig lag bzw. wo der Unterschied ist und welches Konzept hinter welchem Produkt steht.

 

Vielen Dank Euch Allen!

Diesen Beitrag teilen


Link zum Beitrag
intInvest
· bearbeitet von intInvest
vor 5 Stunden von SWAT91:

ETF-Sparplan ist ein Sparplan (den ich bereits habe) einen ETF. Die Zinsen aus diesem und allen anderen Anlageformen muss ich versteuern, jedoch habe ich einen steuerfreien Pauschbetrag von derzeit 1.000 €.

 

Eine ETF-Netto-Police mit Versicherungslösung ist ebenfalls ein ETF-Sparplan, welcher aber einen Versicherungsmantel hat. Hier spare ich eben den Betrag auch in einen Fond, welcher bei meiner Versicherungsgesellschaft bleibt und bei Auszahlung bekomme ich dann, gem. dem erwirtschafteten Kapital und dem Verrentungsfaktor pro 10.000 € eine monatliche Rente (oder als Einmalkapital ausbezahlt, was ja keinen Sinn macht).

Vorteil der ETF-Netto-Police ist, dass, trotz Ausreitzung des Steuer-Pauschbetrages durch andere Versicherungen die angesparten Fondsanteile aufgrund des Versicherungsmantels nicht steuerpflicht werden, bei Auszahlung als Rente nur anteilig Steuerpflichtig sind (12/62-Regel muss aber beachtet werden) und vor allem, je nach Dauer der festgelegten Rentenzahlung, eine Garantie für die Auszahlung besteht, auch wenn mein angespartes Fondsvolumen theoritisch nicht mehr für die Bedienung der Rente reicht, müsste die Versicherung die Rente weiter zahlen.

Sollte ich davor sterben, geht die Restmasse der restlichen garantieren Rentenzahlzeit an meine Erben.

Also vor allem die Langlebigkeit (eigentlich kein Geld mehr im Fonds, aber die Versicherung zahlt in der vereinbarten Zeit aus) sowie die steuerlichen Dinge sind die Vorteile, oder?

 

Stimmt das so (mal abgesehen von evtl. falsch benutzten Begriffen) oder habe ich etwas eklatantes falch beschrieben bzw. vergessen...?

Grundsätzlich ist das korrekt.

 

Ein ETF generell erzeugt keine "Zinsen" sondern der Wert deiner Anteile steigt. Es gibt ETF die einen Teil des Fondsvolumens ausschütten, das wird dann deinem Konto gutgeschrieben. Das passiert aber unabhängig davon ob der ETF gestiegen oder gesunken ist im Wert.

Die Ausschüttungen werden versteuert und auch die aufgelaufenen noch nicht versteuerten Kursgewinne / Wertsteigerungen werden beim Verkauf von Anteilen versteuert. Seit 2018 gibt es auch eine Vorabpauschale, dass ist eine vorgezogene Besteuerung der Kursgewinne bevor du überhaupt was verkaufst.

 

Generell ist also ein eigener ETF-Sparplan und eine Fondsgebundene Rentenversicherung im Inneren das selbe, nur die Hülle, Versicherungsmantel oder nicht, ist eine andere. Dieser Versicherungsmantel kostet natürlich mehr als ein eigenes ETF Depot, und in deinem Fall vermutlich deutlich mehr. Im Versicherungsmantel hat man gewisse steuerliche Vorteile, so dass bei Verkauf/Neukauf, also Umschichtung, zwischen Fonds keine Steuern anfallen und auch Ausschüttungen/Erträge innerhalb der Versicherung erstmal steuerfrei sind. Ob man häufiges Umschichten überhaupt nutzt ist dann wieder eine andere Frage. Generell ist eine Versicherungslösung dafür da, das Langlebigkeitsrisiko abzusichern. Bei deinem Rentenfaktor müsstest du mal rechnen, wie alt du wirklich werden musst, um überhaupt mal alle deine Einzahlungen rauszubekommen und da sprechen wir noch gar nicht von Rendite, sondern nur von Break-Even. Das dauert meistens sehr lange. Hier stellt sich also die Frage, ob man mit einem eigenen ETF Depot nicht deutlich flexibler ist und am Ende dann auch deutlich mehr rausbekommt + im späten Erbfall (also außerhalb der üblichen Rentengarantiezeit von 10 Jahren einer Versicherung) komplett vererbt wird.

 

Da du mit Pension vermutlich sowieso sehr gut bedient bist + zusätzlich ein ETF Depot aufbauen kannst, sehe ich persönlich erstmal keine Notwendigkeit einer Versicherungslösung. Das mögen andere aber vllt. anders sehen.

Diesen Beitrag teilen


Link zum Beitrag
satgar
· bearbeitet von satgar
vor 14 Minuten von intInvest:

Da du mit Pension vermutlich sowieso sehr gut bedient bist + zusätzlich ein ETF Depot aufbauen kannst, sehe ich persönlich erstmal keine Notwendigkeit einer Versicherungslösung. Das mögen andere aber vllt. anders sehen.

Sehe das auch so. Eine ETF Police finde ich ganz persönlich dann interessant, wenn man auch den Sparerpauschbetrag ausgeschöpft hat und tendenziell mit einem Entnahmeplan eines Depots nicht so viel anfangen kann. So geht’s mir selbst z.B.

 

Ein anderer Grund kann sein, dass es in Fondspolicen aktive Fonds und deren institutionelle Tranchen gibt, die dann wichtig werden können, wenn jemand extrem nachhaltig anlegen will, was ein ETF zumindest derzeit nicht schafft. Dann kann das Besparen solcher aktiven Fonds in der Netto Fondspolice sogar günstiger sein als mit der Publikumstranche im privaten Bankdepot. Der terrAssisi Aktien I AMI I(a) (DE000A2DVTE6) ist so ein Beispiel.

Diesen Beitrag teilen


Link zum Beitrag
Wandersmann
vor 3 Stunden von satgar:

Sehe das auch so. Eine ETF Police finde ich ganz persönlich dann interessant, wenn man auch den Sparerpauschbetrag ausgeschöpft hat und tendenziell mit einem Entnahmeplan eines Depots nicht so viel anfangen kann. So geht’s mir selbst z.B.

 

Ein anderer Grund kann sein, dass es in Fondspolicen aktive Fonds und deren institutionelle Tranchen gibt, die dann wichtig werden können, wenn jemand extrem nachhaltig anlegen will, was ein ETF zumindest derzeit nicht schafft. Dann kann das Besparen solcher aktiven Fonds in der Netto Fondspolice sogar günstiger sein als mit der Publikumstranche im privaten Bankdepot. Der terrAssisi Aktien I AMI I(a) (DE000A2DVTE6) ist so ein Beispiel.

Braucht man bei Nettopolicen immer einen Honorarberater? Oder gibt es auch welche die man selbst abschließen kann? 

Diesen Beitrag teilen


Link zum Beitrag
odensee
vor 5 Minuten von Wandersmann:

Braucht man bei Nettopolicen immer einen Honorarberater? Oder gibt es auch welche die man selbst abschließen kann? 

Keine Ahnung, ob das möglich ist. Aber wenn du die 149 Euro (wenn ich mich richtig erinnere) für einen im WPF oft gepushten Honorarberater unbedingt einsparen willst, wäre ein Direktversicherer eine Möglichkeit.

Diesen Beitrag teilen


Link zum Beitrag
Wandersmann
Gerade eben von odensee:

Keine Ahnung, ob das möglich ist. Aber wenn du die 149 Euro (wenn ich mich richtig erinnere) für einen im WPF oft gepushten Honorarberater unbedingt einsparen willst, wäre ein Direktversicherer eine Möglichkeit.

Gibt es da Empfehlungen?

Diesen Beitrag teilen


Link zum Beitrag
bondholder
vor 6 Stunden von SWAT91:

Ich kann mich zumindest nicht mehr daran erinnern - möchte aber auch nicht behaupten dass er es nicht gesagt hätte...!

Seien wir realistisch: Hättest du beim Debeka-Menschen diese Kapital-Lebensversicherungen abgeschlossen, wenn man dir die Nachteile und hohen Kosten ausführlich erklärt hätte?

 

Und kannst du im Nachhinein rekonstruieren, was dich geritten hat, im Laufe der Jahre immer mehr von diesen Versicherungen abzuschließen? Dachtest du im Ernst, das wäre eine sinnvolle Möglichkeit, Geld anzulegen? (Als Beamter mit Pensionsberechtigung kann Altersvorsorge ja wohl nicht das Argument gewesen sein. Hast du vielleicht Steuern sparen!!! gehört und direkt alles unterschrieben?)

 

 

 

Diesen Beitrag teilen


Link zum Beitrag
SWAT91
· bearbeitet von SWAT91

 @intInvest: Vielen Dank für die ausführliche Erklärung!!!

 

 

vor 7 Stunden von Wandersmann:

Gibt es da Empfehlungen?

Auch das würde mich interessieren....!

 

vor 5 Stunden von bondholder:

Seien wir realistisch: Hättest du beim Debeka-Menschen diese Kapital-Lebensversicherungen abgeschlossen, wenn man dir die Nachteile und hohen Kosten ausführlich erklärt hätte?

 

Und kannst du im Nachhinein rekonstruieren, was dich geritten hat, im Laufe der Jahre immer mehr von diesen Versicherungen abzuschließen? Dachtest du im Ernst, das wäre eine sinnvolle Möglichkeit, Geld anzulegen? (Als Beamter mit Pensionsberechtigung kann Altersvorsorge ja wohl nicht das Argument gewesen sein. Hast du vielleicht Steuern sparen!!! gehört und direkt alles unterschrieben?)

Nein, das hätte ich sehr wahrscheinlich nicht gemacht!

 

Nun ja, ich war 18 - 23 Jahre alt, Berufanfänger und dachte etwas gutes für meine Zukunft zu tun. Dass man in dem Alter nicht viel Ahnung hat finde ich nach wie vor verständlich. Als es dann nach und nach mehr Besoldung gab, war es für mich auch sinnvoll, dieses Geld zu investieren (auch wenns nicht die richhtige bzw. optimale Anlage war).

Und da ich ein sicherheitsliebender Mensch bin, ist es mir trotz Pensionsberechtigung wichtig, privat für meine Altersvorsorge zu sorgen, im schlimmsten Fall habe ich zu viel Geld (was ja eher nie der Falls sein wird) und vererbe es weiter.

Also von dem her würde ich mich wieder für die Altersvorsorge entscheiden, aber eben in anderer Form.

Diesen Beitrag teilen


Link zum Beitrag
odensee
· bearbeitet von odensee
vor 10 Stunden von Wandersmann:

Gibt es da Empfehlungen?

Da jetzt auch @SWAT91 fragte: nein, ich habe keine Empfehlung. Sind halt einige Kandidaten, die man abklappern sollte. Ich selbst habe eine fondsgebundene PRV bei Cosmosdirect zu sehr günstigen Konditionen, die heute nicht mehr angeboten werden. Die EUROPA hatte auch mal gute Konditionen (IIRC …)

 

Direktversicherer statt Nettopolice über Berater bedeutet halt auch, sich selbst kümmern zu müssen.

Hätte ich zum Zeitpunkt des Abschlusses meiner PRV mehr Wissen über Nettopolicen gehabt, dann  hätte ich zumindest bei FIS*** mal angefragt.

Diesen Beitrag teilen


Link zum Beitrag
satgar
vor 10 Stunden von Wandersmann:

Braucht man bei Nettopolicen immer einen Honorarberater? Oder gibt es auch welche die man selbst abschließen kann? 

Bei den Versicherers selbst kannst du diese nicht einkaufen. Du musst immer einen Vertriebsweg einschlagen.

Diesen Beitrag teilen


Link zum Beitrag
Feranda
· bearbeitet von Feranda
vor 22 Stunden von intInvest:

Das war so zu verstehen, dass du gerade 172,70€ monatliche Beiträge zahlst und davon gehen monatlich die ausgewiesenen 9,43€ (113,16€ p.a.) als Gebühr ab -> ~ 5,5%

Hast du das Produktinformationsblatt noch? Wie gesagt, ich kann mir kaum vorstellen, dass das alles ist. Die 2% aus "Klausel 3" kann ich nicht ganz zuordnen, wo genau sie wie anfallen, da könnte evtl. jemand mit mehr Erfahrung helfen.

Da passt etwas nicht zusammen.

Bei den ausgewiesenen Abschlusskosten dürfte die monatliche Sparrate 2010 um die 50€ monatlich gewesen sein und zwischenzeitlich hochdynamisiert worden sein.

Dementsprechend sind die bei Abschluss ausgewiesenen Kosten nur insoweit aussagekräftig, als dass es damals ~18,9% Beitragsbezogene Kosten waren und aktuell dementsprechend ca. 389€ jährliche Verwaltungskosten in der Standmitteilung auftauchen sollten. Pfui.

 

Edit: 50€ war wohl korrekt, hätte bis zum Ende lesen sollen.

vor 16 Stunden von intInvest:

Da du mit Pension vermutlich sowieso sehr gut bedient bist + zusätzlich ein ETF Depot aufbauen kannst, sehe ich persönlich erstmal keine Notwendigkeit einer Versicherungslösung. Das mögen andere aber vllt. anders sehen.

Aus meiner (!) Sicht ist hier aktuell nichts im Versicherungsbereich notwendig. Maximal eine Nettopolice für die Frau, da erfahrungsgemäß aufgrund Teilzeit nach Kindern die Altersvorsorge vernachlässigt wird und die Rentenlücke steigt. Ist die Frau auch Beamtin? Hab ich das überlesen?

Diesen Beitrag teilen


Link zum Beitrag
Feranda

Ansonsten ein paar Impulse:

 

  • AXA Haftpflicht auf aktuellstes Bedingungswerk prüfen, deliktunfähige Kinder einschließen und Diensthaftpflichtbaustein sollte drin sein. Gibt aber auch andere Anbieter, die das können.
  • DU auf den Prüfstand stellen. Wie hoch ist das aktuelle Ruhegehalt, wie hoch wäre eine individuell gesteckte Lücke? Passt die DU noch? Zu Hoch? Zu Niedrig?
  • Unfallversicherung alle 3-5 Jahre aktualisieren lassen. Finde ich persönlich nur dann wichtig, wenn man auch sportlich aktiv ist oder gefährliche Hobbies hat. Und für Kinder (kostet nicht wirklich viel, hier hohe Summen abzusichern).
  • Unbedingt Risikolebensversicherung Über-Kreuz machen. Laufzeit orientiert sich oft am Darlehen/Alter der Kinder. In eurem Fall sind 25 Jahre sicher nicht verkehrt
  • Debeka 1 & 2 und Generali Wunschpolice platt machen. Riester still legen. Kündigung wäre ich vorsichtig. Man kann das Kapital auch nahezu kostenlos zu einem neuen Anbieter portieren lassen. Je nach Einkommen der Frau nach Kind(ern), kann hier aber ein Mini Riester für die Frau Sinn machen. Sprengt jetzt aber den Rahmen, das auszuführen
  • Investmentdepot aufbauen / Immobilienkredit tilgen / Rücklagen fürs Haus aufbauen
  • Und bei eurem Einkommen könnte auch eine kleine Kapitalanlagewohnung interessant sein, ist aber mit deutlich mehr Einarbeitung verbunden, als ein ETF Sparplan

Diesen Beitrag teilen


Link zum Beitrag
SWAT91
· bearbeitet von SWAT91
vor 7 Stunden von Feranda:

Da passt etwas nicht zusammen.

Bei den ausgewiesenen Abschlusskosten dürfte die monatliche Sparrate 2010 um die 50€ monatlich gewesen sein und zwischenzeitlich hochdynamisiert worden sein.

Dementsprechend sind die bei Abschluss ausgewiesenen Kosten nur insoweit aussagekräftig, als dass es damals ~18,9% Beitragsbezogene Kosten waren und aktuell dementsprechend ca. 389€ jährliche Verwaltungskosten in der Standmitteilung auftauchen sollten. Pfui.

Also in der Standmitteilung erscheinen leider keine jährlichen Kosten... und nach meinem Verständnis kann ich auch nicht bezahlte Gebühren eines Jahres vom Fondswert des Vorjahres abziehen, da dabei der Fondsverlauf mit berechnet werden würde.

Wie kann ich denn die tatsächlichen Kosten ermitteln wenn sie nicht explizit (wie bei der Riesterrentenversicherung) ausgewiesen sind?

 

Und ja, am Anfang waren es 50 € monatlicher Beitrag, jedoch wurde eine Dynamik von 10% vereinbart.

 

vor 7 Stunden von Feranda:

Aus meiner (!) Sicht ist hier aktuell nichts im Versicherungsbereich notwendig. Maximal eine Nettopolice für die Frau, da erfahrungsgemäß aufgrund Teilzeit nach Kindern die Altersvorsorge vernachlässigt wird und die Rentenlücke steigt. Ist die Frau auch Beamtin? Hab ich das überlesen?

Nein, das wurde nicht überlesen - habe ich vergessen zu erwähnen. Nein, sie ist keine Beamtin, sie ist Angestellte im Gesundheitsbereich mit ca. 46.000 € Bruttoeinkommen / Jahr. Hat wie wie schon geschrieben eine RV+BU von der Universa, diese werde ich jetzt dann auch noch angehen, aufdröseln, die BU extra abschließen und dann die RV ausbezahlen lassen und in eine Nettopolice investieren (vorrausgesetzt, sie möchte das auch:rolleyes:)

Gibt es hier Tipps, welche Versicherung für den Gesundheitsbereich oder allgemein die besten BU anbietet?

 

vor 7 Stunden von Feranda:
  • AXA Haftpflicht auf aktuellstes Bedingungswerk prüfen, deliktunfähige Kinder einschließen und Diensthaftpflichtbaustein sollte drin sein. Gibt aber auch andere Anbieter, die das können.
  • DU auf den Prüfstand stellen. Wie hoch ist das aktuelle Ruhegehalt, wie hoch wäre eine individuell gesteckte Lücke? Passt die DU noch? Zu Hoch? Zu Niedrig?
  • Unfallversicherung alle 3-5 Jahre aktualisieren lassen. Finde ich persönlich nur dann wichtig, wenn man auch sportlich aktiv ist oder gefährliche Hobbies hat. Und für Kinder (kostet nicht wirklich viel, hier hohe Summen abzusichern).
  • Unbedingt Risikolebensversicherung Über-Kreuz machen. Laufzeit orientiert sich oft am Darlehen/Alter der Kinder. In eurem Fall sind 25 Jahre sicher nicht verkehrt
  • Debeka 1 & 2 und Generali Wunschpolice platt machen. Riester still legen. Kündigung wäre ich vorsichtig. Man kann das Kapital auch nahezu kostenlos zu einem neuen Anbieter portieren lassen. Je nach Einkommen der Frau nach Kind(ern), kann hier aber ein Mini Riester für die Frau Sinn machen. Sprengt jetzt aber den Rahmen, das auszuführen
  • Investmentdepot aufbauen / Immobilienkredit tilgen / Rücklagen fürs Haus aufbauen
  • Und bei eurem Einkommen könnte auch eine kleine Kapitalanlagewohnung interessant sein, ist aber mit deutlich mehr Einarbeitung verbunden, als ein ETF Sparplan

Vielen Dank für die vielen Tipps!

 

  • AXA ist auf dem aktuellsten Bedinungswerk, wurde erst zum 01.01.2024 abgeschlossen, Diensthaftpflicht ist mit drin, das Kind werde ich noch einschließen
  • DU ist bei der DBV (Tarif ALVSDV-3-18), kostet derzeit 33,25 € und ist auf 800 € / Monat abgesichert - ist dies reell?
  • Unfallversicherung bin ich derzeit auch dran, ich selbst bin derzeit bei der InterRisk Unfallversicherung XXL, meine Freundin noch gar nirgends, hier suche ich einen passenden "Familientarif", wobei der DEBEKA-Berater eine UV angeboten hat, jedoch meinte, dass meine bisherige UV falsch angelegt sei (ich habe derzeit ca. 82.000 € Grundsumme bei 350% Progression, keine Rente aus der BU für jährlich 185,50 €
    Er meinte, dass sei nicht optimal, und hat folgendes Angebot gemacht, für 360 € / Jahr (nur mein Anteil):

774462183_Screenshot2024-03-06183010.png.924108e62f91577b1e30b43b33a9252a.png

ich halte von ihr nicht viel - zumal ich es als nicht notwendig erachte, eine weitere Rente abzusichern?!

  • Risiko-LV bin ich dabei, hier warte ich noch auf ein Angebot
  • Welche Rieser-Anbieter machen denn Sinn? Wenn der Staat mir 175€ für mich und 300€ / Kind schenkt, würde ich das schon gerne mitnehmen - aber nur wenn die Versicherung an sich auch Sinn macht (nicht wie meine jetztige).... In diesem Fall stelle ich sie mal Beitragsfrei...

 

Vielen Dank für die vielen Infos von Euch allen!!!

Diesen Beitrag teilen


Link zum Beitrag
Wandersmann
vor 11 Stunden von odensee:

Da jetzt auch @SWAT91 fragte: nein, ich habe keine Empfehlung. Sind halt einige Kandidaten, die man abklappern sollte. Ich selbst habe eine fondsgebundene PRV bei Cosmosdirect zu sehr günstigen Konditionen, die heute nicht mehr angeboten werden. Die EUROPA hatte auch mal gute Konditionen (IIRC …)

 

Direktversicherer statt Nettopolice über Berater bedeutet halt auch, sich selbst kümmern zu müssen.

Hätte ich zum Zeitpunkt des Abschlusses meiner PRV mehr Wissen über Nettopolicen gehabt, dann  hätte ich zumindest bei FIS*** mal angefragt.

Was meinst du mit einige Kandidaten bzw. mit FIS***?

 

Was sind denn gute Konditionen?

Diesen Beitrag teilen


Link zum Beitrag
satgar
vor 42 Minuten von SWAT91:

360 € / Monat

Ich hoffe dass das ein Schreibfehler ist und nicht dein ernst.

vor 45 Minuten von SWAT91:

Wenn der Staat mir 175€ für mich und 300€ / Kind schenkt

Der Staat schenkt da gar nichts!

Diesen Beitrag teilen


Link zum Beitrag
SWAT91
vor 3 Minuten von satgar:

Ich hoffe dass das ein Schreibfehler ist und nicht dein ernst.

Das war ein Schreibfehler - wurde korrigiert:dumb:

Diesen Beitrag teilen


Link zum Beitrag
satgar
· bearbeitet von satgar
vor 9 Minuten von SWAT91:

Das war ein Schreibfehler - wurde korrigiert:dumb:

Zum Glück ;). Die Sachversicherungen der Debeka sind übrigens nicht besonders Leistungsstark (das Kleingedruckte) und haben nur ein mäßiges Preisleistungsverhältnis. Ihr solltet euch neutraler von einem Versicherungsmakler beraten lassen und nicht von einem Versicherungsvertreter, der euch nur Debeka verkaufen kann oder einem Mehrfach Agenten der DVAG.

Diesen Beitrag teilen


Link zum Beitrag
odensee
vor 30 Minuten von Wandersmann:

Was meinst du mit einige Kandidaten bzw. mit FIS***?

FIS*** ein Honorarberater, über den man Nettopolicen abschließen kann.  Ich meine, er nimmt 150 Euro/Vertrag. Im Forum wurde ausreichend Werbung für ihn gemacht, daher mal anonymisiert.

Einige Kandidaten: nun, es gibt einige Direktversicherer. Da recherchierst du mal im Internet und findest z.B. eben die COSMOSdirect oder die EUROPA. Also wenn du DIY machen willst.

 

vor 34 Minuten von Wandersmann:

Was sind denn gute Konditionen?

Bei der COSMOSdirect zahle ich im Jahr 24 Euro für eine fondsgebundene Rentenversicherung. Gibt es so aber schon lange nicht mehr.

Diesen Beitrag teilen


Link zum Beitrag
Rotenstein
· bearbeitet von Rotenstein

Da haben wir wieder einmal alles zusammen, was den Aufbau von Vermögen und die Altersvorsorge in Deutschland so attraktiv macht:

  • Der deutsche "Anleger" hat ein Bedürfnis nach einer vermeintlich "sicheren" Geldanlage und versucht dieses bei einer "Versicherung" oder einem Finanzvertrieb zu stillen, weil ja die Börse böse ist
  • Die leicht erreichbaren Opfer werden durch "Zuschüsse" und "Steuervorteile", die eine einfache, sichere Rendite vorspiegeln, geködert, indem die bei Deutschen hochaktive Hirnregion für Steuerersparnisse und Freibier aktiviert wird
  • Gleichzeitig werden Steuervorteile und staatliche Regelungen, inklusive Benennungen wie "Riester-Rente" in quasi obrigkeitsstaatlicher Manier als Gütesiegel empfunden
  • Eine gewissenhafte Geldanlage und die dafür notwendige Expertise werden durch lange Dokumente mit unverständlicher Sprache vorgespiegelt, inklusive von Begriffen, die niemand ausser einem engen Expertenkreis versteht
  • Schlussendlich liegt die Rendite im negativen Bereich, was aufgrund der Marktentwicklung wirklich ein Kunststück ist das man erst einmal vollbringen muss. Zum Glück denkt der deutsche Anleger nominal und bedenkt nicht die Inflation oder gar die Opportunitätskosten im Vergleich zu einer kostengünstigen, breit diversifizierten Anlage in den globalen Aktienmarkt
  • Und als Clou und Ausweis der deutschen Fortschrittlichkeit ist alles "digital", also im deutschen Verständnis am Rechner erstellt, dann ausgedruckt auf gräulichem Papier, als Brief versandt, und schliesslich mühsam wieder eingescannt. So geht Fortschritt!

Es wäre lustig, wenn sich die Leute so nicht ihre Altersversorgung kaputt machen würden, oder zumindest irgendwann erkennen würden, wie verkommen und korrupt deutsche Versicherungen und Finanzvertriebe agieren, und wie sehr deutsche Politiker den eigenen Bürgern schaden, so sehr sie auch heucheln, etwas für den einfachen Bürger tun zu wollen.

Diesen Beitrag teilen


Link zum Beitrag
sedativ
· bearbeitet von sedativ

@Rotenstein

 

Man sollte nicht immer das Negative sehen. Die Erträge der Versicherten mögen sich zwar antiproportional zu den Gewinnen der Versicherungen verhalten, aber es gibt hierzulande keine Pflicht zum Kauf dieser fragwürdigen Produkte und es ist auch nicht verboten, sich stattdessen die Aktien der verkommenen aber renditeträchtigen Versicherungen ins Depot zu legen.

Diesen Beitrag teilen


Link zum Beitrag
Wandersmann
vor 3 Stunden von odensee:

FIS*** ein Honorarberater, über den man Nettopolicen abschließen kann.  Ich meine, er nimmt 150 Euro/Vertrag. Im Forum wurde ausreichend Werbung für ihn gemacht, daher mal anonymisiert.

Einige Kandidaten: nun, es gibt einige Direktversicherer. Da recherchierst du mal im Internet und findest z.B. eben die COSMOSdirect oder die EUROPA. Also wenn du DIY machen willst.

 

Bei der COSMOSdirect zahle ich im Jahr 24 Euro für eine fondsgebundene Rentenversicherung. Gibt es so aber schon lange nicht mehr.

Und welchen Rentenfaktor hast du?

Diesen Beitrag teilen


Link zum Beitrag

Erstelle ein Benutzerkonto oder melde dich an, um zu kommentieren

Du musst ein Benutzerkonto haben, um einen Kommentar verfassen zu können

Benutzerkonto erstellen

Neues Benutzerkonto für unsere Community erstellen. Es ist einfach!

Neues Benutzerkonto erstellen

Anmelden

Du hast bereits ein Benutzerkonto? Melde dich hier an.

Jetzt anmelden

×
×
  • Neu erstellen...