Zum Inhalt springen
Schlaftablette

Schlaftablettes Depot

Empfohlene Beiträge

Kaffeetasse

Nachkaeufe heute (aufgrund des gestrigen Preisrutsches):

 

- 4x Blackrock zu 274,08 EUR

- 16x Chevron zu 65,42 EUR

- 17x Exxon zu 62,41 EUR

 

Weitere Nachkaeufe geplant.

 

Da muss ich dich auch noch zu beglückwünschen! Tja, die guten Ölriesen sind wieder erwacht... ^_^

Diesen Beitrag teilen


Link zum Beitrag
Schildkröte

@ Schlaftablette:

Gerry Weber ist ja eines Deiner Kerninvestments? Wie reagierst auf die jüngsten Entwicklungen?

Diesen Beitrag teilen


Link zum Beitrag
Gaspar
Da muss ich dich auch noch zu beglückwünschen! Tja, die guten Ölriesen sind wieder erwacht... ^_^

Sind sie???:huh:

Diesen Beitrag teilen


Link zum Beitrag
Schlaftablette
· bearbeitet von Schlaftablette

@ Schlaftablette:

Gerry Weber ist ja eines Deiner Kerninvestments? Wie reagierst auf die jüngsten Entwicklungen?

 

Hallo Schildkroete,

erstmal gar nicht. Abwarten, was weiter passiert. Panik ist selten ein guter Ratgeber und kostet meist Geld. Zukaufen will ich jetzt aber gerade auch nicht.

Kerninvestment wuerde ich es aber nicht nennen. Eigentlich habe ich keine richtigen Kerninvestments. Kein Investment hat bisher mehr als 3.500 EUR bekommen, bei einem Depotvolumen von 60.000 EUR.

Diesen Beitrag teilen


Link zum Beitrag
hugolee

Hallo Schlaftablette,

 

wann gibt es mal wieder eine aktuelle Depotübersicht?

Oder machst Du die nur noch quartalsweise?

Wäre schön, wenn du die Branche-Spalte zukünftig mit einblenden könntest.

 

Viele Grüße

hugolee

Diesen Beitrag teilen


Link zum Beitrag
Schlaftablette

Hallo hugolee,

 

Ja, ich mach momentan nur noch quartalsweise ein Update. Es ändert sich ja nicht mehr soviel, hauptsächlich nur noch Nachkäufe mit gelegentlichen Korrekturen der Bestandspositionen. Aber in 2-3 Wochen ist das nächste Update ja auch schon wieder fällig.

Diesen Beitrag teilen


Link zum Beitrag
Schlaftablette

Schlaftablette auf Abwegen:

 

Heute morgen habe ich es getan:

Zum erstenmal Hybrid-Anleihen gekauft. Hier eine Auflistung der aktuell gehandelten Hybride (danke an alle hier im WPF und im BB):

post-23911-0-28814000-1443475336_thumb.jpg

 

Und hier noch eine Aufstellung der Zahlungsstroeme:

post-23911-0-97347300-1443475347_thumb.jpg

 

Ich wette mit dem Hybrid auf:

- Das VW nicht pleite geht und es auch nicht zu einem Schuldenschnitt kommt.

- VW zahlt im schlimmsten Fall spaetestens ab 2023 wieder eine Dividende (das wuerde die Zinszahlungen triggern)

- Die Hybride werden beim ersten Termin gekuendigt.

- Die Zinsen werden diese Dekade nicht mehr nennenswert erhoeht (d.h. EUR nicht ueber 3%).

- Inflation wird diese Dekade nicht ueber 4% steigen.

- Ich rechne damit, dass die Hybride bis Ende 2020 mindestens bei Pari stehen. Ab Pari wuerde ich einen Verkauf in Erwaegung ziehen.

 

Gekauft habe fuer Nominale 2.000 je den 2023 (IRR 5,5%) und den 2026 (IRR 6%). Ziel: Diversifikation in andere Assetklassen, Anlage meines Cash-Anteils.

Und ja, es ist auch ein wenig Spekulation gegen die aktuelle Stimmung (Abgas-Skandal) dabei.

Diesen Beitrag teilen


Link zum Beitrag
hund555

Hi Schlaftablette,

wie hast du geschaft die Hybrid-Anleihen in der kleinen Menge zu kaufen?

Ich wollte auch meine ersten H-Anleihen kaufen, es wird aber meistens nur für 100k, 50k und ab und zu für 10k gehandelt - kleinere Mengen zu kaufen war somit nicht möglich.

Diesen Beitrag teilen


Link zum Beitrag
Stoiker

Hi Schlaftablette,

wie hast du geschaft die Hybrid-Anleihen in der kleinen Menge zu kaufen?

Ich wollte auch meine ersten H-Anleihen kaufen, es wird aber meistens nur für 100k, 50k und ab und zu für 10k gehandelt - kleinere Mengen zu kaufen war somit nicht möglich.

 

@hund555

 

Die o.g. VW-Hybride sind in 1.000er Stückelung zu kaufen, z.B. die A1VCZQ

Diesen Beitrag teilen


Link zum Beitrag
hund555

 

@hund555

 

Die o.g. VW-Hybride sind in 1.000er Stückelung zu kaufen, z.B. die A1VCZQ

 

Danke, hab durch Zufall rausgefunden. Ich dachte davor ab 1000er (und nicht in 1.000er Stückelung)

Diesen Beitrag teilen


Link zum Beitrag
Schlaftablette

Ich habe die Hybride ganz regulaer an der Stuttgarter Boerse gekauft. Voellig problemlos.

 

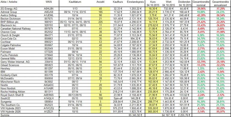
hier die Uebersicht fuer Q3/2015:

Die Kurse sind Wochenschlusskurse von Freitag, den 02.10.2015. Ebenso habe ich all Dividendenstroeme bis Freitag mit beruecksichtigt. p.a. Renditen habe ich noch nicht errechnet, liefere ich aber (hoffentlich) nach.

Im letzten Quartal hat mein Depot doch ordentlich Federn lassen muessen. Von +18% ging es runter, auf zeitweise -4%. Das stoert mich aber nicht im geringsten. Ganz im Gegenteil, ich wuerde mir noch einen ordentlichen Kurssturz wuenschen. Die Oel- und Rohstoffwerte sind schon recht gut zurueckgekommen, hier koennte ich mir vorstellen, noch weiter nachzulegen. BHP unter 13EUR wuerde ich nochmal zuschlagen. Wenn Beckton & Dickinson noch ein paar Euros runterkaeme (so auf ca. 110), dann wuerde es mich in den FIngern jucken. Canadian National Railway ist auch interessant, sollte aber noch etwas weiter runterkommen. Gilead Sciences ist auf jeden Fall in der naeheren Auswahl fuer den naechsten Kauf. Bei einem KGV 8-9 koennen die Aktienrueckkaeufe ihre Wucht voll entfallten. IBM koennte auch ein Nachkaufkandidat werden, erst recht, wenn es noch ein wenig tiefer geht. Roche rueckt ebenfalls in interessante Bereiche vor. Ebenso Shell und Syngenta. Und sollten die Hybride nochmal deutlich nachgeben, bin ich auch hier bereit, nachzulegen.

 

Was ich bisher gelernt habe: Angst ist nicht so mein Problem. Aber Gier. Es faellt mir schwer, zu widerstehen, wenn ich etwas sehe, was nicht absolut ueberteuert ist. Wie ich das angehe, muss ich mir noch ueberlegen. Ratschlaege und Erfahrungsberichte sind willkommen.

 

post-23911-0-27306100-1443978827_thumb.jpg

 

Dividendenstroeme:

post-23911-0-87111400-1443978836_thumb.jpg

 

Depotuebersicht:

post-23911-0-17753800-1443978857_thumb.jpg

 

Gewichtung:

post-23911-0-78708900-1443978867_thumb.jpg

 

Branchen:

post-23911-0-83358500-1443978876_thumb.jpg

 

Marktkapitalisierung:

post-23911-0-41530900-1443978885_thumb.jpg

Diesen Beitrag teilen


Link zum Beitrag
KLEARCHOS

Also ich habe jetzt nicht den ganzen Thread durchgelesen, aber findest Du nicht, daß man sich auch „tot diversifizieren“ kann mit vielfach doch recht kleinen Stückzahlen und dann womöglich irgendwann den Überblick verliert?

Und warum kaufst Du eigentlich B-Shares von Shell?

Diesen Beitrag teilen


Link zum Beitrag
Ramstein

Und ich finde, dass ausschließlich VW-Hybride keine hinreichende Diversifizierung im Anleihebereich sind.

Diesen Beitrag teilen


Link zum Beitrag
Schildkröte

"Never catch a falling knife..." & "Kaufen, wenn die Kanonen donnern..."

 

Bei einigen Depotpositionen habe ich schon ein wenig den Eindruck, dass das eher Turnaroundwetten sind und zu Deinem eigentlichen Anlagestil nicht unbedingt passen.

Diesen Beitrag teilen


Link zum Beitrag
Gast231208

Und ich finde, dass ausschließlich VW-Hybride keine hinreichende Diversifizierung im Anleihebereich sind.

 

 

Stimmt, aber:

 

- Irgendwann muss man halt mal mit den Anleihekäufen beginnen

 

- bezogen auf das Gesamtdepot (ohne TG, FG) betragen die VW-Hybriden grade mal so 6%, das Verlustrisiko ist also sehr begrenzt.

 

 

 

Dazu würde mich interessieren, wieviel %-VW-Hybriden Im Anleihedepot ihr noch für vertretbar haltet, große Alternativen ( Rendite versus Risiko) gibt es derzeit ja nicht.

 

 

 

 

Diesen Beitrag teilen


Link zum Beitrag
Schlaftablette

Also ich habe jetzt nicht den ganzen Thread durchgelesen, aber findest Du nicht, daß man sich auch „tot diversifizieren“ kann mit vielfach doch recht kleinen Stückzahlen und dann womöglich irgendwann den Überblick verliert?

Und warum kaufst Du eigentlich B-Shares von Shell?

Hallo Klearchos,

ueber Positionsgroessen und Anzahlen haben wir uns bereits weiter oben im Thread unterhalten.

Grundsaetzlich sehe ich darin keine groesseren Probleme. Allerdings werden einige Positionen demnaechst unter "Beobachtung" kommen. Das werden die Positionen sein, die bei mir langfristig nicht mehr unter "Buy & Hold" fallen. Dazu spaeter mehr.

 

B-Shares von Shell hatte ich bereits im Depot. Da ich ab 2016 meinen Freibetrag voll ausschoepfe, kann es sein, dass ich demnaechst von Shell B nach Shell A tausche. Shell A ist fuer mich steuerlich etwas guenstiger und meist auch etwas billiger, so dass man bei einem Tausch 1-2% mehr Aktien erhaelt. Aber das ist im Shell Thread bereits diskutiert worden.

 

Und ich finde, dass ausschließlich VW-Hybride keine hinreichende Diversifizierung im Anleihebereich sind.

Zustimmung. Inzwischen sind OMV und Petrobras dazugekommen. Details weiter unten. Zugegeben, gemaess der reinen Lehre muesste ich Staatsanleihen bester Bonitaet kaufen. Aber wenn selbst 10jaehrige Bundesanleihen knapp um 0% rentieren, will ich gar nicht darueber nachdenken. MMn handelt es sich um ein "Greater-Fools-Game". 10-Jaehrige bringen keine Zinsen mehr. Dagegen hat man das Inflationsrisiko. Und die Hoffnung, dass bei einer Marktpanik und der anschliessenden "flight to safe haven" der Bund-Future nochmal deutlich steigt. Erst dann verdient man Geld damit.

 

"Never catch a falling knife..." & "Kaufen, wenn die Kanonen donnern..."

 

Bei einigen Depotpositionen habe ich schon ein wenig den Eindruck, dass das eher Turnaroundwetten sind und zu Deinem eigentlichen Anlagestil nicht unbedingt passen.

Vor allen Dingen der Oel- und Rohstoffsektor sind langristige Turn-around Wetten. Inzwischen sind ca. 25% meines Depots irgendwie "oelig". Bei Cochlear hat der Turn-around geklappt, mittlerweile ist mir der Anstieg etwas unheimlich geworden. Bei McDonald hat der Turn-around geklappt, bei Syngenta auch vor allem aufgrund des Uebernahmefiebers. 2G Energy und Gerry Weber haben sich leider erst nach einem Kauf zu einer Turn-around Wette entwickelt.

 

Ob das zu meinem Anlagestil passt, ist eine gute Frage. Ich kann damit jedenfalls gut schlafen.

 

Nun aber mal zu einer Zusammenfassung von Q4/2015 bzw. Gesamtjahr 2015:

 

Verkaeufe: keine

post-23911-0-03213700-1454436035_thumb.jpg

 

Dividendenstroeme:

post-23911-0-32200400-1454436041_thumb.jpg

post-23911-0-38944100-1454436048_thumb.jpg

post-23911-0-40078500-1454436055_thumb.jpg

 

Depotuebersicht:

post-23911-0-02800700-1454436063_thumb.jpg

post-23911-0-48600100-1454436071_thumb.jpg

post-23911-0-43520000-1454436076_thumb.jpg

post-23911-0-40083200-1454436082_thumb.jpg

 

Es ist ja mehrfach der Vorschlag gekommen, die Rendite p.a. zu errechnen. Das habe ich getan. Dabei habe ich Kaeufe, Verkaeufe und Dividenden aufgelistet und per Excell / Interner Zinsfuss die Rendite errechnet. Cash wurde nicht beruecksichtigt. Zu beachten ist dabei, dass ich im Jahr 2012 nur fuer 3 Wochen mit 1 Aktie investiert war. Daher die 300%.

Insgesamt eine etwas nuechterne Bilanz, da wir in der Zwischenzweit einen ordentlichen Bullenmarkt hinter uns haben. Allerdings sind auch die "Suenden meiner Jugend" in dieser Rendite enthalten.

post-23911-0-13994800-1454436088_thumb.jpg

Diesen Beitrag teilen


Link zum Beitrag
Schlaftablette
· bearbeitet von Schlaftablette

Kauf 2.000 EUR Nom. Eyemaxx 2016 / A1K0FA, fuer 101,2 inkl. Stk.-Zins und Gebuehren. Rueckzahlung am 26.07.2016 zu 107,5 ergibt 6,23%, bzw. 13,68% p.a.als kurzfristiges "Festgeldersatz".

 

Kauf 6.000 EUR Nom. Eyemaxx 2020 / A12T37, fuer 73,77 inkl. Stk.-Zins und Gebuehren.

CY: 11,01% YtM: 18,61%.

Diesen Beitrag teilen


Link zum Beitrag
PopOff

Im Jahr 2012 hast du eine Rendite von 327,76% erreicht. Welche Schlaftablette hast du denn da genommen?:thumbsup:

Diesen Beitrag teilen


Link zum Beitrag
schinderhannes
· bearbeitet von schinderhannes

Wenn man im Dezember 2012 loslegt wohl kein Problem.

ANNUALISIERTE Rendite.

Diesen Beitrag teilen


Link zum Beitrag
luess

hey

 

wann gibt es wieder einen Einblick in das Depot? whistling.gif

Diesen Beitrag teilen


Link zum Beitrag
Schlaftablette

Liebe Autoren und Leser,

 

nach fast 2 ½ Jahren Pause ist es mal wieder Zeit für ein Update.

 

Nachdem meine Familie und ich 2014-2016 aus beruflichen Gründen in Chile waren, sind wir Anfang 2017 zurückgekehrt, hauptsächlich aus zwei Gründen:

1.       Familie: Wir wollten, dass unsere Kinder Omas & Opas nicht nur aus Skype & Weihnachtsurlaub kennen

2.       Ich wollte meinen langgehegten Traum einer Selbstständigkeit verwirklichen. Dazu gab es zwar auch in Chile lukrative Marktlücken, allerdings müssten wir uns dann langfristig in Lateinamerika niederlassen – was gegen Punkt 1 spricht.

 

Anfang 2017 waren wir wieder in Deutschland. Für mich stand schon länger fest, dass ich kein neues Start-up gründen sondern ein bestehendes Unternehmen übernehmen wollte. Mitte 2017 fing ich dann ernsthaft und gründlich  damit an, Nägeln mit Köpfen zu machen und wurde letztlich mithilfe der IHK fündig. (Die Zwischenschritte und auch andere interessante Optionen erspare ich euch, da es hier zu weit abschweifen würde).

 

Ende 2017 lernte ich einen Unternehmer kennen, der aus Altersgründen einen Nachfolger sucht. Ein Blick auf GuV, Bilanz und Geschäftsmodell zeigte mir, dass der Kaufpreis ziemlich moderat gewählt war. Die Kundenstruktur war ausreichend diversifiziert, ebenso die Produkte (Sonderfahrzeuge). In einer Nische besteht ein fast-Monopol (mit >80% Marktanteil, bei ca. 35% Umsatzvolumen), das kaum substituiert werden kann. Das Unternehmen bietet Wachstumspotential, die Produkte können nicht durch z.B. chinesische Billiglohnprodukte ersetzt werden. Auch auf der persönlichen Ebene klappte die Zusammenarbeit auf Anhieb. Das Unternehmen hat bei Kunden einen sehr guten Ruf. Davon konnte ich mich bei vielen Gesprächen mit Kunden selbst überzeugen.

 

Nach Fertigstellung des Businessplans nahm ich Kontakt zu mehreren Banken auf, jede einzelne war daran interessiert, eine Finanzierung zusammenzustellen. Daher habe ich seit Dezember 2017 Stop-Losses bei meinen Aktienpositionen eingezogen. Stück für Stück sind alle Positionen damit abverkauft worden. Nun bin ich auf der Zielgeraden und werde voraussichtlich in den nächsten 2 Monaten die bereits verhandelten Kaufverträge unterzeichnen.

 

Noch ein paar Kennzahlen zum Unternehmen:

Umsatz war die letzten 7 Jahre relativ konstant, der Unternehmer wollte auf seine letzten Jahre kürzer treten. Es besteht aber definitiv Wachstumspotential.

 

EBIT Margen der letzten 7 Jahre: 16-23%, im Schnitt ca. 20%

 

Kaufpreis: 4,5x EBIT (ohne kalk. Unternehmerlohn), 5x EBIT (mit kalk. Unternehmerlohn), in der Branche ist laut diversen Banken eine Multiple von 6-8 x EBIT üblich, der Kaufpreis bewegt sich im mittleren siebenstelligen Bereich.

 

Würde man aus Nettogewinn und Kaufpreis ein KGV errechnen, (was gar nicht so einfach ist, da Personen- und Kapitalgesellschaften unterschiedlich besteuert werden), so ergäbe sich nach Einkommensteuer bei mir ein KGV=9. Äquivalent dazu wäre ein Börsen-KGV von 6,8 – auf den man aber noch 25% Abgeltungssteuer bezahlen müsste.

 

Die Finanzierung ist auf 20 Jahre ausgelegt. Bei konservativer Planung sind alle Kredite aber nach 7-8 Jahren erwirtschaftet und können nach 10 Jahren abgelöst werden.

 

Die Eigenkapitalquote beträgt zu Anfang 5%. Liquide Mittel sind ausreichend vorhanden. Die Eigenkapitalrendite über die nächsten 10 Jahre wird – auch aufgrund der hohen Anfangsverschuldung – wahrscheinlich >30%p.a. liegen, wenn es mir tatsächlich gelingt, die Schulden innerhalb der ersten 10 Jahre zu tilgen.

 

Noch ein paar Worte zu meinem Depot:

Wie gesagt, mein Depot befindet sich aktuell bei 0€, alle meine Ersparnisse stecken im Unternehmen. 5 Jahre, nachdem ich angefangen hatte, mich mit Geld zu beschäftigen, hatte mein Depot einen Wert von ca. 120.000€ nach Steuern. Davon waren etwa 20.000€ Dividenden und Kursgewinne nach Steuern.

 

Ich habe es nie nachgerechnet, aber ich vermute, dass ich den Markt in der Zeit nicht geschlagen habe. Ob mein Depot sich auch in einer Baisse besser als der Markt geschlagen hätte, bleibt Spekulation. Rein rechnerisch betrachtet, hat sich auch der zeitliche Aufwand (ca. 3.000h) finanziell nicht gerechnet. Wäre ich putzen gegangen, hätte ich mehr verdient. Und hätte ich mein Vermögen stattdessen in ETFs gesteckt, wäre das Missverhältnis noch viel krasser gewesen. Bevor die Passiv-Jünger jetzt aber jubeln: Trotzdem war es keine verlorene Zeit. Ich habe hunderte von Geschäftsberichten gelesen, viele Firmen analysiert, bewertet und mir deren Geschäftsmodelle angesehen. Ganz nebenbei habe ich gelernt, Bilanzen, GuVs und Cash-Flow Rechnungen zu verstehen, Investitionsrechnungen durchzuführen und faule Geschäftsmodelle zu erkennen. Ich habe mehr begriffen als viele BWL Bachelor Absolventen. Dieses Verständnis hat mir die nötige Sicherheit und Auftreten gegenüber den Banken gegeben. Ich habe viel über die Marktwirtschaft gelernt. Insofern war es gut investierte Zeit.

 

Falls die Mods mein Musterdepot stehen lassen, kann ich vielleicht in 2-3 Jahren berichten, wie sich mein Unternehmen entwickelt. Und ich werde auch wieder in Aktien investieren, spätestens dann, wenn mein Unternehmen Schuldenfrei ist. Denn auch wenn mein schuldenfreies Unternehmen als Altersvorsorge völlig ausreichend ist: Ein guter Aktionär weiß, dass er nicht alle Eier in einen Korb legen darf. :-)

 

In dem Sinne, wünsche ich uns allen, dass die Wirtschaft noch ein paar Jahre florieren möge!!

 

Liebe Grüße von der Schlaftablette!

Diesen Beitrag teilen


Link zum Beitrag
Schildkröte

Hut Ab und danke für den sehr aufschlussreichen Erfahrungsbericht! :thumbsup:

(Sicher nicht nur) Ich würde mich freuen, wenn Du gelegentlich darüber berichtest, wie sich Dein Unternehmen entwickelt.

 

Lehrjahre sind keine Herrenjahre. 

Die meisten von uns sind Privatanleger, die Börse "im Nebenerwerb" betreiben.

Für den Hauptberuf waren auch zunächst eine Ausbildung oder ein Studium erforderlich, was sich erst später monetarisiert.

Insofern kann man das einarbeiten in das Thema Geldanlage ebenfalls unter "Anlaufkosten" (bzw. -zeit) verbuchen.

 

Ich wünsche Dir auf jeden Fall gutes Gelingen für Deine berufliche Zukunft! :king:

Diesen Beitrag teilen


Link zum Beitrag
Akaman

Welcome back, Schlaftablette!

 

Schön, dass deine Pläne bisher so gut aufgegangen sind. (Ich hätte dir allerdings sehr gegönnt, Chile noch ein wenig besser kennenzulernen - insbesondere im Norden und im Süden gibt es wunderbare Ecken.)

 

Viel Erfolg weiterhin! Und ja: ich würde mich sehr freuen, hin und wieder zu hören, wie es dir weiter ergeht. 

 

:thumbsup:

Diesen Beitrag teilen


Link zum Beitrag
leoluchs

Vielen Dank für Deinen Erfahrungsbericht.

Ich glaube, dass es eine ganze Reihe von alteingesessenen Unternehmen gibt, die via IHK einen Nachfolger suchen. Den Mut einzusteigen muss man allerdings erst einmal aufbringen. Chapeau Schlaftablette - und ganz viel Glück bei Deinen Entscheidungen. Es würde mich freuen, von Dir und dem Unternehmen zu hören.

Deine Überlegungen im WPF waren für mich sehr wichtig, um ein eigenes Depot auf die Füße zu stellen - von daher, lommer jon!

Diesen Beitrag teilen


Link zum Beitrag
McScrooge

Willkommen zurück Schlaftablette, auch mich würde es interessieren wie es mit dem Unternehmen weitergeht. Interessante Schritte bist du jedenfalls gegangen!

Diesen Beitrag teilen


Link zum Beitrag

Erstelle ein Benutzerkonto oder melde dich an, um zu kommentieren

Du musst ein Benutzerkonto haben, um einen Kommentar verfassen zu können

Benutzerkonto erstellen

Neues Benutzerkonto für unsere Community erstellen. Es ist einfach!

Neues Benutzerkonto erstellen

Anmelden

Du hast bereits ein Benutzerkonto? Melde dich hier an.

Jetzt anmelden

×
×
  • Neu erstellen...