Zum Inhalt springen
Schlaftablette

Schlaftablettes Depot

Empfohlene Beiträge

Schlaftablette
· bearbeitet von Schlaftablette

Ich habe tatsächlich bei allen 3 o.g. Unternehmen zugeschlagen.

 

Beckton Dickinson: 13 St. zu 81,69 €

Clorox: 15 St. zu 68,61 €

The Southern Co.: 35 St. zu 30,44 €

 

Und zu Clorox werde ich in den nächsten Tagen was schreiben.

Diesen Beitrag teilen


Link zum Beitrag
Schlaftablette

Habe heute meine Investition in Cochlear aufgestockt:

30 Stk. zu 39,31 € inkl. Gebühren.

Diesen Beitrag teilen


Link zum Beitrag
Schlaftablette
· bearbeitet von Schlaftablette

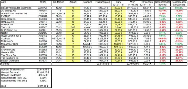
Monatsabschluss meines Aktiendepots für Januar 2014:

 

Zukäufe:

02.01.2014: The Clorox Co. (WKN: 856678): 15 Stk. zu 68,61 € inkl. Gebühren

02.01.2014: Becton Dickinson (WKN: 852523) 35 Stk. zu 30,44 € inkl. Gebühren

02.01.2014: The Southern Corp. (WKN: 857675) 13 Stk. zu 81,69 € inkl. Gebühren

21.01.2014: Cochlear (WKN: 898321) 30 Stk. zu 39,31 € inkl. Gebühren

 

Verkäufe:

keine

 

Dividenden:

keine

 

Dividendenziel: 1.000 € p.a.

erhaltene Dividenden 2014: 0,00 € (nach Steuern)

Sonstiges:

Cash-Zuflüsse i.H.v. 1.500,00 €

 

post-23911-0-63735700-1391363363_thumb.jpg

post-23911-0-53063100-1391363386_thumb.jpg

post-23911-0-95253400-1391363398_thumb.jpg

post-23911-0-72085900-1391363412_thumb.jpg

 

Diesen Monat gab es relativ viele Zukäufe. Ob das so klug war, muss sich noch rausstellen. In den nächsten Monaten sind aber auch höhere Cash-Zuflüsse zu erwarten. Mit etwas Glück korrigieren die Märkte aufgrund der Schwellenländer in den nächsten Monat noch deutlich stärker. Mich würde es jedenfalls freuen, wenn die Märkte nochmal deutlich runterkommen. 30% Cash sind ja verfügbar.

Diesen Beitrag teilen


Link zum Beitrag
35sebastian

Schöne Zusammenstellung. Und kaufen kann mann immer. Es gibt ja immer Aktien , auch gute, die ganz niedrig notieren. Z.Z. sind das vor allem die Konsumaktien, die Empfehlungen des letzten Jahres.:)

Diesen Beitrag teilen


Link zum Beitrag
Schlaftablette

Ja, bei den Konsumgütern bin ich auch versucht zuzugreifen: Colgate-Palmolive, Reckitt-Benckiser; mir wäre es ganz lieb, wenn es in den Schwellenländern noch mal ordentlich drunter und drüber gehen würde. Ganz günstig sind die Konsumgüter-Aktien nämlich immer noch nicht.

Diesen Beitrag teilen


Link zum Beitrag
schinderhannes

Dein Depot habe ich immer im Auge, da Du ja sehr ähnlich handelst wie ich.

Die beiden genannten CL und RB sind meine Wunschkandidaten, aber sind m.E. doch recht ordentlich bewertet derzeit.

 

Denkst Du auch darüber nach bei einigen Werten aufzustocken ?

Von den bestehenden Positionen kann man m.E. derzeit Nestle, Coca Cola, IBM und McDonalds ohne Bauchschmerzen zukaufen.

Diesen Beitrag teilen


Link zum Beitrag
Sapine

Wie geht es jetzt weiter?Ich möchte mittelfristig (12-18 Monate) ein Depot aus 20, max. 30 soliden Unternehmen aufbauen. Je Position werden 1.000-2.000 € investiert. Umschichtungen nur sowenig wie möglich. Ich stelle mir eine Kombinaton aus ca. 2/3 Blue Chips, 1/3 Small Caps vor, aber das kann auch flexibel bleiben. Bei Blue Chips werden Dividendentitel bevorzugt. Bei Small Caps nur Unternehmen, die auch Gewinn machen und schon einige Jahre am Markt bestehen. Monatlicher Cash-Flow: ca. 400-500 €, mehrmals im Jahr gibt es Sonderzahlungen (Urlaubs- / Weihnachtsgeld etc.). Ziel ist es mind. 10.000 € p.a. in Aktien zu investieren und diese dann möglichst bis zur Rente zu halten, die dann möglichst früh eintreten soll ;).Ein Teil des Cashs soll für den Fall eines Crashs auch immer bereit gehalten werden. Die Cash-Qoute wird am Anfang sicherlich um die 30-50% liegen, aber mit den Jahren immer geringer werden.

Hallo Schlaftablette,

 

auch wenn es für uns schön ist, wenn Du viele Positionen kaufst, weil es dann viel zu sehen und zu diskutieren gibt, sinnvoll ist es eigentlich nicht derart kleinteilig vorzugehen. Neben den Kaufgebühren musst Du eigentlich auch die Verkaufsgebühren einrechnen, sofern es kein Kerninvestment ist. Dein ursprünglicher Plan waren 20 - 30 Positionen zwischen 1000 und 2000 Euro. Jetzt hast Du 20 Positionen im Depot und nicht eine einzige war höher als 1000 Euro. Bei Positionen von 2000 Euro kostet es rund die Hälfte. Wenn Du jetzt nur 5000 Euro im Jahr investieren könntest, würde ich den Ansatz verstehen und sagen ok, geht nicht anders auch in der Anfangsphase als noch wenig Aktien im Depot waren, kann ich es nachvollziehen von wegen Ungeduld. Aber wer zwingt Dich denn, jetzt noch jeden Monat 1-2 Aktien zu kaufen? Weniger ist da meiner Meinung nach mehr oder wie es so schön heißt im Einkauf liegt der Gewinn. Wie willst Du weiter vorgehen, wenn Du bei 30 Positionen angekommen bist? Im Juni hattest Du mal Kernwerte definiert, die Du irgendwann aufstocken wolltest, bisher habe ich aber nur zwei Aufstockungen gesehen? Sorry, dass ich Dich jetzt auch noch damit belästige, aber mir scheint, hier liegt nach wie vor Verbesserungspotential und die Zeit ist reif, dass Dein Depot erwachsen wird.

 

ich hatte in den letzten Tagen viel Zeit, um mir intensiv Gedanken über mein Depot zu machen. Dabei habe ich die Aktien identifiziert, von denen ich langfristig soweit überzeugt bin, dass ich bei einer Kursschwäche nachkaufen würde. Außerdem habe ich Alarmwerte definiert (was gar nicht einfach war!). Diese Aktien werden mein Kerndepot bilden, dass ich Stück für Stück mit der Zeit immer weiter aufstocken werde. Es handelt sich um folgende 8 Aktien:

 

post-23911-0-14495400-1373916046_thumb.jpg

 

Wie man gut erkennen kann, handelt es sich um Dividendenaktien. Die anderen Aktien werde ich noch ein Weilchen im Depot behalten und weiter beobachten, aber bis auf weiteres nicht aufstocken.

 

Damit habe ich den ersten Teil meiner Watchlist abgearbeitet. Der nächste Schritt für die nächsten Wochen wird sein, die 12-17 Aktien zu identifizieren, die irgendwann noch in mein Kerndepot kommen sollen. Dann habe ich 20-25 Kernaktien auf meiner Watchlist. Und dann heißt es warten, wie ein Scharfschütze auf sein Ziel. Wird die Cash-Quote zu hoch ("zu hoch" muss noch definiert werden), dann werde ich eine Position bei einem der Werte aufbauen, der am nahesten bei meinem Ziel liegt. Ansonsten werde ich auf den nächsten Crash warten - auch wenn der erst in ein paar Jahren kommt.

Überspitzt formuliert sehe ich hier eine Mischung aus Sammelleidenschaft und Ungeduld, die Dich von Deinen Ursprungsplänen abweichen lässt. Wenn Du in dem Tempo weiter machst, wird Dein Rechercheaufwand Dir irgendwann über den Kopf wachsen. Sorry für die kritischen Töne, aber ich denke gerade dafür bist Du auch hier. In das Thema Aktienanalyse hast Du Dich offensichtlich gut eingearbeitet und es macht Dir Spaß, was ja nicht schlecht ist. Ich empfehle Dir dennoch Dich kritisch mit Deiner Vorgehensweise auseinander zu setzen. Deine Pläne und Deine Handlungen stimmen nicht überein. Erfolg an der Börse kommt nicht zuletzt durch Disziplin und Einhaltung von Regeln. Regeln sollte man nur mit sehr guter rationaler Begründung brechen. Wenn der Bauch übers Hirn regiert, geht es irgendwann schief.

 

Was mich vielmehr ärgert, ist, dass ich bei Kursrückgängen nicht zugeschlagen habe. Vielleicht sollte ich eine generelle Regel einführen: Geht der Kurs um 20% zurück, wird nachgekauft!

Der Ansatz ist noch etwas zu einfach, dennoch ein wichtiges Thema, dem Du bisher zu wenig Aufmerksamkeit schenkst. Rücksetzer an der Börse sind die Chance, Kernivestments aufzustocken oder Neuinvestments zu tätigen, die sich in der Pipeline befinden. Du bist letztes Jahr mit ca. 40 % Cash gestartet, jetzt sind es noch knapp 30 %, wobei Du insbesondere im Januar verstärkt zugeschlagen hast. Hast Du mittlerweile einen Plan bezüglich Deiner Asset Allocation? Angesichts der aktuell doch eher überbewerteten Märkte, möchtest Du die Cash Quote weiter absenken? Neben der Auswahl der Einzeltitel ist eine vernünftiges Portfoliomanagement in Verbindung mit einem Risikomanagement meiner Einschätzung nach ein wichtiger Punkt in der langfristigen Planung eines Depots. Hinzu kommt, dass man unter Berücksichtigung des Börsenzyklus und antizyklischem Verhalten die Rendite bei reduziertem Risiko nach oben treibt. Insbesondere hier hat man gegenüber Fondsmanagern einen erheblichen Vorteil, weil die in aller Regel nur entscheiden können, wo sie das Geld hinschieben aber nicht, ob sie es investieren.

 

Statt der Gewichtung nach Währung würde ich eher eine nach Branchen machen. Bei international tätigen Konzernen gibt die Währungsaufschlüsselung kaum sinnvolle Hinweise.

 

Mein Tipp insgesamt, etwas weniger Bücher zum Thema Kennzahlenanalyse, dafür etwas mehr Lektüre im Bereich Behavioral Finance und Portfoliomanagement zur Abrundung Deiner Kenntnisse.

 

Trotz meiner Kritik, ich denke Du bist auf einem sehr guten Weg!

Diesen Beitrag teilen


Link zum Beitrag
Dandy

 

 

Mein Tipp insgesamt, etwas weniger Bücher zum Thema Kennzahlenanalyse, dafür etwas mehr Lektüre im Bereich Behavioral Finance und Portfoliomanagement zur Abrundung Deiner Kenntnisse.

Kannst Du Vorschläge machen?

 

 

 

Diesen Beitrag teilen


Link zum Beitrag
Sapine

Leider nicht - ich habe mir das meiste unsystematisch angeeignet aus Presse und Internet.

Diesen Beitrag teilen


Link zum Beitrag
Schlaftablette
· bearbeitet von Schlaftablette

Zuerst eine gute Nachricht, bevor ich Schinderhannes und Sapine antworte:

 

General Mills hat die erste Dividende des Jahres bezahlt:

insgesamt 7,07€

 

Dein Depot habe ich immer im Auge, da Du ja sehr ähnlich handelst wie ich.

Die beiden genannten CL und RB sind meine Wunschkandidaten, aber sind m.E. doch recht ordentlich bewertet derzeit.

 

Denkst Du auch darüber nach bei einigen Werten aufzustocken ?

Von den bestehenden Positionen kann man m.E. derzeit Nestle, Coca Cola, IBM und McDonalds ohne Bauchschmerzen zukaufen.

 

Das Lob gebe ich gerne zurück! Die Diskussionen in deinem Thread (ebenso bei Tutti, Dividendensau und anderen) haben mich massiv beeinflusst.

CL und RB will ich auf jeden Fall in meinem Depot haben, aber etwas zurückkommen sollten die Kurse schon noch.

Was die anderen Positionen angeht (Nestle, Coca Cola, IBM und McDonalds): Bei MCD hab ich über einen Nachkauf nachgedacht, aber dann lieber neue Positionen aufgebaut. Vielleicht kommt MCD noch etwas runter.

 

 

Hallo Schlaftablette,

 

auch wenn es für uns schön ist, wenn Du viele Positionen kaufst, weil es dann viel zu sehen und zu diskutieren gibt, sinnvoll ist es eigentlich nicht derart kleinteilig vorzugehen. Neben den Kaufgebühren musst Du eigentlich auch die Verkaufsgebühren einrechnen, sofern es kein Kerninvestment ist. Dein ursprünglicher Plan waren 20 - 30 Positionen zwischen 1000 und 2000 Euro. Jetzt hast Du 20 Positionen im Depot und nicht eine einzige war höher als 1000 Euro. Bei Positionen von 2000 Euro kostet es rund die Hälfte. Wenn Du jetzt nur 5000 Euro im Jahr investieren könntest, würde ich den Ansatz verstehen und sagen ok, geht nicht anders auch in der Anfangsphase als noch wenig Aktien im Depot waren, kann ich es nachvollziehen von wegen Ungeduld. Aber wer zwingt Dich denn, jetzt noch jeden Monat 1-2 Aktien zu kaufen? Weniger ist da meiner Meinung nach mehr oder wie es so schön heißt im Einkauf liegt der Gewinn. Wie willst Du weiter vorgehen, wenn Du bei 30 Positionen angekommen bist? Im Juni hattest Du mal Kernwerte definiert, die Du irgendwann aufstocken wolltest, bisher habe ich aber nur zwei Aufstockungen gesehen? Sorry, dass ich Dich jetzt auch noch damit belästige, aber mir scheint, hier liegt nach wie vor Verbesserungspotential und die Zeit ist reif, dass Dein Depot erwachsen wird.

 

 

Hallo Sapine,

 

erstmal vielen Dank für dein kritischen Post, ich werde ihn mal Stück für Stück kommentieren.

 

Momentan besteht mein Depot aus 20 Positionen. 15 davon will ich sehr langfristig halten (also quasi Kerndepot). Bei den anderen 5 handelt es sich

2G Energy

Mobotics

Eon

RWE

Tesco.

Diese hatte ich gekauft, bevor ich mir intensiv Gedanken über meine Depot-Struktur gemacht habe.

 

Bei Mobotics neige ich dazu, die in mein langfristiges Depot aufzunehmen. Aber dazu beobachte ich das Unternehmen weiter. Ebenso bei 2G Energy. Eon und RWE werden mittelfristig rausfliegen. Und Tesco muss sich beweisen, sonst sind die auch raus.

 

Bei den langfristigen Positionen sind Verkäufe erstmal nicht vorgesehen. Insofern sind die Kosten dafür nicht relevant. Was deine Aussage angeht (Jetzt hast Du 20 Positionen im Depot und nicht eine einzige war höher als 1000 Euro), so muss ich dich korrigieren: Alle Positionen seit Mai 2013 sind knapp über 1000 € gewesen. Der letzte Nachkauf (Cochlear) war sogar bei 1179€. Die nähere Zukunft wird eher in RIchtung 1500€ gehen, weil auch meine Cashflows in den nächsten Monaten deutlich stärker ausfallen werden. Weiter habe ich mirerst diese Woche die Kostenstruktur meiner Bank im Detail angesehen. Die Ergebnisse möchte ich aber lieber im entsprechenden Thread der Bank posten.

 

Überspitzt formuliert sehe ich hier eine Mischung aus Sammelleidenschaft und Ungeduld, die Dich von Deinen Ursprungsplänen abweichen lässt. Wenn Du in dem Tempo weiter machst, wird Dein Rechercheaufwand Dir irgendwann über den Kopf wachsen. Sorry für die kritischen Töne, aber ich denke gerade dafür bist Du auch hier. In das Thema Aktienanalyse hast Du Dich offensichtlich gut eingearbeitet und es macht Dir Spaß, was ja nicht schlecht ist. Ich empfehle Dir dennoch Dich kritisch mit Deiner Vorgehensweise auseinander zu setzen. Deine Pläne und Deine Handlungen stimmen nicht überein. Erfolg an der Börse kommt nicht zuletzt durch Disziplin und Einhaltung von Regeln. Regeln sollte man nur mit sehr guter rationaler Begründung brechen. Wenn der Bauch übers Hirn regiert, geht es irgendwann schief.

 

Das mit der "Sammelleidenschaft", da hast du den Nagel auf den Kopf getroffen. Am liebsten hätte ich mein Cash noch heute für Aktien ausgegeben. Heute habe ich mir die Kellogs-Aktie angesehen. Die notiert ja auf dem 52-W Tief. Da juckt es mich in den Fingern. Von meinen Ursprungsplänen bin ich aber trotzdem nicht wesentlich abgewichen. Alle Aktien (bis auf eine Ausnahme), die ich seitdem gekauft habe, sind schon in diesem Post enthalten. Wobei meine Watchlist davon nicht alle Werte enthält. Ich glaube schon, dass meine Reise mich in Richtung 25-30 Werte führt. Und den Recherceaufwand halte ich für überschaubar. Ehrlich gesagt: Wenn ich mich erstmal für ein Unternehmen entschieden habe, dann bin ich auch bereit, Geduld mitzubringen. Ein schlechtes Jahr wirft mich nicht gleich aus der Bahn. Und Quartalsberichte interessieren mich im Grunde gar nicht.

 

Der Ansatz ist noch etwas zu einfach, dennoch ein wichtiges Thema, dem Du bisher zu wenig Aufmerksamkeit schenkst. Rücksetzer an der Börse sind die Chance, Kernivestments aufzustocken oder Neuinvestments zu tätigen, die sich in der Pipeline befinden. Du bist letztes Jahr mit ca. 40 % Cash gestartet, jetzt sind es noch knapp 30 %, wobei Du insbesondere im Januar verstärkt zugeschlagen hast. Hast Du mittlerweile einen Plan bezüglich Deiner Asset Allocation? Angesichts der aktuell doch eher überbewerteten Märkte, möchtest Du die Cash Quote weiter absenken? Neben der Auswahl der Einzeltitel ist eine vernünftiges Portfoliomanagement in Verbindung mit einem Risikomanagement meiner Einschätzung nach ein wichtiger Punkt in der langfristigen Planung eines Depots. Hinzu kommt, dass man unter Berücksichtigung des Börsenzyklus und antizyklischem Verhalten die Rendite bei reduziertem Risiko nach oben treibt. Insbesondere hier hat man gegenüber Fondsmanagern einen erheblichen Vorteil, weil die in aller Regel nur entscheiden können, wo sie das Geld hinschieben aber nicht, ob sie es investieren.

 

Ich würde der aktuellen Cash-Quote (29%) nicht zuviel Bedeutung beimessen, denn sie hängt stark von den Cash-Flows ab. Mein Depot hat momentan ein Volumen von ca. 32.000 €. Davon sind ca. 9.500 € Cash. Meine monatlichen Cash-Flows werden sich auf ca. 2.000 € belaufen. Falls ich also demnächst 2 Monate lang nicht investiere, dann bin ich wieder bei 37% Cash. Was meine Asset-Allocation angeht: Das was du hier siehts ist momentan alles. D.h. ein Aktiendepot mit ca. 30-40% Cash. Alles, was nicht für den Lebensunterhalt benötigt wird, wandert Monat für Monat in dieses Aktiendepot. Die Cash-Quote ist nur dafür da, mich im Fall eines Crashs ruhig schlafen zu lassen. Bzw. damit ich mich über niedrige Kurse freuen kann. In so einem Fall (Lehman 2.0) wird die Cash-Quote auch bei 0% landen.

 

Ansonsten habe ich noch ein separates TG-Konto mit Notgroschen. Dieses reicht für ca. 6-8 Monate und wird in den nächsten 2 Jahren langsam auf 12 Monate erweitert.

 

Im Moment denke ich ausserdem recht intensiv über ein Anleihen-Depot nach. Hintergrund: Ich möchte mir etwas finanziellen Spielraum für das Jahr 2018 schaffen. Dazu stehen in den nächsten 36 Monaten 1.500 € / Monat zur Verfügung. Also in Summe ca. 54.000 €. Dieses möchte ich wenigstens geringfügig verzinst haben. Ich dachte da an €-Unternehmensanleihen guter Bonität (also ca. 2-3%), um die Inflation zumindest zum Teil auszugleichen. Dazu werde ich aber in den nächsten Monaten einen separaten Thread eröffnen. Der Verwendungszweck für dieses Geld ist noch nicht klar. Es kann sich z.B. um den Eigenkapitalanteil für eine selbstgenutzte Immobilie handeln. Oder um Startkapital für eine Selbstständigkeit. Das muss sich aber erst noch zeigen.

 

Statt der Gewichtung nach Währung würde ich eher eine nach Branchen machen. Bei international tätigen Konzernen gibt die Währungsaufschlüsselung kaum sinnvolle Hinweise.

 

Mein Tipp insgesamt, etwas weniger Bücher zum Thema Kennzahlenanalyse, dafür etwas mehr Lektüre im Bereich Behavioral Finance und Portfoliomanagement zur Abrundung Deiner Kenntnisse.

 

Trotz meiner Kritik, ich denke Du bist auf einem sehr guten Weg!

 

Die Währungsgewichtung ist mir eher deshalb wichtig, weil das auch gewissermaßen das Rechtssystem eines Wirtschaftsraumes wiederspiegelt. Z.B. haben sich deutsche und amerikanische Stromkonzerne deutlich unterschiedlich zueinander entwickelt.

Diesen Beitrag teilen


Link zum Beitrag
Sapine

Nachtrag zur Frage nach Lesestoff:

Es gibt eine Reihe schöner Veröffentlichungen bei Allianz Global Investors. Leider schrauben die seit ein paar Tagen an ihrem Internetauftritt und die entsprechende Suchmaske kann man derzeit nicht aufrufen. Ich will versuchen ein paar Links zusammen zu stellen, vielleicht in einem eigenen Faden. Eine Übersicht zu einigen Veröffentlichungen kann man auf Seite 3 vom Kapitalmarktbrief finden. Die sind denke ich alle als pdf verfügbar.

 

 

Natürlich ändern sich Pläne und Strategien mit wachsendem Wissen und bei geänderten Verhältnissen. Dagegen ist absolut nichts zu sagen, im Gegenteil, wenn es nicht so wäre wärst Du lernresistent. Es muss nur klar sein, was ist der Plan und warum weiche ich wo ab. Habe ich meinen Plan geändert und wenn ja wie sieht der neue Plan aus. Ob Du nun 1000 Euro oder 1.199 investierst ist für mich Jacke wie Hose. Ich fürchte da habe ich den Punkt nicht deutlich rüber gebracht will aber auch gar nicht darauf rumreiten. Es geht mir auch nicht darum, ob Du Kandidaten gekauft hast, die Du schon vor 12 Monaten auf dem Radar hattest. Mir geht es darum, Dir Motive Deines Anlageverhaltens aufzuzeigen, Dich zum Nachdenken bringen, wo Deine Anlageentscheidungen meiner Einschätzung nach weder rational begründet sind noch konsequent gemäß deiner eigenen Planung ablaufen. Ein wenig kommst Du mir im Moment vor wie ein Kind was beim Anblick vieler schöner Spielzeuge sich nicht entscheiden kann und einfach alle oder doch wenigstens viele nimmt (gibt übrigens weitaus schlimmere Fehler, die Anleger begehen könnten). Aber Du hast natürlich auch recht, wenn Du sagst, Du bist nicht wesentlich abgewichen von Deinen Plänen. Ordergrößen von 1500 Euro sind zweifellos ein Schritt in die richtige Richtung und zwingen Dich zu Entscheidungen statt einfach mehrere Aktien zu nehmen.

 

Mir macht nicht die aktuelle Cash-Quote Sorgen sondern die Tatsache, dass sie in Deinen Überlegungen kaum vorkommt. Praktisch ist es einfacher, Aktien- und Anleihendepot getrennt zu führen. Bei isolierten Entscheidungen innerhalb der beiden auch mental getrennten Depots (Stichwort mental accounting) verschenkst Du nicht nur Rendite. Die allermeisten Untersuchungen sind sich einig, dass Rebalancing zwischen Anlageklassen eine Zusatzrendite erwirtschaftet je nach Untersuchung und Assetklassen von etwa 0,5 bis 1 Prozent. Die Ursache könnte im antizyklischen Verhalten und dem Ausnutzen von nicht korrelierten Wertentwicklungen liegen. Deutlich grundlegender als die verschenkte Zusatzrendite ist jedoch, dass man je nach Struktur des Depots, Risiko in unterschiedlichem Ausmaß eingeht. Mir ist es an dieser Stelle in erster Linie wichtig, dass Du Dir über solche Dinge Gedanken machst, weil ich keine Ansätze erkennen konnte, dass dies bei Deinen Anlageentscheidungen eine nennenswerte Rolle spielt.

 

Aber letztendlich - wie gesagt - Du bist auf einem sehr guten Weg.

Diesen Beitrag teilen


Link zum Beitrag
Schlaftablette
· bearbeitet von Schlaftablette

Monatsabschluss meines Aktiendepots für Februar 2014, aufgrund der Arbeitsbelastung etwas verspätet:

 

Zukäufe:

Keine

 

Verkäufe:

Keine

 

Dividenden:

03.02.2014: General Mills - 7,07 €

14.02.2014: Clorox - 6,60 €

 

Dividendenziel: 1.000 € p.a.

erhaltene Dividenden 2014: 13,67 € (nach Steuern)

Sonstiges:

Cash-Zuflüsse i.H.v. 1.500,00 €

 

post-23911-0-30091000-1394318462_thumb.jpg

post-23911-0-03750200-1394318473_thumb.jpg

post-23911-0-56863600-1394318489_thumb.jpg

post-23911-0-16111100-1394318496_thumb.jpg

 

Bei Durchsicht meiner Watchlist ist mir das Unternehmen Elekta aufgefallen. Der Kurs befindet sich nahe des 52-W-Tiefs und hat in der Spitze ca. 30% verloren. Grund ist u.a. ein revidierter "financial Outlook" für dieses Jahr. Die Schwellenländerkrise zeigt ihr Gesicht. Ich finde es momentan sehr verlockend. Allerdings hätte ich lieber einen Kurs unter 9€. Die Frage ist, ob es noch weiter runtergeht, oder ob es das war. Wenn unsere Chartis einen Blick draufwerfen und mir Ihre Meinung sagen könnten, wäre ich sehr dankbar. Vielleicht Toni oder Sthenelos? Oder Sonstwer?

WKN: 896279 / ISIN: SE00001636288

Hier der Chart:

post-23911-0-89935400-1394319189_thumb.jpg

Diesen Beitrag teilen


Link zum Beitrag
Laser12

Moin,

 

in der ISIN SE00001636288 ist die letzte 8 zuviel. :)

Diesen Beitrag teilen


Link zum Beitrag
Sapine

Es geht beim Rückgang der Zahlen nicht nur um Sondereffekte durch Emerging Markets. Wie wichtig das Gamma Knife ist solltest Du zusätzlich bewerten.

 

The third quarter was significantly impacted by lower than expected delivery volumes of Leksell Gamma Knife. In addition, weaker currencies, particularly in some emerging markets, have affected purchasing power and volumes.

 

...

 

Adjusted outlook for the year Due to lower-than-expected delivery volumes of Leksell Gamma Knife and delays in expected deliveries to emerging markets, the outlook for the full year has been revised.

http://www.4-traders.com/ELEKTA-PUBL-AB-6491415/news/Elekta-publ-AB--Elekta-announces-preliminary-results-for-third-quarter-and-revised-outlook-for-fisc-17981950/

 

Bei den vegleichsweise dünnen Umsätzen wäre ich vorsichtig mit Aussagen aus dem Kursverlauf, aber ein Spezialist bin ich da wahrlich nicht.

Diesen Beitrag teilen


Link zum Beitrag
Schlaftablette
· bearbeitet von Schlaftablette

@ Sapine: danke für die Klarstellung, ich war gestern nur etwas schreibfaul. Daher die verkürzte Erklärung.

 

Anderes Unglück: beim Arbeiten heute habe ich durch eine Ruckartige Bewegung den USB-Stick mit meinen Finanzdaten abgeknickt. Danach konnte ich nicht wieder an die Daten. Alles Probieren und reparieren hat nichts mehr gebracht. Windows hat den externen Speicher nicht mehr erkannt.

 

Meine letzte Sicherheitskopie war 6 Wochen alt. Zum Glück hab ich die letzten 3 Wochen fast keine Zeit für mein Hobby gehabt. Trotzdem ist das ärgerlich. Das wird mir eine Lehre sein.

Diesen Beitrag teilen


Link zum Beitrag
Sthenelos
· bearbeitet von Sthenelos

Hier wie bestellt wer der Chart und eine Interpretation ;)

 

Problem ist, bekomme im Chartingprogramm nur den Dollarchart ADR, auch den Nordic Exchange habe ich keinen Zugriff. Aber er passt trotzdem halbwegs.

 

1. Chart und Trend

unsauberer Trendverlauf, Trendkanal wurde nach oben durchbrochen, dann fiel er aber zurück auf die untere Linie.

Der Abwärtstrend ist intakt, einen richtigen Trendkanal gibt es nicht weil die obere Linie fehlt.

SMA / EMA 20, 38, 100, 200, alle wichtigen sind durch, Schwäche, kurzfristig haben sich ein paar gekreuzt bei der Gegenbewegung.

 

2. Indikatoren

MACD, Stocha, Momentum, Rsi sind alle im überverkauften Bereich (daily) angekommen und der Abgabedruck nach unten scheint nicht

mehr groß zu sein, das deckt sich mit den Indikatoren und dem Chartverlauf. Deutliche Kaufsignale sehe ich kurzfristig nicht, positiv könnte man

werten, dass die Stocha ein Mini K Signal generiert und das Momentum nicht mehr weiter fällt. Nach diesem heftigen Abverkauf scheint mir ein großer

Upmove demnächst aber zu früh, das dürfte sich m.E. technisch erstmal noch 1-2 Wo. auskotzen, viel tiefer als jetzt sollte sich technisch gesehen aber

nicht mehr fallen können/dürfen.

 

Favorisiertes technisches Szenario wäre für mich nochmal den Boden testen aber oberhalb davon schliessen, 1-2 Wochen hin und her, dann up zur

ca. SMA38. Technisch bleibt sie aber schwach, Trendfolgende Indikatoren haben in diesem Fall (Abwärtstrend) eine hohe Fehlerquote und funktionieren

umgekehrt, also short, besser.

 

Ein interessanter Wert, werde den mal auf die Watchliste packen und lesen was die machen.

post-15786-0-17455500-1394533874_thumb.png

post-15786-0-85635700-1394533880_thumb.png

Diesen Beitrag teilen


Link zum Beitrag
Schlaftablette
· bearbeitet von Schlaftablette

Zuerst mal vielen Dank an Toni und Sthenelos fuer eure Einschaetzungen. Am Ende hab ich die Finger von dem Wert gelassen. KGV von 24 war mir immer noch etwas zu teuer. Ist die Frage, ob man Medizintechnik jemals unter KGV 20 bekommt (ausser in Baerenmaerkten).

 

 

 

 

Monatsabschluss meines Aktiendepots für Maerz 2014:

 

Zukäufe:

145 Stk. Mobotix fuer 2106,94 EUR (macht ca. 15,53 EUR je Stueck inkl. Gebuehren)

 

Ich sehe die Zukunft des Unternehmens positiv: Neue Produkte, neue Maerkte (USA), im letzten GB wird fuer 2014 ein Wachstum von 10% erwartet.

 

Weiterhin finde ich es momentan schwierig, gute Unternehmen zu finden, in die ich investieren sollte. Leider hat die Krim ja nicht fuer einen breiten Markteinbruch getaugt. Schade, mich haette es gefreut (natuerlich wuensche ich mir keinen Krieg, ein bisschen mehr Saebelrasseln haette auch schon gereicht).

 

 

Verkäufe:

Keine

 

Dividenden:

06.03.2014: The Southern Co. - 10,93 €

10.03.2014: IBM - 4,69 €

10.03.2014: Chevron - 7,40 €

17.03.2014: McDonalds - 6,91 €

26.03.2014: BHP Billiton - 19,17 €

27.03.2014: Royal Shell B - 13,02 €

28.03.2014: Cochlear - 34,24 €

31.03.2014: Becton DIckinson - 4,36 €

31.03.2014: Mobotix - 13,75 €

 

Dividendenziel: 1.000 € p.a.

 

Summe im Maerz: 114,47 €; Damit war der Maerz der zweitbeste Monat in meiner Boersianer-Karriere.

erhaltene Dividenden 2014: 128,14 € (nach Steuern)

Sonstiges:

Cash-Zuflüsse i.H.v. 2.000,00 €

 

post-23911-0-81655300-1396760487_thumb.jpg

 

post-23911-0-82771700-1396760512_thumb.jpg

 

post-23911-0-67610300-1396760523_thumb.jpg

 

post-23911-0-60316300-1396760541_thumb.jpg

Diesen Beitrag teilen


Link zum Beitrag
StinkeBär
· bearbeitet von StinkeBär

Seit dem 19. Dezember 2013 notiert MOBOTIX im Frankfurter Freiverkehr!

Trotzdem ein interessanter Wert, nur sollte hier wegen der Forenregeln für unbedarfte Neulinge zumindest darauf hingewiesen werden.

Diesen Beitrag teilen


Link zum Beitrag
Schlaftablette
· bearbeitet von Schlaftablette

@ Stinkebaer: Du hast natuerlich recht, ich hatte meine erste Tranche vor ueber einem Jahr gekauft, da waren die noch im Entry-Standard. Diesmal war es ein Nachkauf, ich denke die Mods haben dafuer verstaendnis.

 

P.S.: Habe im letzten Monatsbericht den Stueckpreis fuer den Mobotix-Nachkauf korrigiert

Diesen Beitrag teilen


Link zum Beitrag
Schlaftablette

Liebe Foristi,

 

ich habe eine schlechte und eine gute Nachricht.

 

Fangen wir mit der schlechten an. Am Freitag Abend bat mich meine Frau per WhatsApp Nachricht, nach der Arbeit noch in den örtlichen Supermarkt reinzuschauen, um etwas Nachschub für unseren Kühlschrank zu beschaffen. Ich dachte, es wird schon nichts passieren, und ließ meinen Rucksack im Auto. Der Parkplatz war ja bewacht. Als ich zurückkam, war das Auto aufgebrochen und ausgeraubt. Meine Tasche samt Laptop war weg. Leider hatte ich ausgerechnet an dem Tag meine externe Platte mit zur Arbeit genommen. Aufgrund meiner momentanen >80-Stunden-Woche (heiße Inbetriebnahme-Phase einer Mahlanlage) hatte ich zuhause keine Zeit, eine Sicherheitskopie zu ziehen, das wollte ich auf der Arbeit parallel erledigen. Während ich für mein Depot eine letzte Kopie vom 01.02.2014 auf meinem privaten Laptop habe, sind alle meine dienstlichen Daten weg. Die werde ich mühsam neu zusammentragen müssen. Das ganze hat mich emotional ziemlich mitgenommen, ich habe 2 Tage gebraucht, um mich einigermaßen zu fangen. Aber jetzt geht es weiter. Wie heißt es im "Kölschen Jrundjesetz": Et is, wie et is! Heißt für euch: Ihr werdet euch noch ein paar Tage gedulden müssen für ein Depot-Update, da ich mein Excel-Sheet wieder auf meinen aktuellen Stand bringen muss.

 

Nun zu den guten Nachrichten, die mich hoffentlich langfristig viel mehr erfreuen werden als die schlechten mich ärgern könnten: Nachdem der April abgeschlossen ist, haben meine Frau und ich alle wesentlichen größeren Einkäufe aus dem Cash-Flow seit Januar bezahlt: Ein gebrauchtes Auto für sie, ein Bett, Möbel, ein Flugticket für sie für den Sommerurlaub in Deutschland etc. Zudem haben wir etwa 7.000€ in unser Depot packen können. Als ich Ende 2012 unsere langfristige Planung fürs Depot erstellt habe, habe ich damit gerechnet, jedes Jahr ca. 10.000 € ins Aktiendepot packen zu können. Wir sind 2012 mit ca. 10.000 € gestartet. in 2013 kamen 18.000 € dazu. Heute rechne ich damit, das wir 2014, 2015 und 2016 im konservativen Fall jeweils 30.000 p.a. sparen können, und im besten Fall sogar 40.000€. D.h. wenn wir 2016 nach Deutschland zurückkehren, dann wird unser Depot einen Buchwert von 125.000 - 150.000 € aufweisen. Ich hätte mir Ende 2012 nie vorstellen können, dass das so schnell gehen könnte. Wenn wir in der Zwischenzeit einigermaßen normale Marktzustände haben, mit nicht allzuhohen Bewertungen, und vielleicht noch eine größere Korrektur, dann könnte unser passives Einkommen aus Dividenden bis Ende 2016 bei ca. 4.000 - 5.000 € p.a. liegen.

 

Ich vermute, dass ich mich 2016 über die gute Nachricht deutlich mehr freuen, als ich mich über die schlechte ärgern werde. Also dann: Lebbe geht weiter!

Diesen Beitrag teilen


Link zum Beitrag
Trauerschwan

Liebe Foristi,

 

ich habe eine schlechte und eine gute Nachricht.

 

Fangen wir mit der schlechten an. Am Freitag Abend bat mich meine Frau per WhatsApp Nachricht, nach der Arbeit noch in den örtlichen Supermarkt reinzuschauen, um etwas Nachschub für unseren Kühlschrank zu beschaffen. Ich dachte, es wird schon nichts passieren, und ließ meinen Rucksack im Auto. Der Parkplatz war ja bewacht. Als ich zurückkam, war das Auto aufgebrochen und ausgeraubt. Meine Tasche samt Laptop war weg. Leider hatte ich ausgerechnet an dem Tag meine externe Platte mit zur Arbeit genommen. Aufgrund meiner momentanen >80-Stunden-Woche (heiße Inbetriebnahme-Phase einer Mahlanlage) hatte ich zuhause keine Zeit, eine Sicherheitskopie zu ziehen, das wollte ich auf der Arbeit parallel erledigen. Während ich für mein Depot eine letzte Kopie vom 01.02.2014 auf meinem privaten Laptop habe, sind alle meine dienstlichen Daten weg. Die werde ich mühsam neu zusammentragen müssen. Das ganze hat mich emotional ziemlich mitgenommen, ich habe 2 Tage gebraucht, um mich einigermaßen zu fangen. Aber jetzt geht es weiter. Wie heißt es im "Kölschen Jrundjesetz": Et is, wie et is! Heißt für euch: Ihr werdet euch noch ein paar Tage gedulden müssen für ein Depot-Update, da ich mein Excel-Sheet wieder auf meinen aktuellen Stand bringen muss.

 

Das ist mal echt eine miese Nachricht crying.gif

 

Lass dir ruhig Zeit mit deinem Depot-Update. Ist schließlich nicht so wichtig.

 

Bzgl. der Festplatte: Vielleicht hilft ein Aushang am Supermarkt mit einem relativ hohen Finderlohn. Eine normale Festplatte kostet ja nicht so viel und wenn du draufschreibst, dass dort wichtige, private Dinge (Fotos etc.) drauf sind, dann bringt dir die vielleicht jemand zurück, um das Extra-Geld einzusacken.

Diesen Beitrag teilen


Link zum Beitrag
Schildkröte

Bzgl. der Festplatte: Vielleicht hilft ein Aushang am Supermarkt mit einem relativ hohen Finderlohn. Eine normale Festplatte kostet ja nicht so viel und wenn du draufschreibst, dass dort wichtige, private Dinge (Fotos etc.) drauf sind, dann bringt dir die vielleicht jemand zurück, um das Extra-Geld einzusacken.

Hm, aus Sicht des Diebes wäre ich da eher skeptisch. Im Idealfall lauert die Polizei während der Geldübergabe auf mich... Hast du bei deinem Arbeitgeber Ärger deswegen bekommen? Im schlimmsten Fall landen die Daten bei der Konkurrenz... Aber der Ausblick für die künftige Entwicklung deines Depots freut mich für dich! thumbsup.gif

Diesen Beitrag teilen


Link zum Beitrag
Schlaftablette

Das Glück ist mit den Dummen!

 

Unsere IT konnte den Laptop gestern lokalisieren. Vermutlich per GPS. Ausserdem konnten die Jungs ein Foto vom User per Webcam machen. Ich durfte die Carabineros bei der Fahndung begleiten. Ein 18-jähriger wurde aufgegriffen, er gab sofort zu, dass er den Laptop hatte. Ein Freund habe ihm den geschenkt. Er konnte uns Name und Adresse liefern. Alle gelöschten Daten konnte ich aus dem Papierkorb wiederherstellen. Pass und externe Festplatte bleiben weiterhin verschwunden, aber daß dürfte sich die nächsten Tage aufklären.

 

Der Laptop enthielt komplette Konstruktions- und Entwicklungsunterlagen für eine Maschine, mit der wir ca. 50-100 Mio. € im Jahr im Neukundengeschäft umsetzen, und ca. 30-50 Mio. im Service. Ich denke, der Wettbewerb würde dafür einen 7-stelligen Betrag zahlen. Man muss allerdings Branchenkenner sein, da es weltweit nur ein halbes Dutzend Anbieter gibt, es ist ein Nischenprodukt.

 

Chilenische Kollegen, Bekannte und Freunde kriegen große Augen ob meines Glücks, wenn ich die Geschichte erzähle.

Diesen Beitrag teilen


Link zum Beitrag
Trauerschwan

Gratuliere :w00t::D B) :thumbsup:

 

Drück dir die Daumen, dass der Rest auch bald wieder auftaucht. Aber schon geil, den Typen via eigene Webcam zu fotografieren. Liest sich alles wie bei "Staatsfeind Nr. 1" ^_^

Diesen Beitrag teilen


Link zum Beitrag
Kaffeetasse

Der Wahnsinn, @Schlafi... :w00t:

Schön, dass es so gut ausgegangen ist.

 

Nun wieder zu den Aktien bzw. absehbaren kräftigen Kapitalzuflüssen. Hast du dir schon ein paar Gedanken gemacht, worin die Mittel grob gelenkt werden sollen?

Konkret: Was gedenkst du zu kaufen?

 

Grüße,

la taza de cafe ;)

Diesen Beitrag teilen


Link zum Beitrag

Erstelle ein Benutzerkonto oder melde dich an, um zu kommentieren

Du musst ein Benutzerkonto haben, um einen Kommentar verfassen zu können

Benutzerkonto erstellen

Neues Benutzerkonto für unsere Community erstellen. Es ist einfach!

Neues Benutzerkonto erstellen

Anmelden

Du hast bereits ein Benutzerkonto? Melde dich hier an.

Jetzt anmelden

×
×
  • Neu erstellen...