Zum Inhalt springen
Schlaftablette

Schlaftablettes Depot

Empfohlene Beiträge

Schildkröte
· bearbeitet von Schildkröte

@ Tutti & Schlaftablette:

Danke für Eure Beiträge zu Gerry Weber! Vielleicht sollte man diese jedoch in den Gerry Weber - Thread verschieben? Ja, der stationäre Einzelhandel muss(te) Umsatzrückgänge durch den Online-Handel verzeichnen. Aber verdienen Online-Händler wie Amazon und Zalando Geld? Siehste! Gerry Weber und Wal*Mart allerdings schon. Letzteres Unternehmen ist übrigens der viertgrößte Online-Händler der Welt und im Gegensatz zu Amazon nicht mit einem Mondpreis bewertet. Des Weiteren dürften sich langfristig sog. Multichannelstrategien durchsetzen, in der stationärer und digitaler Handel einander ergänzen. Aufgrund ihrer bereits vorhandenen Verkaufsflächen haben Unternehmen wie Gerry Weber und Metro hier einen großen Vorsprung gegenüber ihren virtuellen Herausforderern (ich habe ganz bewusst Vorsprung geschrieben und nicht Burggraben).

 

Viele KäuferInnen bestellen sich online ein Dutzend Kleidungsstücke nach Hause, probieren alle einmal an und schicken bis auf ein oder zwei Sachen wieder alle kostenlos an Otto & Co. zurück. Diesem Unsinn treten die Händler nun durch (höhere) Rücknahmegebühren zunehmend entgegen (sicher auch wegen des neu eingeführten Mindestlohnes im Postgewerbe - Hermes gehört übrigens zu Otto). Manche haben keine Zeit und/oder Lust, in den Laden zu gehen. Für viele (Frauen) ist es jedoch nach wie vor ein Erlebnis, am Samstag in der City auf Shopping-Tour zu gehen. Vergleicht mal das Kundenaufkommen unter der Woche mit dem am Wochenende. Eine sinnvolle Kombination aus stationärem und digitalem Handel kann etwa darin bestehen, online zunächst eine Vorauswahl zu treffen, die bereits ausgesuchten Kleidungsstücke im Laden anzuprobieren und sich dort ggf. noch ein wenig umzuschauen.

 

Ich habe gestern eine Pressemitteilung zu den jüngsten Zahlen von Gerry Weber im Thread zu dem Unternehmen geposted. Das Wachstum erfolgt vor allem durch die Eröffnung neuer Läden. Dieser Prozess ist in Deutschland allmählich ausgereizt. Dass es auch negative Folgen haben kann, wenn eine Modemarke an jeder Ecke zu sehen ist, musste schon Louis Vuitton in den 80ern erfahren. Die Gretchenfrage lautet also, ob Gerry Weber weiteres Wachstum im Ausland gelingt. Genauso wichtig ist die LikeForLike-Entwicklung, also die Ergebnisentwicklung auf vergleichbarer Fläche. Da wuchs der Umsatz von Gerry Weber im abgelaufenen Geschäftsjahr "nur" um 1,9%, also ungefähr in Höhe der (offiziellen) Inflationsrate.

 

@ Tutti:

Wenn Du so skeptisch gegenüber dem stationären Handel bist, warum investierst Du dann in Betreiber von Einkaufszentren?

Diesen Beitrag teilen


Link zum Beitrag
Tutti

Liebe Tutti,

 

Vielen Dank für deinen fundierten Beitrag. Ich konnte ihn nicht aus dem Stand abschmettern, sondern musste erst mal drüber nachdenken. Das schätze ich sehr. Ich werde mich also mal an einer wuerdigen Antwort versuchen.

Hallo Schlaftablette,

du solltest eigentlich gar nichts "abschmettern" und mir ist völlig klar, dass man als "investierter" immer eine andere Sichtweise hat als jemand, der nicht "investiert" ist. Ich selbst bin zuweilen oftmals "zu kritisch?" bei meinen Investments. Das war zuletzt bei Syngenta so und bei meinen Franzosen :rolleyes:

 

Wenn mir eine etwas andere Betrachtungsweise zu dem Wert (aus Sicht einer u.a. Gerry Weber-Kundin) gelungen ist, dann ist das fein und dabei will ich es auch belassen und natürlich wünsche ich mit dem Investment viel Erfolg.

 

 

 

VG Tutti

Diesen Beitrag teilen


Link zum Beitrag
Tutti
Für viele (Frauen) ist es jedoch nach wie vor ein Erlebnis, am Samstag in der City auf Shopping-Tour zu gehen. Vergleicht mal das Kundenaufkommen unter der Woche mit dem am Wochenende.

Hallo Schildkröte, für viele "Frauen" ist es aber auch ein Horror sich am Samstag in der City auf Shopping-Tour zu begeben und Mieten und Verkäufer(innen) müssen auch an schwachen Umsatz-Wochentagen bezahlt werden. Gerry Weber hat in der Gewinnwarnung nicht umsonst als Begründung die "rückläufige Kundenfrequenz in den Innenstädten" mit als Begründung für die Gewinnwarnung aufgeführt.

 

@ Tutti:

Wenn Du so skeptisch gegenüber dem stationären Handel bist, warum investierst Du dann in Betreiber von Einkaufszentren?

Wir 2 haben anscheinend (wie bei Microsoft) ein Verständigungsproblem. Wo habe ich geschrieben, dass ich gegenüber dem "stationären Handel" skeptisch bin? Ich wollte euch Jungs nur darauf aufmerksam machen, dass GW in den letzten Jahren im Sektor Damenbekleidung scharfe Konkurrenz bekommen hat, die mit Rabatten frontal die typische "Gerry Weber-Kundin" direkt umwirbt!

 

"Handel ist Wandel" mag für uns Konsumenten eine tolle Geschichte sein, für Aktionäre vielleicht auch.....aber auch nur vielleicht.

Diesen Beitrag teilen


Link zum Beitrag
Schlaftablette

Und würdest Du mir verraten, warum Du im Moment BHP Billiton aufgestockt hast? Ist recht günstig, schon klar, aber noch nicht ganz konsolidiert, oder?

Hallo Trueffelsau,

siehe die Posts im entsprechenden Thread:

Mein Link und folgende.

 

Hallo Schlaftablette,

du solltest eigentlich gar nichts "abschmettern" und mir ist völlig klar, dass man als "investierter" immer eine andere Sichtweise hat als jemand, der nicht "investiert" ist.

Hey Tutti, das war nicht negativ gemeint, sondern eher als Dankeschoen. Dein Beitrag war nicht einer, den man mit einer Zeile beiseitewischt, sondern, der zum Denken anregt und daher eine wuerdige Antwort verdient.

 

Heute sind 70 St. Admiral Group zu 15,40 EUR nach Kosten in mein Depot gewandert.

Diesen Beitrag teilen


Link zum Beitrag
Schildkröte
· bearbeitet von Schildkröte

@ Tutti:

Danke für Dein Feedback! Also ich gehe in Köln bei Bedarf grundsätzlich unter der Woche nach der Arbeit shoppen, weil es mir am Samstag in der Schildergasse einfach zu voll ist. Die Hohe Straße ist aber auch unter der Woche sehr überfüllt, was jedoch auf deren Enge zurückzuführen ist. Neulich war ich übrigens auf einem Samstag in Düsseldorf und selbstverständlich auch auf der Kö. Dort waren viele (adrette) Menschen, frei nach dem Motto: Sehen und gesehen werden. Man sollte einzelhandelstechnisch jede Stadt, jedes Unternehmen und jede Kundenschicht jeweils einzelfallabhängig betrachten. Und das gilt meines Erachtens für Deine Deutsche Euroshop gleichermaßen. Der Aktionärsfamilie Otto kommt es zwar in erster Linie darauf an, dass die Ladenmieter pünktlich ihre Miete zahlen, eine höhere Fluktuation, mögliche Zahlungsrückstände oder gar Leerstand dürften die allerdings ebenfalls nicht toll finden.

Diesen Beitrag teilen


Link zum Beitrag
Schlaftablette
· bearbeitet von Schlaftablette

So, diesmal gibt es den Monatsabschluss puenktlich zum Monatsende.

 

Der November war durch eine scharfe Korrektur beim Oelpreis gepraegt, die in der Dividendenstreichung bei Seadrill gipfelte. Alle meine Oel-Werte mussten deutlich Federn lassen. Vor dem Hintergrund war eine ordentliche Diversifizierung von Vorteil. Der Rohstoff-Sektor macht in meinem Depot nur ca. 9-10% aus. Vielleicht gibt es aber demnaechst Moeglichkeiten, diesen Bereich guenstig auszubauen.

 

Parallel dazu sorgte der erstarkende Dollar auch fuer einen Hoehenflug bei US-Werten. Vor etwa einem Jahr habe ich General Mills, Clorox, The Southern Company und Becton Dickinson gekauft. Leider zu wenig, wie sich herausstellte. Diese Werte, und dazu Kimberly-Clark hatten ordentlich Rueckenwind erhalten und stehen ca. 20-30-40% im Plus.

 

Besonders hervorheben moechte ich den Spanischen Boersenbetreiber, BME. In ca. einer Woche jaehrt sich der zweite Geburtstag dieses Investments, mein erstes Aktieninvestment ueberhaupt. Anfangs habe ich mir noch viel auf meine Faehigkeiten als Boersenguru eingebildet, allerdings habe ich dann recht schnell Demut lernen muessen. Umsomehr freue ich mich ueber dieses Investment, und wenn dass Boersenwetter naechste Woche in etwa so anhaelt, wie es letzte Woche war, dann habe ich vielleicht mit BME meinen ersten Kurs-Verdoppler im Depot. Zudem werden bis Sylvester fast 20% des Investments in Form von Dividenden zurueckgeflossen sein.

 

Ansonsten habe ich mich nicht an meine Vorsaetze gehalten. Statt der 1-2.000 EUR habe ich ueber 4.000 investiert. Ich will einfach sehr viel haben und sehe immer noch moeglichkeiten fuer ein Investment. Da bin ich leider nicht diszipliniert genug.

 

Nun aber genug der Worte, lassen wir harte Zahlen sprechen.

 

Zukäufe:

05.11.2014: Gerry Weber - 35 Stk. zu 29,47 € (Summe: 1.031,45 €)

18.11.2014: Admiral - 70 Stk. zu 15,40 € (Summe: 1.077,85 €)

21.11.2014: Syngenta - 4 Stk. zu 270,76 € (Summe: 1.083,05 €)

29.10.2014: Eyemaxx Real Estate - 190 Stk. zu 5,72 € (Summe: 1.086,21 €)

 

Verkäufe:

keine

 

Dividenden:

General Mills -- 8,26 €

Clorox - 7,54 €

Verkauf des Spin-offs Halyard Health -- 37,31 € (habe ich als Sonderdividende Kimberly-Clark zugeschlagen).

 

Summe im September: 53,11 €

erhaltene Dividenden 2014: 744,71 € (nach Steuern)

Dividendenziel: 1.000 € p.a. (nach Steuern)

Dividendenrendite bezogen auf aktuelle Kurse: 3,64% (Yield)

Dividendenrendite bezogen auf Einstandskurse: 3,91% (Yield on Cost)

Sonstiges:

Cash-Zuflüsse i.H.v. 2.000,00 €

post-23911-0-10985000-1417217808_thumb.jpg

post-23911-0-30911200-1417217850_thumb.jpg

post-23911-0-88100300-1417217984_thumb.jpg

post-23911-0-95059200-1417218000_thumb.jpg

post-23911-0-78875300-1417218008_thumb.jpg

Diesen Beitrag teilen


Link zum Beitrag
Schildkröte
· bearbeitet von Schildkröte

Hallo Schlaftablette,

 

herzlichen Glückwunsch zu Deiner erfreulichen Depotentwicklung! Du betonst zwar, dass Du demütiger geworden bist, aber ich lese zwischen den Zeilen bei Dir immer noch ein leichtes Sich-selbst-auf-die-Schulter-klopfen heraus. Meinst Du nicht, dass ein gewisser Teil der Performance von Deinem Depot (auch) dem anhaltend positiven Marktumfeld geschuldet ist? Ich würde Dir empfehlen, mal in Ruhe die Liste Deiner Depotwerte durchzugehen und jeden einzelnen auf den Prüfstand zu stellen ("Würden Sie diese Aktie heute noch kaufen?"). Ich würde zum Beispiel folgende Unternehmen nicht mal mit der Kneifzange anpacken:

 

Clorox:

negatives Eigenkapital, es gibt so viele bessere Branchenvertreter

 

Eyemaxx:

keine konsequente Firmenpolitik (hin und her bei der Dividende), das Schicksal des Unternehmens hängt an EINER Person (Dr. Müller)

 

BME:

Klassische Parkettbörsenbetreiber sterben langsam aber sicher aus. Bei Onlinebörsenbetreibern werden wie bei Suchmaschinen (Google) und Onlinehändlern (Amazon und ebay) sich am Ende einige wenige durchsetzen. Glaubst Du wirklich, dass BME dazu gehören wird?

 

Admiral:

Das scheint gerade eine Modeaktie zu sein. Lies Dir mal im WPF die Threads zu einstigen Modeaktien wie Bijou Brigitte, A. S. Creation, Einhell oder Delticom durch. Ich habe meine Bedenken im Thread zu Admiral bereits ausführlich erläutert. Es mag ja sein, dass das Unternehmen finanztechnisch gut ausgeklügelt ist und auf Munich Re als Großaktionär verweisen kann. Aber das Geschäftsmodell beruht letztlich AUSSCHLIEßLICH auf der wettbewerbsintensiven und margenschwachen Kfz-Versicherung. Im Kfz-Versicherungsmarkt sind schon viele REINE Kfz-Versicherer über die Wupper gegangen. Große Versicherer wie die Allianz oder AXA bieten Kfz-Versicherungen trotzdem an, um zum einen an Neukunden zu kommen und zum anderen, um ihren Kunden sämtliche Versicherungsleistungen aus einer Hand zu bieten. Man könnte hier von Quersubventionierung sprechen. Aus dem schwierigen deutschen Kfz-Versicherungsmarkt hat sich Admiral bereits zurückgezogen. Nun stell Dir mal vor, Versicherer, die bereits über Erfahrung auf dem knallharten deutschen Kfz-Versicherungsmarkt verfügen, greifen Admiral auf dessen Heimatmarkt an. Dann könnte Admiral ein ähnliches Schicksal wie Tesco drohen.

 

2G Energy und Awilco:

heiße Kisten, aber als spekulative Beimischung okay

 

Würdest Du bei den von mir genannten Unternehmen wirklich "cool" bleiben, wenn beim nächsten Crash bzw. der nächsten Korrektur deren Aktien einen auf Seadrill machen? Man kann Höhenflüge an der Börse auch gut dazu nutzen, um in seinem Depot ein wenig "aufzuräumen". Die realisierten Gewinne können dann anderweitig reinvestiert werden.

 

Grüße vom Gepanzerten

Diesen Beitrag teilen


Link zum Beitrag
markymark

Hallo Schlaftablette,

 

herzlichen Glückwunsch zu Deiner erfreulichen Depotentwicklung! Du betonst zwar, dass Du demütiger geworden bist, aber ich lese zwischen den Zeilen bei Dir immer noch ein leichtes Sich-selbst-auf-die-Schulter-klopfen heraus. Meinst Du nicht, dass ein gewisser Teil der Performance von Deinem Depot (auch) dem anhaltend positiven Marktumfeld geschuldet ist? Ich würde Dir empfehlen, mal in Ruhe die Liste Deiner Depotwerte durchzugehen und jeden einzelnen auf den Prüfstand zu stellen ("Würden Sie diese Aktie heute noch kaufen?").

 

 

Ein wenig Eigenlob, wenns denn so gemeint ist, kann man doch zugestehen.

Aber du hast schon Recht. Unsere Depots sind schon dem positiven Marktumfeld geschuldet. Das sollte man nie außer Acht lassen. Ist ja bei mir nicht anders. Bei Seitwärtsmärkten bzw Abwärtstrends zeigt sich die wahre Qualität. Aber auch hier hängt natürlich wieder vieles vom Risikoprofil ab. Und ob man Markttrends spielt oder nicht. Oder dummerweise gerade auf Sektoren setzt, die unbeachtet sind (Beispiel Rohstoffe oder in meinem Fall Tom Tailor). Aber für Langfristanleger spielt das wohl eher keine Rolle, höchstens die der Nachkäufe.

Diesen Beitrag teilen


Link zum Beitrag
Schlaftablette

Hallo Schlaftablette,

 

herzlichen Glückwunsch zu Deiner erfreulichen Depotentwicklung! Du betonst zwar, dass Du demütiger geworden bist, aber ich lese zwischen den Zeilen bei Dir immer noch ein leichtes Sich-selbst-auf-die-Schulter-klopfen heraus. Meinst Du nicht, dass ein gewisser Teil der Performance von Deinem Depot (auch) dem anhaltend positiven Marktumfeld geschuldet ist?

 

 

Ein wenig Eigenlob, wenns denn so gemeint ist, kann man doch zugestehen.

 

Momentan habe ich zu Eigenlob nicht gerade viel Grund (und so war es auch nicht gemeint). Bisher war mein Track-Record ziemlich bescheiden. Ich habe eine Reihe von Fehlern gemacht, die mich Lehrgeld gekostet haben. Zumindest im Nachhinein ist klar, dass es Fehler waren. Aber das ist auch ok so. Ich will meine Fehler am Anfang meiner Investoren-Karriere machen, wenn noch verhaeltnismaessig wenig Geld im Feuer ist. Hier mal meine groebsten Fehler der Vergangenheit:

 

1. Mitte 2012 habe ich 100% (ca. 10.000 EUR) in physisches Gold gesteckt. Es war mitten in der Euro-Krise, Griechenland sollte gepudert werden, das BVG hat die entsprechenden Gesetze genehmigt. In allen Medien wurde ein Abgesang auf den Euro angestimmt. Alle rechneten mit Hyper-Inflation ob der Geld-Druckerei. Ich war unerfahren und wollte meine kleinen Ersparnisse schuetzen und bin nahe 1.400 EUR/oz Gold long gegangen. Als der Goldpreis dann in den Wochen darauf runter ging, bekam ich kalte Fuesse. Parallel habe ich viel gelesen, u.a. auch was Buffett von Gold haelt. Ich begriff, dass ich das "Greater-Fool"- Spiel spielte. Ich verkaufte meine kompletten Bestaende mit einem Verlust von ca. 800 EUR. Das waren 800 EUR Lehrgeld. Heute bin ich froh, dass ich damals verkauft habe.

 

2. Meinen zweiten Fehler machte ich mit 2G Energy: Ich schaute auf die nackten Zahlen (staendig wachsende Gewinne) und zog die Linie linear weiter. Ueber die Risiken des Geschaeftsmodells habe ich nicht viel nachgedacht. Dann kam im Sept. 2013 die Bundestagswahl und die Energiewende wurde im Bereich der Bio-Energie in dem damaligen Ausmass in Frage gestellt. Das sieht man im Kurs: Anfang 2013 zu 1.300 EUR gekauft, heute nur noch 850 EUR wert - 450 EUR Lehrgeld.

 

3. Tesco - Dazu habe ich weiter oben genug gesagt. - 375 EUR Lehrgeld.

 

4. Mobotix - Habe ich oben auch im Detail was zu geschrieben. Fuer 3050 EUR gekauft, fuer 1.600 EUR (ca. 7,50 / Aktie) so ziemlich am Tiefpunkt verkauft, so ab -50% wurde ich nervoes. Heute glaube ich, dass ich damals die IR haette kontaktieren sollen. Heute steht das Papier bei 10,50 EUR. Lehrgeld: 1.450 EUR.

 

5. Intel: Gekauft zu 16,88, verkauft bei 17,26. Das Papier war recht volatil, damals wurde viel diskutiert, ob Intel noch eine Zukunft hat, auch hier im WPF. Ich war froh, mit 6% Rendite rausgekommen zu sein. Heute steht Intel bei 30 EUR. Es waere die zweitbeste Rendite in meinem Depot gewesen. Aber so ist das mit dem Investieren: Fehler gehen ins Geld, und man ist selbst verantwortlich.

 

Das waren so die groessten Boecke, die ich geschossen habe. Alleine aus Aktiengeschaeften stehen heute 2.200 EUR realisierte Verluste gegen 2.900 EUR Buchgewinne, nach 2 Jahren Boerse, und dass waehrend der Hause. Die Dividenden machen bisher immerhin ca. 1.250 EUR aus. Ich habe mir mal die Muehe gemacht und die p.a. Rendite mit dem internen Zinsfuss von Excel berechnet: knapp 7% p.a. (die Dividenden nach Steuern, Kursgewinne vor Steuern) seit 2012. Das ist nicht gerade ein Ergebnis fuer einen Boersen-Guru. Als ich an der Boerse angefangen habe, und viel ueber Value-Investing gelesen hatte, da dachte ich, dass eine Netto-Rendite von 10-12% p.a. machbar sein muesste. Heute bin ich deutlich bescheidener geworden. Die Theorie liesst sich gut, aber die Praxis ist viel schwieriger. Vor allem die eigene Psyche und DIsziplin macht einem gerne einen Strich durch die Rechnung. Ich rechne heute mit max. 10% p.a. Brutto, davon ab ca. 2,5% Steuern und 2% Inflation, bleiben max. noch ca. 5,5% langfristige Netto-Rendite, die ich noch einigermassen realistisch halte. Wahrscheinlich lande ich eher im Bereich 4-5% Realrendite.

 

Worauf ich allerdings stolz bin, ist, dass ich es geschafft habe, meine Ausgaben bescheiden zu halten, und mein Depot mit den Ersparnissen zu fuettern (und dabei trotzdem nicht vergessen, zu leben). Das laesst mich heute viel selbstbewusster im Leben auftreten. Ausserdem habe ich durch meine Investments sehr viel gelernt. Es ist wie ein Wirtschaftsstudium, nur mit Praxisnaehe. Ich koennte mir durchaus vorstellen, mich selbst unternehmerisch zu betaetigen (genau genommen, habe ich schon als Jugendlicher von einem eigenen Unternehmen getraeumt). Mir gehen so einige Ideen durch den Kopf, teils nebenberuflich, teils hauptberuflich. Mal schauen, was sich davon verwirklichen laesst, wenn ich nach D zurueckkomme. Daher fliesst auch nicht all mein Geld ins Aktiendepot, ein Teil wird separat "fuer besondere Gelegenheiten" gelagert.

Diesen Beitrag teilen


Link zum Beitrag
Schlaftablette

Clorox:

negatives Eigenkapital, es gibt so viele bessere Branchenvertreter

 

Eyemaxx:

keine konsequente Firmenpolitik (hin und her bei der Dividende), das Schicksal des Unternehmens hängt an EINER Person (Dr. Müller)

 

BME:

Klassische Parkettbörsenbetreiber sterben langsam aber sicher aus. Bei Onlinebörsenbetreibern werden wie bei Suchmaschinen (Google) und Onlinehändlern (Amazon und ebay) sich am Ende einige wenige durchsetzen. Glaubst Du wirklich, dass BME dazu gehören wird?

 

Admiral:

Das scheint gerade eine Modeaktie zu sein. Lies Dir mal im WPF die Threads zu einstigen Modeaktien wie Bijou Brigitte, A. S. Creation, Einhell oder Delticom durch. Ich habe meine Bedenken im Thread zu Admiral bereits ausführlich erläutert. Es mag ja sein, dass das Unternehmen finanztechnisch gut ausgeklügelt ist und auf Munich Re als Großaktionär verweisen kann. Aber das Geschäftsmodell beruht letztlich AUSSCHLIEßLICH auf der wettbewerbsintensiven und margenschwachen Kfz-Versicherung. Im Kfz-Versicherungsmarkt sind schon viele REINE Kfz-Versicherer über die Wupper gegangen. Große Versicherer wie die Allianz oder AXA bieten Kfz-Versicherungen trotzdem an, um zum einen an Neukunden zu kommen und zum anderen, um ihren Kunden sämtliche Versicherungsleistungen aus einer Hand zu bieten. Man könnte hier von Quersubventionierung sprechen. Aus dem schwierigen deutschen Kfz-Versicherungsmarkt hat sich Admiral bereits zurückgezogen. Nun stell Dir mal vor, Versicherer, die bereits über Erfahrung auf dem knallharten deutschen Kfz-Versicherungsmarkt verfügen, greifen Admiral auf dessen Heimatmarkt an. Dann könnte Admiral ein ähnliches Schicksal wie Tesco drohen.

 

2G Energy und Awilco:

heiße Kisten, aber als spekulative Beimischung okay

 

Würdest Du bei den von mir genannten Unternehmen wirklich "cool" bleiben, wenn beim nächsten Crash bzw. der nächsten Korrektur deren Aktien einen auf Seadrill machen? Man kann Höhenflüge an der Börse auch gut dazu nutzen, um in seinem Depot ein wenig "aufzuräumen". Die realisierten Gewinne können dann anderweitig reinvestiert werden.

 

 

Clorox: --> stimme dir zu, es gibt besseres, und da werde ich auch irgendwann umschichten. Ich habe aber momentan keine Eile.

Eyemaxx: --> Ich kenne deine Meinung dazu. und der Markt sieht das offenbar auch so aehnlich. Aber ob das Unternehmen mit KGV 5 nicht zu sehr bestraft wird?? Sollte sich das Wachstum die naechsten 2-3 Jahre fortsetzen, wird der Markt seine Fehleinschaetzung korrigieren. Und bei 30% EPS-Wachstum und KGV 7,5 waere das ein Verdoppler. Also: Hopp oder Topp.

Admiral --> Die sehe ich eher in der Position von Aldi, nicht von Tesco. Ausser dass Admiral halt keinen Preiskampf anfaengt, sondern lieber die Gewinne einfahren will.

2G Energy --> das schnelle Wachstum aus Zeiten des EEG ist vorbei. Hoechstens koennte noch was aus den BHKWs aus Erdgas in den USA kommen. Momentan habe ich noch genug Cash, ein Verkauf draengt nicht

Awilco --> Meine Position dazu hab ich im entsprechenden Thread sehr ausfuehrlich beschrieben.

Diesen Beitrag teilen


Link zum Beitrag
Schlaftablette

Jetzt habe ich bei der BME meine Gewinne mitgenommen.

 

Hier eine Uebersicht ueber die Transaktionen:

post-23911-0-72479900-1419529236_thumb.jpg

 

Meine Gruende dafuer habe ich Hier dargelegt.

Diesen Beitrag teilen


Link zum Beitrag
Schlaftablette
· bearbeitet von Schlaftablette

Dezember 2014:

 

So, wieder ist ein Jahr rum, und es ist Zeit fuer die ueblichen Vergleiche. Ende 2013 bestand mein Depot aus 12.000 € Cash und 18.000 € Aktien. Heute stehe ich bei 16.000 € Cash und 39.000 € Aktien. Also ein Plus von ca. 25.000 €.

 

Zukäufe:

keine

 

Verkäufe:

23.12.2014: Bolsas y Mercados Españoles - 75 Stk. zu 32,21 € (Summe: 2416,00 €)

 

 

Dividenden:

Becton Dickinson - 5,44 €

BME - 35,55 €

Royal Shell B - 15,21 €

Awilco Drilling - 83,92 €

Coca-Cola Co. - 7,28 €

McDonalds Corp. - 16,21 €

IBM - 17,42 €

Chevron - 8,84 €

The Southern Co. - 12,65 €

 

Summe im Dezember: 202,52 €

erhaltene Dividenden 2014: 947,23 € (nach Steuern)

Dividendenziel: 1.000 € p.a. (nach Steuern)

Dividendenrendite bezogen auf aktuelle Kurse: 3,66% (Yield)

Dividendenrendite bezogen auf Einstandskurse: 4,03% (Yield on Cost)

Sonstiges:

Cash-Zuflüsse i.H.v. 2.000,00 €

post-23911-0-19746900-1420129582_thumb.jpg

post-23911-0-03270900-1420129592_thumb.jpg

post-23911-0-82769000-1420129599_thumb.jpg

post-23911-0-73318600-1420129608_thumb.jpg

post-23911-0-15433000-1420129618_thumb.jpg

post-23911-0-17719700-1420129632_thumb.jpg

 

Kleiner Blick in meine Kristallkugel:

 

Ich glaube, uns werden 2015 zwei Themen begleiten: Rohoel und der Euro.

 

1. Zum Thema Rohoel hier meine Gedanken. Geht der Preis weiter runter, dann wuerde ich mein Engagement in dem Sektor gerne weiter ausbauen. Bisher habe ich im Depot: Chevron, Shell, als Oil-Majors, Awilco als spekulativer Driller und BHP Billiton foerdert ebenfalls etwas. Nur zwei Oil-Majors sind mir etwas zu heikel. Deepwater Horizon hat gezeigt, dass ein einziger Unfall selbst einen Riesen wie BP um sein Leben kaempfen lassen kann. Insofern spiele ich mit dem Gedanken, noch einen dritten Oil-Major in mein Depot zu holen, und zwar Exxon. Dazu kommt vielleicht noch eine spekulative Position Seadrill dazu. Aber das waere dann ueber das Jahr 2015 verteilt.

 

2. Das Griechenland pleite ist, haben die Spatzen seit Jahren von den Daechern gepfiffen. Schaeuble meinte aber, es sei ja noch kein Geld geflossen, nur Buergschaften. Wenn Syriza gewinnt, dann werden diese Buergschaften vielleicht faellig. Keine Ahnung, was dann passiert, aber die AfD wird an Zulauf gewinnen ("Wir haben es euch gesagt"), Merkel wird die Euro-Rettung nicht mehr durchziehen koennen. Eigentlich sind auch Spanien, Portugal, Italien und Frankreich Pleite. Die EZB ist mit ihrem Latein am Ende. Meiner Meinung nach ist der EURO angezaehlt, und die Wahl in GR im Januar macht es nicht besser. Meiner Meinung nach ist dieses Szenario in den Kursen noch nicht eingepreist. Sollte es Realitaet werden, wird sich 2009 mindestens wiederholen.

 

Neben den Oil-Majors moechte ich mein Depot mit folgenden Titeln aus der Medizin- und Konsumgueterbranche verstaerken:

- Church & Dwight

- Reckitt Benckiser

- Elekta

- Stericycle

Bei diesen Unternehmen will ich in 2015 langsam zumindest erste Positionen eroeffnen. Dazu sind ueber das Jahr verteilt Cash-Flows i.H.v. 25 - 30.000 EUR eingeplant.

Diesen Beitrag teilen


Link zum Beitrag
Schildkröte
· bearbeitet von Schildkröte

Ein schönes Depot hast Du da! Sollte es in Griechenland ein "überraschendes" Wahlergebnis geben o. ä., dann könnte es wieder zu Turbulenzen an den Märkten kommen. Solche Turbulenzen bieten jedoch nicht selten gute Einstiegsgelegenheiten. Du möchtest Dir Exxon als weiteren Ölwert ins Depot legen? Wie wäre es mit BASF als weltgrößtes Chemieunternehmen mit der Öl & Gas - Tochter Wintershall, die einen nicht unerheblichen Teil zum Kornzernergebnis beisteuert? Ich selbst beschäftige mich gerade mit Spirituosenherstellern und wünsche Dir alles Gute für 2015!

Diesen Beitrag teilen


Link zum Beitrag
Layer Cake

Auch von mir mal ein großes Lob dafür, dass du uns an deinem Depot teilhaben lässt. Es ist sehr interessant, die Hintergründe zu all deinen Entscheidungen nachzulesen. Ich selbst habe mich zugunsten von ETFs vorerst von Einzelaktien verabschiedet, da es besser zu meinem Anlagestil passt. Aber wenn die Grundsteine per ETF geregelt sind und die Zeit günstig erscheint, lege ich mir vielleicht auch mal wieder die eine oder andere ins Depot. Und deine Aktualisierungen helfen mir dabei, ein wenig auf dem Laufenden zu bleiben.

 

Weiter so, liebe Schlaftablette :)

Diesen Beitrag teilen


Link zum Beitrag
TuSTalent

Hallo Schlaftablette,

 

ein wirklich gutes, anschauliches Depot hast du auf diesen Seiten entwickelt. Es ist alles sehr verständlich und gut strukturiert. Selbst ein Laie wie ich kann viele deiner Handlungen nachvollziehen, obwohl wahrscheinlich jeder so seine eigenen Vorlieben und Favoriten hat. Aber trotzdem, großes Kompliment für dieses Musterdepot, ich hoffe du lässt uns auch in Zukunft weiter an deinen Trades teilhaben. :P

 

 

Ich selbst bin seit geraumer Zeit passiver Mitleser hier im WPF (an dieser Stelle auch ein großes Lob an einen Großteil der Community) und beschäftige mich seit ca. 8 Monaten intensiv mit dem Thema Börse. Da ich noch Student bin und somit nicht über genügend Eigenkapital verfüge, um ein eigenes Depot aufzubauen, zumindest noch nicht, übe ich noch gewisse Strategien etc. anhand von Musterdepots. Mir macht es großen Spaß mich mit der Thematik auseinander zu setzen und hier im Forum die Geschehnisse zu verfolgen.

 

Zur Zeit setze ich mich etwas näher mit der Materie der Unternehmensanalyse auseinander. Ich vertraue dabei vor allem auf fundamentale Daten von Unternehmen, das bin ich aus dem Studium so gewohnt (Schwerpunkt Wirtschaftsprüfung & Steuerrecht) und diese Daten kann ich am besten einordnen.

 

Mich würde es mal interessieren, wie Du/Ihr an diese Unternehmensanalysen herangeht. Welches konkrete Vorgehen hat sich bei Dir/Euch als besonders effizient bzw. erfolgreich herausgestellt? Verfolgt Ihr einem bestimmten Faden dem Ihr immer wieder nachgeht? Ich bin momentan dabei ein für mich passendes Konzept zu entwickeln und da würde es mich freuen, wenn vielleicht einige erfahrenere User mir ein paar Tipps geben könnten, gerne auch per PN.

 

Vielen Dank im Voraus

Diesen Beitrag teilen


Link zum Beitrag
Schlaftablette

Ein schönes Depot hast Du da! Sollte es in Griechenland ein "überraschendes" Wahlergebnis geben o. ä., dann könnte es wieder zu Turbulenzen an den Märkten kommen. Solche Turbulenzen bieten jedoch nicht selten gute Einstiegsgelegenheiten. Du möchtest Dir Exxon als weiteren Ölwert ins Depot legen? Wie wäre es mit BASF als weltgrößtes Chemieunternehmen mit der Öl & Gas - Tochter Wintershall, die einen nicht unerheblichen Teil zum Kornzernergebnis beisteuert? Ich selbst beschäftige mich gerade mit Spirituosenherstellern und wünsche Dir alles Gute für 2015!

 

Hallo Gepanzerter,

vielen Dank!! Ich rechne ehrlich gesagt nicht mit irgendwelchen Ueberraschungen in Sued-Europa. Eines ist klar: Griechenland wird seine Schulden niemals zurueckzahlen koennen. Womit auch? Mit Feta und Oliven? Umgekehrt wird Merkel Griechenland nicht einfach so ziehen lassen koennen (z.B. mit einem Euro-Austritt und Umwandlung der Euro-Schulden in Drachmen). Denn wenn das den Griechen gelingen sollte, dann wird es kein halten geben: die PIS-Laender werden "gleiche Behandlung" verlangen. Damit bleibt nur eine Wahl: Inflationierung der Schulden. Das versucht Draghi gerade zwanghaft. Und frueher oder spaeter wird ihm das auch gelingen. Spaetestens wenn der Oelpreis wieder bei 100$ / Barrel steht, wird es spannend. Vielleicht sehen wir dann auch die 2,xx EUR auf der Uhr bei der Tanke.

 

BASF steht auch auf meinem Einkaufszettel, aber eher irgendwo weiter hinten. Im Moment habe ich mehr Wuensche, als Cash-Flow, und nahe des ATH will ich nicht All-in gehen (So habe ich aber auch schon 2012 gedacht, ein Fehler wie sich im nachhinein rausgestellt hat).

 

 

Auch von mir mal ein großes Lob dafür, dass du uns an deinem Depot teilhaben lässt. (...)

Danke!

 

 

Hallo Schlaftablette,

 

ein wirklich gutes, anschauliches Depot hast du auf diesen Seiten entwickelt. Es ist alles sehr verständlich und gut strukturiert. Selbst ein Laie wie ich kann viele deiner Handlungen nachvollziehen, obwohl wahrscheinlich jeder so seine eigenen Vorlieben und Favoriten hat. Aber trotzdem, großes Kompliment für dieses Musterdepot, ich hoffe du lässt uns auch in Zukunft weiter an deinen Trades teilhaben. :P

 

 

Ich selbst bin seit geraumer Zeit passiver Mitleser hier im WPF (an dieser Stelle auch ein großes Lob an einen Großteil der Community) und beschäftige mich seit ca. 8 Monaten intensiv mit dem Thema Börse. Da ich noch Student bin und somit nicht über genügend Eigenkapital verfüge, um ein eigenes Depot aufzubauen, zumindest noch nicht, übe ich noch gewisse Strategien etc. anhand von Musterdepots. Mir macht es großen Spaß mich mit der Thematik auseinander zu setzen und hier im Forum die Geschehnisse zu verfolgen.

 

Zur Zeit setze ich mich etwas näher mit der Materie der Unternehmensanalyse auseinander. Ich vertraue dabei vor allem auf fundamentale Daten von Unternehmen, das bin ich aus dem Studium so gewohnt (Schwerpunkt Wirtschaftsprüfung & Steuerrecht) und diese Daten kann ich am besten einordnen.

 

Mich würde es mal interessieren, wie Du/Ihr an diese Unternehmensanalysen herangeht. Welches konkrete Vorgehen hat sich bei Dir/Euch als besonders effizient bzw. erfolgreich herausgestellt? Verfolgt Ihr einem bestimmten Faden dem Ihr immer wieder nachgeht? Ich bin momentan dabei ein für mich passendes Konzept zu entwickeln und da würde es mich freuen, wenn vielleicht einige erfahrenere User mir ein paar Tipps geben könnten, gerne auch per PN.

 

Vielen Dank im Voraus

 

Danke Talent,

allerdings bin auch ich ein Laie. Mit nur 2 Jahren Boersenerfahrung duerfte ich hier im Forum mit zu den juengsten aktiven gehoeren.

 

Unternehmensanalysen: Jeder hat da sicher so seine eigene Vorgehensweise. Und selbst von einem zum anderen Unternehmen gibt es Abweichungen. Ich konzentriere mich hauptsaechlich auf die Geschaeftsberichte. Wenn ich ein Unternehmen nicht kenne, dann fange ich mit der Webseite an. Was stellt es her? Wie ist die Geschichte? Wie hat es sich in der Vergangenheit gemacht? Wie ist das Geschaeftsmodell? Wenn ich einen ersten Ueberblick habe, nehme ich mir die GBs vor. Als erstes die Anschreiben des CEOs. Alles was mir so auffaellt: Probleme, Expansionen, Aussichten, Persoenliches: Wie tickt der Mann, der mein Geld verwaltet? Von Quartal zu Quartal? Oder lanfgristig? Ich habe es gerne, wenn der CEO sich im Unternehmen hochgearbeitet hat und den Job >5 Jahre macht. Idealerweise gehoert ihm ein erheblicher Teil (z.B. Gerry Weber, Fuchs Petrolub, Fielmann, Roche). Das ist aber kein Ausschlusskriterium. Es geht darum, dass ich das Gefuehl haben muss, dass das Unternehmen bei dem Management in guten Haenden ist.

 

Dann geht es ans Zahlenwerk. Hier kann ich nur waermstens Stairways Bilanzanalyse-Thread und sein Buch empfehlen. Ich fange mit dem Umsatz an. Waechst der? Wenn nein, warum? Verkauft das Unternehmen vielleicht margenschwache Teile? Das waere ok. In welchen geographischen Regionen wird Umsatz gemacht? Mit welchen Produkten?

Wie sieht der Gewinn aus? Wird der vielleicht ueber Einmal-Effekte verfaelscht? Wie sieht es mit der Steuerquote aus? Wenn die in den letzten Jahren von 30% auf 15% runtergegangen ist, wie oft kann man das wiederholen? Wird vielleicht sogar kraeftig getrickst, wie z.B bei Eon? Wie ist da Gewinnwachstum? Wie ist die Umsatzrendite?

Danach geht es an die Bilanz. Eigenkapitalquote und -rendite, Gesamtkapitalrendite, Schuldensituation? Pensionsrueckstellungen (Am liebsten keine Pensionsverpflichtungen),

Anschliessend der Cashflow. Wie ist CapEx? Wie ist der FCF? Resultieren Investitionen in Wachstum?

 

Wenn ich vom Management ueberzeugt bin, dann sollte sich das auch in den Zahlen niederschlagen. Gewinne / Aktie sollten kontinuierlich steigen. Dass ist der Moment, wo ich entscheide: "Das Unternehmen gefaellt mir, ich will es haben". Dann muss man sich ueber die Bewertung Gedanken machen. Da ziehe ich die gaengigen Kennziffern zu rate: KGV, KBV, Dividendenrendite. Ich schau mir an, wie sich die Werte in den letzten 5, besser 10 Jahren entwickelt haben. 2009 ist dabei ganz wichtig, denn da hatten wir einen Crash. Die 2009er Werte notiere ich mir, dass sind Hinweise, die mir dabei helfen, eine Marktpanik zu erkennen. Leider kommen Crashs wie 2001-2003 und 2008-2009 selten vor. Daher bin ich immer wieder geneigt, mir von guten Unternehmen eine "Ankerposition" ins Depot zu legen. Geht der Kurs mal zurueck, dann kaufe ich nach. Momentan halte ich eine Cash-Quote von 25-35% vor, das laesst mich ruhig schlafen, denn ich weiss: Der naechste Crash wird eine Super Nachkaufgelegenheit. Dementsprechend habe ich im September / Oktober 2014 kraeftig aufgestockt, im Dezember allerdings nicht mehr, denn fuer meine gesunkene Cash-quote waren die Preise noch nicht tief genug. Ob das ein Fehler war, wird sich noch zeigen.

 

An einen Crash in naechster Zeit mag ich nicht so recht glauben. Dazu ist der Markt zu aengstlich. Es fehlt die Euphorie. Schwarze Schwaene kann es natuerlich immer mal geben, aber obwohl wir bisher ausreichen Gruende fuer einen Crash haetten (Griechenland / Euro, Russland / Ukraine, Oelpreis / Fracking, Ebola u.v.m.) stehen die Kurse nahe ATH. Und Draghi hat weitere Segnungen angekuendigt, was den Kursen nicht schaden sollte. Ich bin gespann, wie es weitergehen wird.

Diesen Beitrag teilen


Link zum Beitrag
TuSTalent

 

Danke Talent,

allerdings bin auch ich ein Laie. Mit nur 2 Jahren Boersenerfahrung duerfte ich hier im Forum mit zu den juengsten aktiven gehoeren.

 

Da hast du natürlich vollkommen Recht ;)

 

 

Unternehmensanalysen: Jeder hat da sicher so seine eigene Vorgehensweise. Und selbst von einem zum anderen Unternehmen gibt es Abweichungen. Ich konzentriere mich hauptsaechlich auf die Geschaeftsberichte. Wenn ich ein Unternehmen nicht kenne, dann fange ich mit der Webseite an. Was stellt es her? Wie ist die Geschichte? Wie hat es sich in der Vergangenheit gemacht? Wie ist das Geschaeftsmodell? Wenn ich einen ersten Ueberblick habe, nehme ich mir die GBs vor. Als erstes die Anschreiben des CEOs. Alles was mir so auffaellt: Probleme, Expansionen, Aussichten, Persoenliches: Wie tickt der Mann, der mein Geld verwaltet? Von Quartal zu Quartal? Oder lanfgristig? Ich habe es gerne, wenn der CEO sich im Unternehmen hochgearbeitet hat und den Job >5 Jahre macht. Idealerweise gehoert ihm ein erheblicher Teil (z.B. Gerry Weber, Fuchs Petrolub, Fielmann, Roche). Das ist aber kein Ausschlusskriterium. Es geht darum, dass ich das Gefuehl haben muss, dass das Unternehmen bei dem Management in guten Haenden ist.

 

Dann geht es ans Zahlenwerk. Hier kann ich nur waermstens Stairways Bilanzanalyse-Thread und sein Buch empfehlen. Ich fange mit dem Umsatz an. Waechst der? Wenn nein, warum? Verkauft das Unternehmen vielleicht margenschwache Teile? Das waere ok. In welchen geographischen Regionen wird Umsatz gemacht? Mit welchen Produkten?

Wie sieht der Gewinn aus? Wird der vielleicht ueber Einmal-Effekte verfaelscht? Wie sieht es mit der Steuerquote aus? Wenn die in den letzten Jahren von 30% auf 15% runtergegangen ist, wie oft kann man das wiederholen? Wird vielleicht sogar kraeftig getrickst, wie z.B bei Eon? Wie ist da Gewinnwachstum? Wie ist die Umsatzrendite?

Danach geht es an die Bilanz. Eigenkapitalquote und -rendite, Gesamtkapitalrendite, Schuldensituation? Pensionsrueckstellungen (Am liebsten keine Pensionsverpflichtungen),

Anschliessend der Cashflow. Wie ist CapEx? Wie ist der FCF? Resultieren Investitionen in Wachstum?

 

Wenn ich vom Management ueberzeugt bin, dann sollte sich das auch in den Zahlen niederschlagen. Gewinne / Aktie sollten kontinuierlich steigen. Dass ist der Moment, wo ich entscheide: "Das Unternehmen gefaellt mir, ich will es haben". Dann muss man sich ueber die Bewertung Gedanken machen. Da ziehe ich die gaengigen Kennziffern zu rate: KGV, KBV, Dividendenrendite. Ich schau mir an, wie sich die Werte in den letzten 5, besser 10 Jahren entwickelt haben. 2009 ist dabei ganz wichtig, denn da hatten wir einen Crash. Die 2009er Werte notiere ich mir, dass sind Hinweise, die mir dabei helfen, eine Marktpanik zu erkennen. Leider kommen Crashs wie 2001-2003 und 2008-2009 selten vor. Daher bin ich immer wieder geneigt, mir von guten Unternehmen eine "Ankerposition" ins Depot zu legen. Geht der Kurs mal zurueck, dann kaufe ich nach. Momentan halte ich eine Cash-Quote von 25-35% vor, das laesst mich ruhig schlafen, denn ich weiss: Der naechste Crash wird eine Super Nachkaufgelegenheit. Dementsprechend habe ich im September / Oktober 2014 kraeftig aufgestockt, im Dezember allerdings nicht mehr, denn fuer meine gesunkene Cash-quote waren die Preise noch nicht tief genug. Ob das ein Fehler war, wird sich noch zeigen.

 

An einen Crash in naechster Zeit mag ich nicht so recht glauben. Dazu ist der Markt zu aengstlich. Es fehlt die Euphorie. Schwarze Schwaene kann es natuerlich immer mal geben, aber obwohl wir bisher ausreichen Gruende fuer einen Crash haetten (Griechenland / Euro, Russland / Ukraine, Oelpreis / Fracking, Ebola u.v.m.) stehen die Kurse nahe ATH. Und Draghi hat weitere Segnungen angekuendigt, was den Kursen nicht schaden sollte. Ich bin gespann, wie es weitergehen wird.

 

Vielen Dank für Deine ausführliche Antwort. Den Thread von Stairway habe ich mir am Wochenende angeguckt, der ist wirklich super!

 

Für mich gibt es erst einmal noch viel zu lesen, aber diesen Aufwand nehme ich gerne in Kauf. Die nächsten Wochen werden wohl insgesamt sehr spannend (Griechenland-Wahl, €, EZB, Veröffentlichungen von Unternehmen). Für mich als Anfänger besonders spannend wird es, zu sehen, wie sich die jeweiligen Entwicklungen auf die Börsenkurse allgemein auswirken.

 

Ich wünsche Dir auf jeden Fall ein erfolgreiches Jahr 2015

Diesen Beitrag teilen


Link zum Beitrag
Schlaftablette
· bearbeitet von Schlaftablette

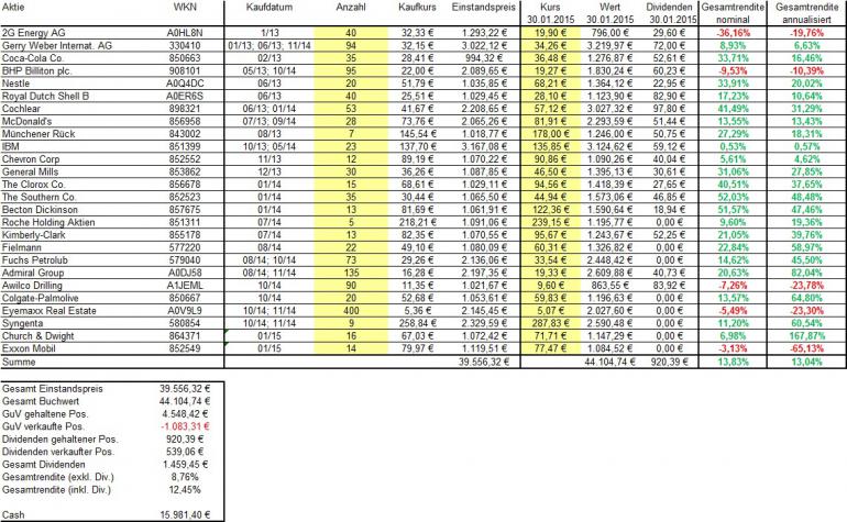
Januar 2015:

 

Ansich ist der Februar fast schon vorbei, und es wird bald Zeit fuer Maerz. Aber ich will euch auch diesen Monat nicht vorenthalten.

 

Zukäufe:

05.01.15: Church & Dwight: 16 Stk. zu 67,03 EUR

19.01.15: Exxon: 14 Stk. zu 79,97 EUR

 

Verkäufe:

keine

 

Dividenden:

Kimberly Clark - 7,61 €

 

Summe im Januar: 7,61 €

erhaltene Dividenden 2015: 7,61 € (nach Steuern)

Dividendenziel: 2.000 € p.a. (nach Steuern)

Dividendenrendite bezogen auf aktuelle Kurse: 3,57% (Yield) - Stand 31.01.15

Dividendenrendite bezogen auf Einstandskurse: 3,98% (Yield on Cost) - Stand 31.01.15

 

Sonstiges:

Cash-Zuflüsse i.H.v. 2.000,00 €

 

post-23911-0-07394600-1424980815_thumb.jpg

post-23911-0-10937400-1424980826_thumb.jpg

post-23911-0-47716200-1424980842_thumb.jpg

post-23911-0-61964700-1424980866_thumb.jpg

Diesen Beitrag teilen


Link zum Beitrag
Schlaftablette
· bearbeitet von Schlaftablette

Zuerst eine schlechte Nachricht:

Vom Februar wird es kein Depot-Update geben. Grund ist: Ich habe mein Excel-sheet vor einiger Zeit dahingehend umgestellt, dass automatisch die aktuellen Kurse von Yahoo gezogen werden. Und leider habe ich am 28.02. keine Screenshots gemacht. Ich muesste jetzt fuer alle Aktien historische Daten raussuchen und manuell eintragen. Ich denke, am 31.03. wird es dann entsprechende Updates geben.

 

Nur soviel in aller Kuerze:

- am 26.02. sind 3x Blackrock zu 338,65 EUR in mein Depot gewandert

Die Dividende bei Blackrock liegt bei ca. 2,4%, was nicht allzuschlecht ist. Allerdings liegt das Wachstum im deutlichen zweistelligen Bereich, und dieses bekommt man fuer ein KGV 19. Das war fuer mich der Hauptgrund, hier zuzuschlagen.

 

Dividenden gab es auch:

16.02.15; 5,33 € Colgate-Palmolive

13.02.15; 8,29 € Clorox Co.

02.02.15; 9,18 € General Mills

 

Jetzt zur guten Nachricht: am 12.03. ist unsere Tochter zur Welt gekommen. Mutter und Kind geht es recht gut. Auch an unserem Sohn habe ich sehr viel Freude. Das ist etwas, was man mit Geld nicht aufwiegen kann. Beide sind fuer mich eine starke Motivation, mich um Vermoegensaufbau zu bemuehen. Man kann nicht alles fuer Geld kaufen, aber vieles, auch bessere Startchancen im Leben. Ich hoffe, dass es meiner Frau und mir gelingt, unsere Kinder gut zu erziehen, so dass sie diese Chancen gut nutzen koennen.

 

Nun noch etwas zum Thema Krisenvorsorge. Ein Crash des Aktienmarktes, und wie ich damit mental umgehen soll, ist fuer mich schon immer ein Thema gewesen, ueber das ich nachgedacht habe. Und ein DAX-Stand von 12.000 Punkten wird daran sicherlich nichts aendern, auch wenn Karl Napf zurecht auf die Bedeutung des Blickwinkels hinweist. Ein Teil der Krisenvorsorge ist es, ein gewisses Cash-Polster fuer "Gelegenheiten" vorzuhalten. Dies laesst mich ruhiger schlafen, aehnlich dem "risikosenkenden" RK1-Anteil eines klassischen Depots. Die Frage ist: Wie hoch sollte die Cash-Quote sein? Und an welchem Punkt sollte das Cash eingesetzt werden?

 

Ich habe mir also mal die letzten beiden Krisen (Dot.com & Subprime) angesehen. (Bitte mich nicht auf die 2. Kommastelle festnageln, geht nur ums Prinzip).

post-23911-0-58692700-1426371506_thumb.jpg

Der Baerenmarkt nach der Dot.com Blase hat ca. 2,5 Jahre gedauert, nach der Subprimekrise waren es 16-20 Monate. In der Zeit gingen die Kurse fast konstant nach unten. Kennzeichen solcher Baerenmaerkte ist eine ausgepraegte Panik, die man beispielsweise im V-DAX erkennt. Werte oberhalb von 40 sollten das Herz eines langfristigen Buy & Hold Investors jubeln lassen, ueber 80 herrscht an den Boersen dann Weltuntergangsstimmung (z.B. Lehman Brothers). In solchen Maerkten werde ich nicht ins fallende Messer greifen. Ganz im Gegenteil, ich werde meine monatliche Sparquote in das Cashpolster fliessen lassen. Ich will erstmal eine Bodenbildung sehen. Auf den DAX bezogen koennte das z.B. heissen: Auf Tagesschlusskursbasis will ich bezogen auf das letzte Tief ein Plus von 7,5% sehen. Beispiel: Wenn der DAX bis auf 6.000 Punkte faellt, dann muss er erstmal wieder bis auf 6.450 Punkte steigen.

 

Damit verzichte ich zwar die ersten 7,5% an Rendite, aber immer am Tiefpunkt koennen sowieso nur Luegner einkaufen. Um jetzt aber nicht in eine Bullenfalle zu geraten, gehe ich nicht All-In. Ich investiere nur 33% meines Cashs. Sollte es sich bei 6.450 Punkten um eine Bullenfalle handeln, und es geht wieder deutlich runtern, dann sammele ich weiter Cash, und irgendwann wiederholt sich das Spiel. Sollte es aber nicht wieder runter gehen, dann warte ich auf den naechsten Anstieg, bis auf 15%, also in unserem Beispiel 6.900 Punkte. Dann kommen die naechsten 33%. Und bei 22,5% die letzten 33%. Zwischen jedem Kauf sollten mind. 2 Wochen liegen. Dieses System soll mir nur als Denkstuetze dienen, die einzelnen Entscheidungen treffe ich dann in der Crashsituation.

 

Ausgehend von meinem jetztigen Depot:

50.000 EUR in Aktien

15.000 EUR im Cash

ergibt eine Cash-Quote von 23%.

dazu kommt ein monatlicher Cash-Flow von ca. 2.000 EUR.

Gehe ich also von einem Baerenmarkt von 18 Monaten aus, dann haette ich anschliessend ca. 50.000 EUR Cash zur Verfuegung. Selbst wenn mein Depot keine Kursrueckgaenge aufweisen wuerde, haette ich eine Cash-Quote von 50%, was mir als durchaus attraktiv vorkommt. Man koennte aus dem Vollen schoepfen, um sich ordentlich mit Aktien einzudecken. Bei einem Einbruch des Depots um 50%, laege die Cash-quote sogar bei 66%.

 

Nun weis ich allerdings nicht, wann der naechste Cash kommt. Ich bin durchaus optimistisch, was die zukuenftige Boersenentwicklung angeht. Gruende hierfuer:

- Es ist Angst im Markt. Viele Leute stehen mit Taschen voller Geld an der Seitenlinie und starren dem abfahrenden Zug hinterher. (die werden jeden 15%-Einbruch sofort wieder hochkaufen)

- Draghi-Bazooka & Euroverfall (Wenn die Leute erstmal merken, dass demnaechst auch die Importgueter teuer werden, wehe...)

- Ukraine (es kann nur noch besser werden)

- IS (der Vormarsch hat der Boerse auch nicht weh getan)

- Griechenland (jeder weiss, dass die bald rausfliegen)

- Oelpreis ist niedrig (wirkt wie ein riesiges Konjunkturpaket)

an der Stelle mal ein Hinweis auf einen Blog, den ich sehr gerne lese, da er erfrischend anders ist. Koennte fast von Dakac geschrieben sein.

 

Da nun nicht klar ist, wann der naechste Crash kommt, werde ich vorsichtig weiter investieren. Aleine der Euro-Verfall zwingt uns fast schon dazu. Eine 20% Cash-Quote scheint mir erst mal auszureichen. Es koennte auch mal bis auf 15% runter gehen.

 

Soviel zum Thema Krisenvorsorge. Kommentare willkommen.

Diesen Beitrag teilen


Link zum Beitrag
Schildkröte
· bearbeitet von Schildkröte

@ Schlaftablette:

Herzlichen Glückwunsch zur zweiten Vaterschaft! thumbsup.gif Das mit dem nicht ins fallende Messer zu greifen, ist immer so eine Sache. Woher weißt Du, dass eine Bodenbildung erreicht ist? Wenn sich eine W-Formation gebildet hat und/oder die Umsätze wieder zurückgehen, nachdem die Zittrigen sich komplett zurückgezogen haben? Im Nachhinein weiß man leicht, wann man am besten hätte kaufen können. Aber gewisse Entscheidungen sollte man je nach dem konkreten Einzelfall treffen. Von daher machst Du Dir womöglich im Vorfeld viel zu viele Gedanken darüber, wie Du in bestimmten Szenarien (re)agieren wirst. Denn erstens kommt es anders und zweitens als man denkt. Sofern eine Aktie fair bis günstig bewertet ist UND ich später gerne nachkaufen würde, greife ich auch gerne mal ins fallende Messer.

Diesen Beitrag teilen


Link zum Beitrag
Hamsterrad

Der Baerenmarkt nach der Dot.com Blase hat ca. 2,5 Jahre gedauert, nach der Subprimekrise waren es 16-20 Monate. In der Zeit gingen die Kurse fast konstant nach unten. Kennzeichen solcher Baerenmaerkte ist eine ausgepraegte Panik, die man beispielsweise im V-DAX erkennt. Werte oberhalb von 40 sollten das Herz eines langfristigen Buy & Hold Investors jubeln lassen, ueber 80 herrscht an den Boersen dann Weltuntergangsstimmung (z.B. Lehman Brothers). In solchen Maerkten werde ich nicht ins fallende Messer greifen. Ganz im Gegenteil, ich werde meine monatliche Sparquote in das Cashpolster fliessen lassen. Ich will erstmal eine Bodenbildung sehen. Auf den DAX bezogen koennte das z.B. heissen: Auf Tagesschlusskursbasis will ich bezogen auf das letzte Tief ein Plus von 7,5% sehen. Beispiel: Wenn der DAX bis auf 6.000 Punkte faellt, dann muss er erstmal wieder bis auf 6.450 Punkte steigen.

 

Damit verzichte ich zwar die ersten 7,5% an Rendite, aber immer am Tiefpunkt koennen sowieso nur Luegner einkaufen. Um jetzt aber nicht in eine Bullenfalle zu geraten, gehe ich nicht All-In. Ich investiere nur 33% meines Cashs. Sollte es sich bei 6.450 Punkten um eine Bullenfalle handeln, und es geht wieder deutlich runtern, dann sammele ich weiter Cash, und irgendwann wiederholt sich das Spiel. Sollte es aber nicht wieder runter gehen, dann warte ich auf den naechsten Anstieg, bis auf 15%, also in unserem Beispiel 6.900 Punkte. Dann kommen die naechsten 33%. Und bei 22,5% die letzten 33%. Zwischen jedem Kauf sollten mind. 2 Wochen liegen. Dieses System soll mir nur als Denkstuetze dienen, die einzelnen Entscheidungen treffe ich dann in der Crashsituation.

 

Die Idee und die Ausarbeitung finde ich durchaus charmant :thumbsup:, mir fallen jedoch einige Punkte ein, über die man sich weitere Gedanken machen sollte.

Ggf. ließe sich, ausgehend von den Überlegungen, ein Erkennungs- und Verhaltenshandbuch für Crashs im allgemeinen Aktienforum erarbeiten?

 

Nun zu meinen Gedanken:

  • Was möchtest Du als Vergleichswert für die Bestimmung des Tiefs heranziehen? Einen oder mehrere Indexes, das eigene Depot, ...?
  • Willst Du Währungen in Deine Überlegungen mit einbeziehen? Aus Sicht des US Investors ist der DAX dieses Jahr z. B. nicht gestiegen.
  • Wie willst Du grundsätzlich einen Crash erkennen? Nur z. B. am VDAX, oder an der Differenz zum letzten Hoch, ...? Wann ist ein Crash ein Crash?
  • Hast Du in Deine Überlegungen mit einbezogen, daß der nächste Crash von einem Niveau stattfinden könnte, welches den Tiefpunkt des Crashs noch über dem heutigen Niveau liegen läßt? Z. B. der DAX steigt noch auf 30.000 Punkte, um dann auf 15.000 Punkte zu crashen - dann wäre ein Einstieg heute sinnvoller gewesen.
  • Sind Dir die Kosten Deiner Cash Position (entgangene Rendite, Dividenden, ...) bewußt? Hast Du einmal durchgerechnet, wann und in welchem Umfang der nächste Crash stattfinden muß, damit diese Kosten den Mehrertrag durch den Timing Versuch nicht vollständig auffressen?
  • Hast Du in Deine Überlegungen mit einbezogen, daß es ggf. keine ausgeprägten Crashes mehr gibt, sondern nur noch Korrekturen ähnlich dem letzten Oktober? Ggf. sind wir Jüngeren zu sehr von der Zeit ab 2000 geprägt, und erwarten daher regelmäßig Crashes, die es üblicherweise aber nicht in so kurzen Abständen und in der Heftigkeit gibt?

Diesen Beitrag teilen


Link zum Beitrag
Trüffelsau

"Jetzt zur guten Nachricht: am 12.03. ist unsere Tochter zur Welt gekommen. Mutter und Kind geht es recht gut. Auch an unserem Sohn habe ich sehr viel Freude. Das ist etwas, was man mit Geld nicht aufwiegen kann. Beide sind fuer mich eine starke Motivation, mich um Vermoegensaufbau zu bemuehen. Man kann nicht alles fuer Geld kaufen, aber vieles, auch bessere Startchancen im Leben. Ich hoffe, dass es meiner Frau und mir gelingt, unsere Kinder gut zu erziehen, so dass sie diese Chancen gut nutzen koennen."

 

 

Liebe Schlaftablette!

 

Dir und Deiner Familie wünsche ich alles erdenklich Gute! Bleibt gesund, freut Euch des Lebens und schreibe weiter so schöne Beiträge, die ich immer wieder super gern lese.

Immer schön, von Dir zu lesen und toll, dass Du uns an Deinem Privat- und Finanzleben so teilhaben lässt!

Also nochmal: alles alles Gute für Dein 2. Kind, die rekonvaleszierende Mutter und Euch alle 4 wünsche ich von Herzen

 

Trüffelsau

Diesen Beitrag teilen


Link zum Beitrag
Schlaftablette
· bearbeitet von Schlaftablette

@ Schildkroete & Hamsterrad:

ich glaube, dass sich meine Gedanken und eure in weiten Teilen aehneln. Ich bin nur nicht in der Lage, die einzelnen Details hier auszuleuchten, da es den Rahmen sprengen wuerde.

 

 

@ Schlaftablette:

Herzlichen Glückwunsch zur zweiten Vaterschaft! thumbsup.gif Das mit dem nicht ins fallende Messer zu greifen, ist immer so eine Sache. Woher weißt Du, dass eine Bodenbildung erreicht ist? Wenn sich eine W-Formation gebildet hat und/oder die Umsätze wieder zurückgehen, nachdem die Zittrigen sich komplett zurückgezogen haben? Im Nachhinein weiß man leicht, wann man am besten hätte kaufen können. Aber gewisse Entscheidungen sollte man je nach dem konkreten Einzelfall treffen. Von daher machst Du Dir womöglich im Vorfeld viel zu viele Gedanken darüber, wie Du in bestimmten Szenarien (re)agieren wirst. Denn erstens kommt es anders und zweitens als man denkt. Sofern eine Aktie fair bis günstig bewertet ist UND ich später gerne nachkaufen würde, greife ich auch gerne mal ins fallende Messer.

 

Nehmen wir doch mal als Beispiel die Oktober-Korrektur von 2014. Vom Hoch nahe 10.000 Punkten korrigierte der DAX runter bis auf 8.500 Punkten. Haette man damals einsteigen sollen? Vom heutigen Standpunkt mit DAX nahe 12.000 aus gesehen waere es das einzig sinnvolle gewesen, All-In zu gehen. Wusste man aber damals nicht, genausogut haette es auch auf 7-6-5.000 gehen koennen. Dann haette man sich geaergert. Hier ein Chart, ueber den Zeitraum Sept.-Nov. 2014, die roten Punkte zeigen meine Investitionen an, jeweils ca. 1.000 EUR.

post-23911-0-34620000-1426448314_thumb.jpg

Wie du siehst, nachdem ich den Eindruck hatte, dass wir den Boden erreicht haben, habe ich angefangen, sukzessiv nachzukaufen. Die Cash-Quote fiel von 37% Ende August auf 22% Ende November. Als wir dann im Dezember den Einbruch bei den Energiewerten hatten, war meine Cash-Quote (gefuehlt) zu niedrig, dementsprechend habe ich von weiteren Kaeufen abgesehen.

 

Haette es sich um eine Bullenfalle gehandelt, dann haette ich meine Kaeufe eingestellt, gewartet bis sich ein neuer Boden bildet, und dann wieder mit dem neu angesparten Cash gekauft. Nach der o.a. Strategie waere es aber kein Problem gewesen, mit der Cash-Quote noch tiefer zu gehen, nur leider habe ich mir diese Gedanken erst vor ein paar Wochen gemacht.

 

Was möchtest Du als Vergleichswert für die Bestimmung des Tiefs heranziehen? Einen oder mehrere Indexes, das eigene Depot, ...?

Gute Frage, ich wuerde mich erstmal auf DAX / MDAX / SDAX konzentrieren. Wie man der Tabelle in meinem letzten Post entnehmen kann, sind bei allen deutschen Indizes die Tiefpunkte praktisch identisch. Vielleich werde ich in den naechsten Tagen auch noch bei anderen Indizes schauen, wie es da aussah, z.B. S&P500, Dow, SMI, CAC40, STOXX600, etc.

 

Willst Du Währungen in Deine Überlegungen mit einbeziehen? Aus Sicht des US Investors ist der DAX dieses Jahr z. B. nicht gestiegen.

Waehrungen sind natuerlich schon ein Thema, ich habe dafuer aber noch kein festes Regelwerk.

 

Wie willst Du grundsätzlich einen Crash erkennen? Nur z. B. am VDAX, oder an der Differenz zum letzten Hoch, ...? Wann ist ein Crash ein Crash?

Der interessierte Investor wird schon merken, wann er in einem Crash steckt. Es wird in allen Zeitungen stehen. Die BILD wird es auf der Titelseite haben und alle deine Freunde werden dich auslachen, sofern sie wissen, dass du Aktionaer bist. Das kann bei 30% sein oder bei 50% oder auch bei 70%.

Der V-DAX ist meiner Meinung nach ein interessanter Indikator, um die Panik im Markt zu messen. Denn der V-DAX gibt gewissermassen den Preis fuer eine Versicherung gegen Kursabstuerze an, und die ist umso teurer, je mehr Leute Panik haben.

 

Hast Du in Deine Überlegungen mit einbezogen, daß der nächste Crash von einem Niveau stattfinden könnte, welches den Tiefpunkt des Crashs noch über dem heutigen Niveau liegen läßt? Z. B. der DAX steigt noch auf 30.000 Punkte, um dann auf 15.000 Punkte zu crashen - dann wäre ein Einstieg heute sinnvoller gewesen.

Ja, das habe ich. Nur: genau weiss es niemand. Ich kann mir dein Szenario uebrigens auch sehr gut vorstellen. Daher stelle ich mich auf beide Szenarien ein: mit 80% wette ich auf einen langfristigen Bullenmarkt, und mit 20% sichere ich mich gegen einen kurz- bis mittelfristigen Baerenmarkt ab. Damit kann ich gut schlafen.

 

 

Sind Dir die Kosten Deiner Cash Position (entgangene Rendite, Dividenden, ...) bewußt? Hast Du einmal durchgerechnet, wann und in welchem Umfang der nächste Crash stattfinden muß, damit diese Kosten den Mehrertrag durch den Timing Versuch nicht vollständig auffressen?

Ich bin mir durchaus der Oportunitaetskosten bewusst. Als ich meine erste Aktie kaufte, stand der DAX bei ca. 7.500 Punkten. Aber entgangene Gewinne schmerzen -emotional- nicht so sehr, wie Rote Zahlen. Zudem liegt mein Depot mit ca. 20% im Plus (inkl. Dividende). Das gibt einen kleinen Puffer, und macht (psychologisch) risikobereiter. Hier spielt der Cost-Average-Effekt eine gewisse Rolle. Gerechnet hab ich es allerdings nicht.

 

Hast Du in Deine Überlegungen mit einbezogen, daß es ggf. keine ausgeprägten Crashes mehr gibt, sondern nur noch Korrekturen ähnlich dem letzten Oktober? Ggf. sind wir Jüngeren zu sehr von der Zeit ab 2000 geprägt, und erwarten daher regelmäßig Crashes, die es üblicherweise aber nicht in so kurzen Abständen und in der Heftigkeit gibt?

Daran habe ich auch gedacht. Ich verweise nochmal auf den o.g. Blog.

 

Ich sage es nochmal: An einen veritablen Crash (DAX = 5.000) mag ich nicht recht glauben. Dazu sind die Marktteilnehmer noch zu vorsichtig. Vielleicht sind die Geissens-Fonds / Dirk Mueller Fonds erste Anzeichen dafuer, dass es sich langsam aendert. Aber eine Euphorie kann ich noch nicht mal im Ansatz erkennen.

 

Und wenn unsere Depots um 20% gestiegen sind, heisst das nicht, dass wir reicher geworden sind, sondern unser Geld wird einfach weniger wert im Aussenhandel. Spaetestens, wenn der Oelpreis bei 100$ steht, werden wir alle es merken. Ich bin gespannt, ob das die Inflation in Gang setzen wird.

 

@ Trueffelsau: Danke fuer die Blumen!!

Diesen Beitrag teilen


Link zum Beitrag
Schildkröte
· bearbeitet von Schildkröte

@ Schlaftablette:

Auch wenn Schinderhannes und Du zum Teil andere Werte im Depot habt als ich, haben wir insgesamt doch einen recht ähnlichen Anlagestil. Wie Du mische ich ebenfalls den einen oder anderen Nebenwert bei. Wenn es Dich interessiert, gebe ich Dir per PN gerne eine Aufstellung zu meinen aktuellen Depotwerten. Ein eigenes Musterdepot im WPF meinerseits ist aus Zeitgründen in absehbarer Zeit nicht geplant. Unabhängig davon sprichst Du die Themen Benchmarking und Market Timing an.

 

Im Nachhinein weiß man immer leicht, wann man hätte (ver)kaufen können und wann nicht. Des Weiteren richten sich Deine obigen Ausführungen nach Charts. Ich will die Charttechnik nicht per se schlechtreden, orientiere mich jedoch lieber an der fundamentalan Bewertung, den Wachstumsaussichten, Konsensschätzungen, der Konjunktur sowie der Geldpolitik. In diesem Zusammenhang empfehle ich die Lektüre vom "Ei des Kostolany". Man wird im Forum ja von einigen belächelt, wenn man sich zu André Kostolany bekennt. Wer das tut, hat ihn offensichtlich nicht verstanden. Anhand vom Ei des Kostolany erklärt der gute Mann den Ablauf eines Börsenzyklus unter Berücksichtigung der Geldpolitik. Auch erläutert er, inwieweit hohe und niedrige Umsätze an der Börse ein Hinweis sind.

 

Über Benchmarking wird sich immer wieder unterhalten. Die Anhänger einer ganz bestimmten Anlagestrategie machen daraus eine richtige Wissenschaft und manche Wissenschaftler glauben sogar, mithilfe der Mathematik den Markt austricksen zu können. Dabei schauen sie nicht nach links und nicht nach rechts, sind für andere Ansätze unempfänglich und sagen immer wieder gebetsmühlenartig ihre Thesen auf. Das ist genauso töricht wie ein ganz bestimmter Anleger, der sich zu sehr auf den Buchwert versteift.

 

Für eine Vergangenheitsbetrachtung sind Benchmarkvergleiche auf jeden Fall sinnvoll. Allerdings eher über einen längeren Zeitraum hinweg betrachtet (meines Erachtens 7 bis 12 Jahre bzw. ein kompletter Börsenzyklus). Jedoch hat das nach meiner Auffassung nur eine bedingte Aussagekraft für die Zukunft. Die tollste Anlagestrategie aus der Vergangenheit (im Forum spricht man gerne von 50% MSCI World, 30% Euro STOXX und 20% EM) kann künftig leicht eine lahme Ente sein.

 

Welche Benchmarks sollte man nun persönlich zum Vergleich nehmen? Per PN meinte kürzlich ein Wissenschaftler zu mir, wenn ich anders als er, Karl Napf oder weiß der Geier wer anlege, würde ich mich für "besser" halten und müsse dies "wissenschaftlich beweisen". Ich wusste schon, warum ich als Pragmatiker an einer FH und nicht an einer Uni studiert habe (sorry, der musste sein). Hier stoßen einfach zwei unterschiedliche Denkweisen aufeinander. Volkswirtschaft/Märkte/Indizes/Statistik auf der einen und Betriebswirtschaft/einzelne Unternehmen auf der anderen Seite.

 

Jeder soll nach seiner Facon selig werden. Wir Stockpicker fühlen uns mit Aktien einzelner Unternehmen wohl. Diese Aktien suchen wir uns zum Teil nach allgemein gültigen Kriterien aus, zum Teil nach jeweils einzelfallabhaengigen Ermessensentscheidungen. Wie soll man letzteres "wissenschaftlich beweisen"? Das Benchmarking aus Sicht des Stockpickers geht also vielmehr dahin, dass man seinen persönlichen Anlagestil bzw. seinen Depotaufbau mit gängigen Indizes vergleicht.

 

Du vergleichst Dich mit DAX, MDAX und SDAX? Dass der DAX ein Performance-Index ist und zahlreiche Zykliker beinhaltet, weißt Du? Ich habe ca. 50% USA, 25% Frankreich, 15% übriges Europa und 10% deutsche Nebenwerte im Depot. Also orientiere ich mich entsprechend an Dow Jones, S&P 500, CAC 40, Euro STOXX, STOXX Europe, MDAX und SDAX. Geldpolitik und Währungen sind ein sehr wichtiges Thema. Darüber sollten wir uns nochmal separat unterhalten.

Diesen Beitrag teilen


Link zum Beitrag
Mr. Jones

Welche Benchmarks sollte man nun persönlich zum Vergleich nehmen? Per PN meinte kürzlich ein Wissenschaftler zu mir, wenn ich anders als er, Karl Napf oder weiß der Geier wer anlege, würde ich mich für "besser" halten und müsse dies "wissenschaftlich beweisen". Ich wusste schon, warum ich als Pragmatiker an einer FH und nicht an einer Uni studiert habe (sorry, der musste sein). Hier stoßen einfach zwei unterschiedliche Denkweisen aufeinander.

Haha, das war bestimmt Chemstudent. laugh.gif

Diesen Beitrag teilen


Link zum Beitrag

Erstelle ein Benutzerkonto oder melde dich an, um zu kommentieren

Du musst ein Benutzerkonto haben, um einen Kommentar verfassen zu können

Benutzerkonto erstellen

Neues Benutzerkonto für unsere Community erstellen. Es ist einfach!

Neues Benutzerkonto erstellen

Anmelden

Du hast bereits ein Benutzerkonto? Melde dich hier an.

Jetzt anmelden

×
×
  • Neu erstellen...