Zum Inhalt springen
Student2010

Sharpe und Varianzberechnung mit täglichen Daten -> Bitte um Hiflfe

Empfohlene Beiträge

Stairway

post-13380-0-24250600-1311504844_thumb.png

 

Wenn du sie nicht kennst, musst du warten, ob Norbert-54 noch vorbeischaut.

 

Hi Vanity,

 

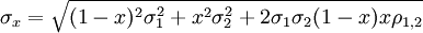
ich bin mir nicht 100%ig sicher, ob man einfach das alte Portfolio als x1 verwenden darf, da ggf. dann Korrelationen unter den Tisch fallen. Die Formel gilt eig. nur für 2 Wertpapiere. Bei 3 oder mehr würde ich eher auf Programme ausweichen.

Diesen Beitrag teilen


Link zum Beitrag
vanity

ich bin mir nicht 100%ig sicher, ob man einfach das alte Portfolio als x1 verwenden darf, da ggf. dann Korrelationen unter den Tisch fallen. Die Formel gilt eig. nur für 2 Wertpapiere. Bei 3 oder mehr würde ich eher auf Programme ausweichen.

Die Formel gilt schon für 2 Komponenten (schon aus dem Grund, dass Korrelation immer für zwei Reihen definiert ist und nie für mehr). Aber die eine Komponente ist eben das bestehende Portfolio, dessen (ggf. durch die Mischung zweier Papiere reduzierte) Vola bereits ermittelt wurde. Unter Berücksichtigung der Gewichtung und bei Kenntnis der jeweiligen Korrelationen kannst du die Gesamtvola eines Portfolios durch paarweises, wiederholtes Zusammenführen zweier Einzelbestandteil ermitteln.

 

In der praktischen Umsetzung scheitert es dann eher an der Verfügbarkeit der Korrelationsdaten, also kann man gleich eine Zeitreihe über das neue Gesamtpaket erstellen und für diese die Vola ermitteln (das ist aber dann der unwissenschaftliche Tüftler&Pröbler-Ansatz :D )

Diesen Beitrag teilen


Link zum Beitrag
Norbert-54
· bearbeitet von Norbert-54

 

und könnte mir jemand helfen, wenn ich zwei wertpapiere in einem depot habe und ein drittes dazu mischen will und dann das gesamtrisiko darstellen möchte wie mache ich das ? ( WP haben unterschiedliche gewichtungen innerhalb des portfolios =

 

grüße

 

Hallo michael77,

 

Das Gesamtrisiko in Form der Volatilität (anteilsgewichtet), ist Wurzel der annualisierten Varianz.

 

Die Varianz berechnet man mit folgender allgemeinen Gleichung:

 

post-10932-0-74471200-1311514130_thumb.png

 

Mit:

 

σi,j: Kovarianz der Renditen zwischen den Wertpapieren i und j

ci: Relativer Anteil der Aktie i im Portfolio

cj Relativer Anteil der Aktie j im Portfolio

 

Die Renditen hast Du ja bereits schon auf täglicher Basis.

 

Die beiden Summenzeichen bedeuten, dass man dies in Excel in Form einer 2- dimensionalen Matrix darstellen kann.

 

Das hört sich etwas kompliziert an, ist jedoch machbar. Die angefügte Excel Datei zeigt anhand eines Beispiels mit 4 Wertpapieren wie es geht:

 

1. In den Spalten B bis E sind die Renditen von 4 Wertpapieren auf monatlicher Basis dargestellt.

2. In den Zellen K9:N12 (Covarianzmatrix) habe ich die Kovarianzen gemäß obiger Formel in der 2- dimensionalen Darstellung berechnet. Sie sind mit dem Faktor 12 (Renditen auf monatlicher Basis) annualisiert. Du müsstest bei täglichen Renditen eine der von vanity genannten Zahlen anstelle der 12 nehmen.

3. In den Zellen K25:N28 (Berechnung Varianz, Vola Rendite) habe ich die Kovarianzen mit den relativen Anteilen (Zellen K23:N23) multipliziert. Die Summe von K25:N28 ist die annualisierte Varianz (in Zelle P28).

 

Darunter ist die Volatilität berechnet und die Rendite gebt´s auch noch dazu.

 

Grüße

Norbert

 

Vola_4_Werte_1.xls

Diesen Beitrag teilen


Link zum Beitrag
michael77

Hallo,

 

und erstmal vielen Dank für eure schnellen ANtworten.

 

Zu dem Excel-Sheet:

1. WIe kommst du auf die erwartete Rendite ? Wenn ich die stetige rendite annualisiere kommt etwas anderes dabei raus.

2. Wie kommt eine Covarianz zu a zu a zustande ?

3. kann man die Varianz einer Datenreihe auch über die Formel Varianz in Excel berechnen ? da dann andere Ergebnisse rauskommen.

 

VIelen Dank nochmal

Diesen Beitrag teilen


Link zum Beitrag
michael77

Ahh und warum sollte man stetige renditen nehmen, zeigen diese tatsächlich eine besser verteilung ?

Diesen Beitrag teilen


Link zum Beitrag
Norbert-54

Hallo,

 

Zu dem Excel-Sheet:

1. WIe kommst du auf die erwartete Rendite ? Wenn ich die stetige rendite annualisiere kommt etwas anderes dabei raus.

2. Wie kommt eine Covarianz zu a zu a zustande ?

3. kann man die Varianz einer Datenreihe auch über die Formel Varianz in Excel berechnen ? da dann andere Ergebnisse rauskommen.

 

VIelen Dank nochmal

 

1. ich habe die Geometrische Renditen aus der Performanceentwicklung genommen. Ausserdem habe ich nicht die ln- Variante sondern die prozentuale Variante für die monatlichen Renditen genommen. Zum Verständnis des Prinzips ist das hier egal.

2. die Kovarianz a zu a ist die Varianz. Zum Verständnis sind Grundlagen in Statistik nötig.

3. Ja. Aber Obacht es gibt mehrere Arten der Varianzrechnung (Erklärung findest Du unter der Hilfe bei der entsprechenden Excelfunktionen), das gleiche gilt auch für die Kovarianz und die Standardabweichung.

 

Mein Beitrag zur Volatilitätsberechnung soll das das Prinzip vorstellen, wie es grundsätzlich geht. Es geht nicht darum warum welche statistische Funktionsvariante verwendet wurde

 

Deine Frage welche Renditeberechnung man zugrunde legen sollte: das muss jeder selbst entscheiden.

 

Welche in Frage kommen könnten:

 

https://www.wertpapier-forum.de/topic/19707-minimum-varianz-portfolio-nach-markowitz/page__st__74

 

 

Norbert

Diesen Beitrag teilen


Link zum Beitrag
marky2k

Zwei Dinge zur endgültigen Klärung. Wahrscheinlich ein bisschen spät, aber naja. Es wird auf den Unterschied zwischen diskreter und stetiger Rendite eingegangen und warum man bei stetigen Renditen eben aufsummiert (was man bei diskreten ja theoretisch nicht darf). Außerdem gibt es die ganzen Formeln und Herleitungen für die Annualisierung der Standardabweichungen.

IMG.pdf

IMG2.pdf

Diesen Beitrag teilen


Link zum Beitrag
michael77

Zwei Dinge zur endgültigen Klärung. Wahrscheinlich ein bisschen spät, aber naja. Es wird auf den Unterschied zwischen diskreter und stetiger Rendite eingegangen und warum man bei stetigen Renditen eben aufsummiert (was man bei diskreten ja theoretisch nicht darf). Außerdem gibt es die ganzen Formeln und Herleitungen für die Annualisierung der Standardabweichungen.

 

Hey super vielen vielen Dank.

 

könntest du mir noch die quellenangabe zukommen lassen oder den genauen titel damit ich es selbst nachschauen kann.

 

echt ein tolles forum vielen dank hierfür

Diesen Beitrag teilen


Link zum Beitrag
marky2k

Schau mal nach Uhlir/Steiner: Wertpapieranalyse, 1994 und/oder Poddig. Wobei ich bei Poddig die Jahreszahl leider nicht weiß. Ich habe die Originalbücher leider gerade nicht vorliegen.

 

 

Diesen Beitrag teilen


Link zum Beitrag

Erstelle ein Benutzerkonto oder melde dich an, um zu kommentieren

Du musst ein Benutzerkonto haben, um einen Kommentar verfassen zu können

Benutzerkonto erstellen

Neues Benutzerkonto für unsere Community erstellen. Es ist einfach!

Neues Benutzerkonto erstellen

Anmelden

Du hast bereits ein Benutzerkonto? Melde dich hier an.

Jetzt anmelden

×
×
  • Neu erstellen...