Zum Inhalt springen
Schinzilord

Risk Parity

Empfohlene Beiträge

Schinzilord
· bearbeitet von Schinzilord

Hallo!

 

Ich habe mich in der letzten Zeit mit dem interessanten Thema Risk Parity beschäftigt, und möchte euch eine Zusammenfassung und persönliche Einschätzung abliefern.

Erst, wenn ich eine Strategie wirklich verstanden und selbst umgesetzt habe, traue ich mir ein Urteil zu, so auch hier beim RiskParity.

 

0. Inhaltsverzeichnis:

1. Definition von Risk Parity und Abgrenzung

2. Chancen und Risiken von Risk Parity

3. Umsetzung von Risk Parity als Privatanleger

4. Persönliche Einschätzung

 

1. Definition von Risk Parity und Abgrenzung

 

Risk Parity kennzeichnet eine Anlagestrategie zur Asset Allocation, bei der die Risikogewichtung im Vordergrund steht. Im Gegensatz zu einer konservativen Asset Allocation, bei der Aktien meist mit 60% dominieren und sich der Rest auf Renten, Rohstoffe und Immobilien aufteilt, werden beim Risk Parity Ansatz die Volatilitäten = Risiken unter Berücksichtigung der Korrelationen gleichgewichtet.

 

Der Begriff Risk Paritiy wurde ca. 2005 von Edward Qian von Panagora Investment begründet, auch wenn die Strategie schon seit mehr als 20 Jahren umgesetzt wird. Deshalb heißt es RiskParity

 

Ein traditionelles Portfolio besteht vom Risiko her gesehen durch die höhere Volatiliät von Aktien fast nur aus Aktienrisiko.

post-9048-0-87815300-1314138457_thumb.jpg

Im Risk Parity Ansatz würden jetzt alle Anlageklassen mit ihrer Volatilität gewichtet werden (hier rückblickend die letzten 20 Jahre):

Als Vergleich ist einmal das Optimal Mean Variance Portfolio aufgeführt (höchste Sharpe Ratio) und ein beliebiges Efficient Frontier Portfolio, was dominiert wird von einer Assetklasse mit hoher Rendite. Dem gegenüber steht das Risk Parity Portfolio mit einer Gleichgewichtung der Risiken = Volatilitäten.

post-9048-0-26834300-1314138474_thumb.png

 

Zur Abgrenzung: Der Risk Parity Approach steht zwischen einem Mean Variance optimierten Portfolio nach der Modern Portfolio Theory nach Markowitz und einem einfachen Gleichgewichten aller Anlageklassen.

Es gibt einige Paper mit ein paar Zusammenfassungen, die aber mehr an Werbebroschüren als an seriöse Veröffentlichungen erinnern (zusammengefasst unter RPAAÜbersicht.zip RPAAÜbersicht.zip

 

Einen schönen historischen Überblick gibt Wikipedia.

 

2. Chancen und Risiken von Risk Parity

Sodala, das Geplänkel ist vorbei, jetzt geht es ans Eingemachte.

Ein sehr schönes Paper mit theoretisches Background kommt von: Maillard2009_TheoBackground.pdf Maillard2009_TheoBackground.pdf

Für den mathematisch Versierten eine Empfehlung.

 

Wie wird Risk Parity umgesetzt?

 

Annahme: Gleichgewichtung der Risiken

Frage: Woher kommt die Rendite?

Bei traditionellen Asset Allocations hat man ein hohes Risk Premium von Aktien, was im Portfolio dominiert. Bei Renten hat man ein Laufzeit Premium, ein Zinsänderungspremium und ein Bonitätspremium.

 

Im Risk Parity Approach werden die Allokationen meist mit Futures umgesetzt, auch um das Kontrahentenrisiko auszuschließen. Normalerweise wird im RiskParity Approach die Rendite ÜBERHAUPT NICHT betrachtet, sondern nur die Volatilitäten und Korrelationen. Aber um trotzdem im Gesamtportfolio noch auf eine ansehnliche Rendite zu kommen, wird gehebelt in Renten investiert (analog der comstage ETF561 auf den Bund Leverage x2).

 

Also hat man ein risikogleichgewichtetes Portfolio aus Aktien und Bund Leverage x2 im einfachen zweiasset Fall. Nimmt man jetzt an, dass Aktien eine Vola von 25% haben und der Bund Leverage x2 eine Vola von 12%, so hätte man eine 66%ige Gewichtung von Renten und 33%ige Gewichtung von Aktien im RiskParity Portfolio.

Im einfachen zwei Assetfall interessieren die Korrelationen nicht, die Gewichtung ergibt sich durch eine einfache Gewichtung nach Volatilitäten.

 

Angenommen, aufgrund der Korrelationen ergibt sich bei einem 66/33 Portfolio eine Portfoliovolatilität von 9%, man will aber eine 12%ige Volatilität (wie im AC Risk Parity 12) haben. Dann muss das gesamte Depot gehebelt werden um den Faktor 12/9 = 1.333. Dies wird dann über Futures leicht realisiert.

-> Risiken im Risk Parity: Hebelrisiken

 

Hier ergeben sich auch schon die Chancen:

Im Backtest hat der Risk Parity Approach die letzten 10 Jahre eine bessere Sharpe Ratio als ein traditionelles Portfolio (siehe Callan.pdf Callan.pdf), jedoch wäre Risk Parity von 1990 bis 2000 schlechter gelaufen, weil da Aktien aufgrund der Technologieblase einfach ein überragendes Sharpe Ratio hatten. Somit hat sich eine hohe Gewichtung in Aktien besser ausgewirkt.

 

Problem: Die letzten 20 Jahre haben sich die Leitzinsen kontinuierlich nach unten entwickelt, wodurch Renten aufgrund der positiven Kursentwicklung überdurchschnittlich gut entwickelt haben und somit im Backtest auch gut abschneiden. Ob dies anhält, darf zumindest mehr als bezweifelt werden.

 

Natürlich müssen die Werte entweder für Vola und Korrelationen aus den Vergangenheitsdaten rollierend berechnet oder ex ante geschätzt werden, was eine kontinuierliche Anpassung der Strategie nötig macht.

 

 

 

Als Zusammenfassung der versteckten Risiken in RiskParity kann folgendes Whitepaper empfohlen werden:B. Inker: Hidden Risks in Risk Parity

 

a.) Risiko != Volatilität: Besser Volatility Parity Risiko ist, dass etwas Unerwartetes eintritt. Und dieses Unerwartete ist natürlich nicht in vergangenen Volatilitäten enthalten.

b.) Hebeln von nicht existenten Risk Premiums. Der Author spielt darauf an, dass ein Bund Leverage und auch Rohstofffuturesetfs unverstandene Renditen einfahren. In einem normalen Portfolio lassen die sich ungehebelt manager, aber nicht verstandene Renditen auch noch hebeln -> zusätzliche Risiken. Hier bin ich geteilter Meinung.

c.) Negative Skewness -> Volatilität beschreibt als Maß einer Gaußschen Normalverteilung nicht die extremen Black Swan Risiken. Beispiel Renten: positive Rendite gedeckelt durch Rückzahlungen aller Zinsen und Nominal + etwaige Zinsänderungspremium, neg. kann im default natürlich ein Totalverlust rauskommen. Und diese Risiken werden gehebelt.

 

3. Umsetzung von Risk Parity als Privatanleger

 

Jetzt die Frage, wie kann man Risk Parity als Privatanleger nachvollziehen, oder sogar einen Benchmark bauen (selbst Umsetzen mit Hebel ETFs ist auch möglich):

Ich beziehe mich dabei auf: Maillard2009_TheoBackground.pdf

 

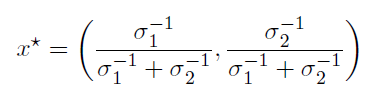
a.) einfachster Fall: 2 Assets -> simple reziproke Gewichtung nach Risiken (Beispiel Aktien 4mal so volatil wie Renten -> 1/5 Aktien, 4/5 Renten

post-9048-0-57677800-1314138685_thumb.png

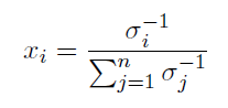
b.) zweit einfachster Fall: mehr Assets, jedoch alle Korrelation = 1: ebenfalls simple reziproke Gewichtung

post-9048-0-75643500-1314138701_thumb.png

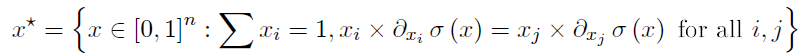
c.) allgemeiner Fall: analytisch nicht mehr lösbar, folgendes Problem:

post-9048-0-70034800-1314138720_thumb.png

Das numerische Problem stellt sich wie folgt dar:

post-9048-0-85029400-1314138737_thumb.png

Und kann mittels des SQP Algorithmus (nichtlinear quadratischer Solver) gelöst werden (Octave SQP Algorithmus)

Das Besondere hierbei ist, dass nicht nur die Volatilitäten eine Rolle spielen, sondern sehr stark auch die Korrelationen. Faustregel: Je geringer ein Asset mit den anderen Assets korreliert ist, desto geringer muss auch die Gewichtung im Portfolio sein.

Das octave Script befindet sich hier:erc.zip

 

Beispiel: So hätte eine Volatilitätsanalyse von 2007 bis August 2010 bei den 3 Assets Aktien (MSCI World), Renten 10-15y EU und Rohstoffe (DBLCI) ergeben:

% Inputparameter: Volatilitäten

Aktien 27% / Renten 7,6% / Rohstoffe 28,5%

Aktien Renten -0.34

Aktien Rohstoffe 0.4

Renten Rohstoffe -0.22

 

Mit diesen Daten kommt man für eine simple reziproke Vola gewichtung OHNE Korrelationen auf

Aktien 18%

Renten 64%

Rohstoffe 17%

Im Depot.

Mittels der numerischen Lösung kommt man auf

Aktien 15%

Renten 70%

Rohstoffe 13%

 

Ebendiese Gewichtung hätte dann von 01.08.2010 bis 24.08.2011 eine Rendite von 2.5% bei einer Vola von 5.1% gebracht, bei einer Korrelation von 0.28 zum Aktienmarkt.

Man sieht hier auch, dass eine Hebelung nötig ist, Aktienähnliche Renditen zu erreichen, womit man sich die ganzen Probleme wieder ins Haus holt.

post-9048-0-12746600-1314138782_thumb.png

während eine simple Gleichgewichtung von 33%/33%/33% eine

Rendite von 5.6% bei einer Vola von 8.6% und einer Korrelation von 0.7 zum Aktienmarkt gebracht hätte.

 

Die Korrelationen zwischen 2007-2010 und 2010-2011 waren erstaunlich stabil (wieder -0.34 und 0.4 bei Aktien XX.

Lediglich zwischen Renten und Rohstoffe stieg sie auf -0.14.

Natürlich ist dies nur ein Snapshot.

 

In Wirklichkeit wird in den Riskparity fonds natürlich täglich angepasst und umgeschichtet, auch werden sie nicht offen legen, wie lange sie in die Vergangenheit schauen um ihre Volas und Korrelationen anzupassen.

 

 

4. Persönliche Einschätzung

 

Ich werde den RiskParity Ansatz weiter verfolgen, jedoch nicht selbst umsetzen, weil mir die Annahmen zu sehr auf günstige Umstände in der Vergangenheit beruhen und ich für die Zukunft wechselnde Umstände erwarte (Insbesondere Anhebung der Leitzinsen, Inflationsszenario). Hoffentlich setzt sich auch der Name VolatilityParity durch, weil er das Problem wesentlich besser beschreibt.

Diesen Beitrag teilen


Link zum Beitrag
klausk
· bearbeitet von klausk

Meine Hochachtung, schinzi, für den Versuch, das Thema "Risiko" anzugehen. Nach meinen Erfahrungen (meinem Vorurteil?) erschrecken Deutsche bei der Erwähnung dieses Worts so sehr, dass sie sich unters Bett verkriechen.

 

Leider funktioniert einer deiner Links nicht. Wahrscheinlich weil das Wort "por***raphie" darin vorkommt. Irgendein Internet-Gott muss mich da vor etwas Bösem beschützt haben. Wie gut, dass wir Götter haben. cool.gif

 

Ohne deine Formeln diskreditieren zu wollen, für mich ist der Einfachkeit halber Gewinnchance mal Wahrscheinlichkeit eine Konstante in der Nähe von 1. Deshalb kann ich gleichermassen in McDonalds investieren und in McDonalds-Options zugleich long und short gehen, ohne mir den Kopf über Gebühr zerbrechen zu müssen.

 

Ich habe von MCD am 25.7. (beim Stand von $88.95)

 

1) September 90 Call-Options gekauft,

2) September 92.5 Call-Options verkauft und

3) September 85 Put-Options verkauft.

 

Unterm Strich hat mich der Deal (jeweils zwei Kontrakte = 200 Aktien) $3,74 gekostet. Einschliesslich Kosten (IB machts möglich biggrin.gif)

 

Im besten Fall (MCD endet am 21. September oberhalb von $92.50) gewinne ich $496.26. Im ungünstigsten Fall (MCD endet unterhalb von $85) muss ich 200 MCD-Aktien zum Preis von 85 = $17,500 kaufen, selbst wenn McDonalds zu dem Zeitpunkt pleite und die Aktie wertlos ist. Tatsächlich ist es wenig wahrscheinlich, dass MCD unter 85 fällt. Sollte sie bei 84 landen, kann ich sie für $16,799 verkaufen (200*84, plus $1.00, um sie loszuwerden); der effektive Verlust wäre $704.74. Es gibt noch andere Möglichkeiten, einen drohenden Verlust zu minimieren: Ich könnte die Puts zurückkaufen oder im Angesicht eines drohenden Kollapses 200 MCD shorten. Falls ich shorte, friere ich den Verlust ein, egal wie die Aktie sich danach entwickelt: bei der Differenz von strike (85) und Verkaufskurs, mal 200 minus den Tradingkosten von $4.74 (die $3.74 plus $1 für den Short-Sale.

 

Wenn ich den möglichen Gewinn von $496.26 mit dem Risiko eines Verlusts vergleiche ($704.74, falls MCD auf 84 endet) und diese Chancen mit der jeweiligen Wahrscheinlichkeit des Eintretens multipliziere, finde ich das Chance/Risiko-Verhältnis ganz klar positiv. (Nein, ich habe keine mathematische Analyse zur Ermittlung der Wahrscheinlichkeit p gemacht, weder für den günstigsten noch den ungünstigsten Fall. Diese Entscheidung treffen meine beiden Gehirnhälften nach Rücksprache mit meinem Bauch.)

 

Es gibt natürlich keine Garantie, dass meine Spekulation Früchte trägt. Ich glaube aber auch nicht, dass ich die meine Zukunft und die meiner Familie übergrossen Risiken ausgesetzt habe. Könnt mich nach dem 21. September ja mal fragen. Oder selber den Schlusskurs von MCD finden und meine Gedankengänge nachvollziehen.

Diesen Beitrag teilen


Link zum Beitrag
BondWurzel
· bearbeitet von BondWurzel

Interessant, wo kann ich jetzt genau meinen Nutzen auf die aktuelle Finanzweltlage bezogen daraus ziehen?

Diesen Beitrag teilen


Link zum Beitrag
Torman

Immer wieder interessant, was ein Marketingbegriff und etwas Mathematik, die die meisten ohnehin nicht verstehen, bewirken können. Oder würde irgend jemand von den Risk Parity Fans aktuell 10jährige Bundesanleihen mit 2% Rendite kaufen? Wenn es hilft etwas von der Aktiengläubigkeit wegzukommen wäre es ja auch nicht schlecht. Ich fürchte nur es ist gerade der falsche Zeitpunkt dafür.

Diesen Beitrag teilen


Link zum Beitrag
Schinzilord

Interessant, wo kann ich jetzt genau meinen Nutzen auf die aktuelle Finanzweltlage bezogen daraus ziehen?

Für dich ist der Thread nicht gemacht.

Ich hatte nur das Gefühl, dass RiskParity Fonds gerade en vogue sind, weil sie im Backtest / Historie super ausschauen.

Und da habe ich mich informiert und mein Wissen mit euch geteilt. Ich habe mein Urteil gefällt, evtl. hilft es anderen auch, die Fonds besser zu verstehen und die Risiken besser einzuschätzen.

Wenn der Thread in der Versenkung verschwindet, dann soll es so sein...

Diesen Beitrag teilen


Link zum Beitrag
Chemstudent

Ich steh auf deine Threads Schinzi. Informativ und anregend immer wieder.

Saubere Leistung! :thumbsup:

Diesen Beitrag teilen


Link zum Beitrag
otto03

Interessant, wo kann ich jetzt genau meinen Nutzen auf die aktuelle Finanzweltlage bezogen daraus ziehen?

Für dich ist der Thread nicht gemacht.

Ich hatte nur das Gefühl, dass RiskParity Fonds gerade en vogue sind, weil sie im Backtest / Historie super ausschauen.

Und da habe ich mich informiert und mein Wissen mit euch geteilt. Ich habe mein Urteil gefällt, evtl. hilft es anderen auch, die Fonds besser zu verstehen und die Risiken besser einzuschätzen.

Wenn der Thread in der Versenkung verschwindet, dann soll es so sein...

 

Finde Deine Erläuterungen wie immer sehr informativ, habe etwas dazu gelernt :thumbsup:

Diesen Beitrag teilen


Link zum Beitrag
Dagobert2

sehr lobenswert, die Ausarbeitung, auch wenn ich die Motivation dafür etwas seltsam finde.

 

quo vadis, Schinzi?

Diesen Beitrag teilen


Link zum Beitrag
Schinzilord

Meine Motivation ist mein Wissensdrang, die Dinge zu verstehen, über die ich urteilen will.

Diesen Beitrag teilen


Link zum Beitrag
BondWurzel

Ich steh auf deine Threads Schinzi. Informativ und anregend immer wieder.

Saubere Leistung! :thumbsup:

Wieso?

Diesen Beitrag teilen


Link zum Beitrag
Schinzilord

Ich steh auf deine Threads Schinzi. Informativ und anregend immer wieder.

Saubere Leistung! :thumbsup:

Wieso?

 

Danke @ chemstudent.

 

Keiner zwingt dich, die Threads zu lesen, Bondwurzel...du hast bestimmt auch ein Hobby, welches mich nicht begeistern kann. Trotzdem würde ich es nicht in Frage stellen...

Diesen Beitrag teilen


Link zum Beitrag
Chemstudent
· bearbeitet von Chemstudent

Ich steh auf deine Threads Schinzi. Informativ und anregend immer wieder.

Saubere Leistung! :thumbsup:

Wieso?

Schinzi schafft es m.M.n. immer wieder, sich mit Anlagestrategien - sei es bspw. Best of Two oder Risk parity - und interessanten Themen (bspw. Benchmarking) intensiv auseinanderzusetzen, viel fundiertes Material dazu zu liefern und seine Posts verständlich zu gestalten. Darum.

Ich jedenfalls lese seine Themen sehr gern.

Diesen Beitrag teilen


Link zum Beitrag
lenzelott
· bearbeitet von lenzelott

 

Wieso?

Schinzi schafft es m.M.n. immer wieder, sich mit Anlagestrategien - sei es bspw. Best of Two oder Risk parity - und interessanten Themen (bspw. Benchmarking) intensiv auseinanderzusetzen, viel fundiertes Material dazu zu liefern und seine Posts verständlich zu gestalten. Darum.

Ich jedenfalls lese seine Themen sehr gern.

 

Möchte mich dem anschließen.

Finde es eine gelungene Darstellung des Themas.

 

Was mir zu dem Thema noch einfällt, wäre: man könnte ja auch mal ein reines Aktienportfolio (zb. MDAX rechnen mit dem Modell).

Im allgemeinen korreliert niedrige Vola mit höherer Rendite, insofern müsste man da auch ein gewisses Alpha erzeugen können.

Diesen Beitrag teilen


Link zum Beitrag
Schinzilord

Interessant, wo kann ich jetzt genau meinen Nutzen auf die aktuelle Finanzweltlage bezogen daraus ziehen?

Wo genau du deinen Nutzen daraus ziehst, bleibt natürlich dir selbst überlassen.

 

Meine Intention war folgende:

- Besseres eigenes Verständnis durch Aufbereitung und Veranschaulichung der Daten

- andere über Chancen und Risiken informieren und somit Hilfen zur eigenen fundierten Meinung geben

 

Wenn du jetzt aber klare Aussagen für die zukünftige Wirtschaftsentwicklung willst, muss ich dich enttäuschen. Aber die wird dir auch kein anderes Modell oder andere Aussage liefern können, woher auch?

 

Nichtsdestotrotz hättest du mit dem RiskParity Ansatz die letzten Wochen beruhigt schlafen können. Ob das auch für die Zukunft gilt, steht wohl in den Sternen.

 

Du bist aber herzlich eingeladen, Kritikpunkte anzubringen, damit wir uns darüber austauschen können. Aber eine Kritik am System, dass es nicht die Zukunft vorhersehen kann, lasse ich nicht gelten :)

Diesen Beitrag teilen


Link zum Beitrag
Schinzilord

 

Was mir zu dem Thema noch einfällt, wäre: man könnte ja auch mal ein reines Aktienportfolio (zb. MDAX rechnen mit dem Modell).

Im allgemeinen korreliert niedrige Vola mit höherer Rendite, insofern müsste man da auch ein gewisses Alpha erzeugen können.

Wenn man sich die Mühe macht, alle Korrelationen auszurechnen, so käme man doch auf Korrelationen >0.9, womit das Modell eine reine Gewichtung nach Volatilitäten macht.

Und die Unterschiede in den Volas sollten nicht so groß sein (Sagen wir 20%-30%), womit man fast eine Gleichgewichtung aller Aktien im MDAX hätte (z.B. Gewicht 2%<x<4%) bei 30 Unternehmen.

Somit würde der RiskParity MDAX wohl wie ein equal weight MDAX Index sein und somit je nach Lage ein pos. / neg. alpha generieren.

Diesen Beitrag teilen


Link zum Beitrag
BondWurzel
· bearbeitet von BondWurzel

Interessant, wo kann ich jetzt genau meinen Nutzen auf die aktuelle Finanzweltlage bezogen daraus ziehen?

Wo genau du deinen Nutzen daraus ziehst, bleibt natürlich dir selbst überlassen.

 

Meine Intention war folgende:

- Besseres eigenes Verständnis durch Aufbereitung und Veranschaulichung der Daten

- andere über Chancen und Risiken informieren und somit Hilfen zur eigenen fundierten Meinung geben

 

Wenn du jetzt aber klare Aussagen für die zukünftige Wirtschaftsentwicklung willst, muss ich dich enttäuschen. Aber die wird dir auch kein anderes Modell oder andere Aussage liefern können, woher auch?

 

Nichtsdestotrotz hättest du mit dem RiskParity Ansatz die letzten Wochen beruhigt schlafen können. Ob das auch für die Zukunft gilt, steht wohl in den Sternen.

 

Du bist aber herzlich eingeladen, Kritikpunkte anzubringen, damit wir uns darüber austauschen können. Aber eine Kritik am System, dass es nicht die Zukunft vorhersehen kann, lasse ich nicht gelten :)

:thumbsup: ....danke, dann wollen wir mal an die Sahnetorte rangehen... :)

Diesen Beitrag teilen


Link zum Beitrag
lenzelott
· bearbeitet von lenzelott

 

Was mir zu dem Thema noch einfällt, wäre: man könnte ja auch mal ein reines Aktienportfolio (zb. MDAX rechnen mit dem Modell).

Im allgemeinen korreliert niedrige Vola mit höherer Rendite, insofern müsste man da auch ein gewisses Alpha erzeugen können.

Wenn man sich die Mühe macht, alle Korrelationen auszurechnen, so käme man doch auf Korrelationen >0.9, womit das Modell eine reine Gewichtung nach Volatilitäten macht.

Und die Unterschiede in den Volas sollten nicht so groß sein (Sagen wir 20%-30%), womit man fast eine Gleichgewichtung aller Aktien im MDAX hätte (z.B. Gewicht 2%<x<4%) bei 30 Unternehmen.

Somit würde der RiskParity MDAX wohl wie ein equal weight MDAX Index sein und somit je nach Lage ein pos. / neg. alpha generieren.

 

MDAX übrigens 50 Unternehmen.

Die Korrelationsmatrix kann man ja aus aus den Kursen relativ einfach berechnen (kleine Schleife).

Vielleicht müsste man auch auf den HDAX ausweichen oder DAX+MDAX+SDAX+TECDAX nehmen.

Die Unterschiede in Korrelation und Vola werden größer sein, als Du Dir gerade so vorstellst behaupte ich mal.

Kann mir vorstellen, dass man ein Alpha von 3-4% pa rauskommen kann gegen den Markt damit.

Diesen Beitrag teilen


Link zum Beitrag
Schinzilord

Hallo!

 

Ich habe jetzt mal den Algorithmus im Backtest angewandt auf die 3 Assetklassen Aktien (MSCI World), Rohstoffe (DBLCI) und Renten (comstage Bund Leverage x2).

Leider reichen hier die Daten nur ein Jahr zurück, aber ein paar Aussagen kann man so auch schon treffen:

 

Im Depot liegt einmal der Invesco Balanced Risk, einmal der RP Algorithmus aus eben den 3 Assetklassen und einmal eine naive Gewichtung aus 50% Renten, 25% Aktien und 25% Rohstoffe.

Zum RP Algorithmus: Annahme als Benchmark: tägliches rebalancen. An Ende vom Tag wird mit dem Schlusskurs die neue Gewichtung hergestellt und dann gilt die neue Gewichtung vom Vortrag für die Performance des nächsten Tages (was z.B. über Futurehandel mit dem Berechnungen DAX Schlusskurs von 17:30 Uhr problemlos möglich ist). Als Benchmark wurden keinerlei TA Kosten berücksichtigt.

 

Hier der Chartverlauf und die Korrelationen:

post-9048-0-95754600-1314784788_thumb.png

 

Man sieht schön, dass der Risk Parity Ansatz keine Wundertüte ist (wie er evtl. in den Fondsprospekten suggeriert wird). Die Korrelation zwischen Benchmark und InvBR sind mit 0.27 nicht so hoch, jedoch hält der InvBR z.B. auch noch Renten aus der ganzen Welt etc.

Mit ging es aber nur um eine einfache Nachbildung.

Aber wirklich erstaunlicherweiseliegt ein naives 25/25/50 Portfolio aus 3 ETFs (nach Kosten!) gleichauf mit dem InvRB (auch nach Kosten).

Jedoch sind die Korrelationen zwischen dem Naiven Portfolio und

Aktien 0.42

Rohstoffe 0.65

Renten 0.55

viel höher als beim InvRB.

 

Also ein naives 25/25/50 Portfolio aus 3 ETFs ist somit ein RiskBalance Portfolio für Arme mit ganz ansehnlichen Eigenschaften.

Auch der InvRB operiert nicht in absolut höheren Sphären. (jedoch erreicht er wirklich eine Nullkorrelation zu Aktien, Renten, Rohstoffen).

Diesen Beitrag teilen


Link zum Beitrag
sparfux

man sieht in dem Chart nicht was was ist. (zumindest ich nicht).

Diesen Beitrag teilen


Link zum Beitrag
boll
· bearbeitet von boll

man sieht in dem Chart nicht was was ist. (zumindest ich nicht).

Ganz rechts außen ist doch die Legende!?

blau - naiv

orange - Invesco

gelb -RP Portfolio

Diesen Beitrag teilen


Link zum Beitrag
vanity

man sieht in dem Chart nicht was was ist. (zumindest ich nicht).

Dann brauchst du einen größeren Bildschirm, es steht rechts am Rand der Grafik:

 

blau: Naiv

gelb: RP Portfolio

rot : Inveso

Diesen Beitrag teilen


Link zum Beitrag
sparfux

Ha ha. stimmt. das liegt an der Bildschirmgröße. Ich kann aber nichtmal rüberscrollen. Da soll Thomas mal besser programmieren hier :P

Diesen Beitrag teilen


Link zum Beitrag
CHX

Aber wirklich erstaunlicherweiseliegt ein naives 25/25/50 Portfolio aus 3 ETFs (nach Kosten!) gleichauf mit dem InvRB (auch nach Kosten).

 

Ist es möglich, dass du bei deiner Legende das naive Portfolio und das RP-Benchmarkportfolio verwechselt hast? Lt. deiner Legende liegt das naive Portfolio nämlich vorne.

Diesen Beitrag teilen


Link zum Beitrag
Schinzilord

Ist so, das naive liegt wirklich vorne. Und beim RP Benchmark sind nicht mal die TA Kosten abgezogen...

Diesen Beitrag teilen


Link zum Beitrag
CHX

Ist so, das naive liegt wirklich vorne. Und beim RP Benchmark sind nicht mal die TA Kosten abgezogen...

 

D.h., dass beim RP-Benchmark im August ein stärkerer Kursrückgang trotz täglichem Rebalancing zu verzeichnen war als beim naiven Portfolio mit fester Allokation? Interessant, schön wären natürlich noch längere Zeiträume zwecks Gegenüberstellung.

Diesen Beitrag teilen


Link zum Beitrag

Erstelle ein Benutzerkonto oder melde dich an, um zu kommentieren

Du musst ein Benutzerkonto haben, um einen Kommentar verfassen zu können

Benutzerkonto erstellen

Neues Benutzerkonto für unsere Community erstellen. Es ist einfach!

Neues Benutzerkonto erstellen

Anmelden

Du hast bereits ein Benutzerkonto? Melde dich hier an.

Jetzt anmelden

×
×
  • Neu erstellen...