Zum Inhalt springen
Glory_Days

Offensiv/Defensiv-Portfolio

Empfohlene Beiträge

Glory_Days
· bearbeitet von Glory_Days
Am 30.1.2023 um 00:49 von Glory_Days:

Anhand dieser geometrischen Darstellung ist auch ersichtlich, weshalb viele sehr gut diversifizierte Portfolien vergleichsweise schlecht performen: Wenn die Absenkung der Volatilität zu stark zu Lasten (der Länge) des arithmetischen Returns geht, dann vermindert sich auch der geometrische Return/die CAGR in ähnlichem Maße.

Gleichzeitig nimmt aber auch der Nutzen der Volatilitätsabsenkung auf Portfolioebene immer weiter ab, selbst wenn es dem Anleger gelingen würde, die arithmetische Rendite des Portfolios im Zuge dessen konstant zu halten. Im folgenden Graphen sieht man diesen Umstand sehr gut. Einerseits ist dort der Zusammenhang zwischen geometrischer Rendite und Volatilität in reskalierten dimensionslosen Einheiten auf den Primärachsen abgebildet (µ = 1 + Rendite), andererseits zeigen die Sekundärachsen die beispielhaften Zahlen, wenn die (jährliche) arithmetische Rendite 15% beträgt (µ = Rendite).

Würde man bei einer Halbierung der (jährlichen) Volatilität von 40% auf 20% im Beispiel noch 5,43% an geometrischer Rendite gewinnen, so sind es bei einer weiteren Halbierung der Volatilität von 20% auf 10% nur noch 1,32%. Eine hypothetische Absenkung der Volatilität von 10% auf 0% würde die verbliebene Lücke von nur noch 0,44% zum arithmetischen Mittelwert schließen.
 

grafik.png.63a75f43fc3df910b057007154a1490d.png

Diesen Beitrag teilen


Link zum Beitrag
Glory_Days
· bearbeitet von Glory_Days

Der positive Effekt eines gut diversifizierten Portfolios auf das Verhältnis von geometrischem zu arithmetischen Mittelwert zeigt sich bei der Untersuchung langfristiger Zeiträume. Auch wenn wir insgesamt noch relativ wenige Daten zur Verfügung haben, zeigt der Zeitraum 1999 - 2022 eindrucksvoll, dass Diversifikation + Rebalancing gleichzeitig

  • zu einer höheren geometrischen Rendite des Gesamtportfolios führen kann als jede einzelne Portfolio-Komponente
  • zu einer niedrigeren Standardabweichung des Gesamtportfolios führen kann als jede einzelne Portfolio-Komponente
  • zu einem geringeren Max Drawdown des Gesamtportfolios führen kann als jede einzelne Portfolio-Komponente

Im Folgenden die defensive Variante des OD-Portfolios mit US-Tickern, wobei Gold aufgrund der längeren Datenreihe als Proxy für den Rohstoff-Anteil verwendet wurde:

 

grafik.thumb.png.f488eda1a4a3523701f999ebbe0247b6.png

 

Die Absenkung der Volatilität des Portfolios wird hier durch zweierlei Punkte erreicht: Einerseits fällt die gewichtete Summe der Standardabweichungen der Komponenten mit 16,98% relativ gering aus (die gewichtete Summe stellt bei jährlichem Rebalancing die obere Grenze der Portfolio-Volatilität im Falle perfekter Korrelation aller Komponenten-Jahresrenditen dar). Andererseits sorgen die geringen Korrelationen der Jahresrenditen der Komponenten untereinander für eine weitere Absenkung der Volatilität:

 

grafik.png.ffc40420dd1eeb9dfe0a33ad6c7b96bb.png

Diesen Beitrag teilen


Link zum Beitrag
Stoxx

Das ist interessant. Danke, dass Du es mit uns teilst!

 

Wie würden denn die Ergebnisse ausfallen, wenn man 65% MSCI World und 35% Gold miteinander kombinieren würde?

Diesen Beitrag teilen


Link zum Beitrag
Glory_Days
· bearbeitet von Glory_Days
vor 6 Stunden von Stoxx:

Wie würden denn die Ergebnisse ausfallen, wenn man 65% MSCI World und 35% Gold miteinander kombinieren würde?

Mit den auf Wikipedia angegebenen Total Annual Returns (Brutto) ergibt sich seit Auflage des MSCI Worlds am 31.12.1969 (100 Punkte) für ein jährlich rebalanciertes Portfolio bestehend aus 65% MSCI World + 35% Gold folgendes Bild in USD:

 

grafik.thumb.png.fbf0edf60dd970e32d5b37330832cb9d.png

 

grafik.png.f1493a0b21a19415b5435e0560d11236.png

 

Alle oben getroffenen Aussagen treffen also auch auf dieses Portfolio zu (höhere absolute geometrische Rendite, niedrigere Standardabweichung und niedrigerer Max Drawdown als jede einzelne Portfolio-Komponente). Bei den angegebenen Werten wie Volatilität (Stdev), Downside-Risk (Sd), Max Drawdown und Korrelation handelt es sich natürlich um Größen, die aus jährlichen Renditen berechnet wurden (nicht zu verwechseln mit der annualisierten Volatilität bzw. Semi-Deviation oder der Korrelation bzw. Max Drawdown berechnet auf Basis täglicher Renditen). Die Größen basierend auf jährlichen Renditen sollten für den langfristigen Anleger aber sowieso die eigentlich relevanten sein.

Was man hier bzw. oben sieht, ist das 'Free Lunch' der Diversifikation - etwas das viele Anleger nicht verstehen (können).

Diesen Beitrag teilen


Link zum Beitrag
Stoxx
· bearbeitet von Stoxx

Vielen Dank!

 

Die Ergebnisse mit dem MSCI ACWI (IMI)  weichen voraussichtlich nur geringfügig von den obrigen ab.

 

Fazit:

(Kleiner) "Free Lunch" mit nur 2 Assets und jährlichem Re-Balancing. Könnte umständlicher gehen...

Diesen Beitrag teilen


Link zum Beitrag
Glory_Days
· bearbeitet von Glory_Days
Am 21.2.2023 um 20:46 von Stoxx:

Fazit:

(Kleiner) "Free Lunch" mit nur 2 Assets und jährlichem Re-Balancing. Könnte umständlicher gehen...

Das ist das verkürzte Fazit with the benefit of hindsight über einen sehr langen Zeitraum (kaum ein Anleger hat einen Anlagehorizont > 50 Jahre). Der größte Vorteil der Diversifikation ist in den Zahlen aber noch gar nicht sichtbar. Es ist die Tatsache, dass damit die Unsicherheit der Zukunft bestmöglich adressiert wird. Anlageentscheidungen müssen immer unter Unsicherheit gefällt werden und müssen damit vor dem Hintergrund der Kosten der Alternativen gesehen werden (d.h. falls sich die Geschichte anders abspielen würde/abgespielt hätte). Und gerade bei kürzeren Zeiträumen (z.B. von 5 Jahren) ist die Schwankung der kumulativen Rendite einer einzelnen Anlageklasse/eines Weltindex enorm (wobei die kumulative Rendite sogar negativ ausfallen kann - die 1.00 ist in der Grafik unten die Nulllinie). Niemand kann mangels Wissen der Zukunft ex-ante wissen, in welchen Zeitraum seine eigene Anlage fallen wird. Diversifkation kann das Risiko von Extremszenarien abschwächen, ohne langfristig viel oder überhaupt an Rendite zu verlieren (siehe oben).

 

grafik.png.800fd9ae323ca15d0fa42d7cbadd469d.png

Diesen Beitrag teilen


Link zum Beitrag
Glory_Days
· bearbeitet von Glory_Days

Der Vollständigkeit halber noch die Varianten des OD-Portfolios mit klassischen Anlageklassen bei jährlichem Rebalancing seit 1970 in USD. Dabei wurde für den Commodity Anteil von 1970-1990 der S&P GSCI TR Index verwendet, für 1991-2000 der Bloomberg Commodity 3 Month Forward TR Index und für 2001-2022 der Barclays Backwardation Tilt Multi-Strategy Capped TR Index. Für die Sektoren wurden die Daten der Fama/French Library herangezogen:

  • OD-Portfolio Defensiv

grafik.thumb.png.c7ee1e9143fe70ee5484a1408a725778.png
 

  • OD-Portfolio Equal Weight

grafik.thumb.png.dc0ed0c22ea1937671d2af1c5ba07591.png

 

  • OD-Portfolio Offensiv

grafik.thumb.png.4fdfae44e51ac03e4255c9c7f0b5e7f2.png

 

  • Korrelationen

grafik.png.65f81269a7325ad851554a93f7e20849.png

Diesen Beitrag teilen


Link zum Beitrag
Glory_Days
· bearbeitet von Glory_Days
Am 21.2.2023 um 22:26 von Glory_Days:

Und gerade bei kürzeren Zeiträumen (z.B. von 5 Jahren) ist die Schwankung der kumulativen Rendite einer einzelnen Anlageklasse/eines Weltindex enorm (wobei die kumulative Rendite sogar negativ ausfallen kann - die 1.00 ist in der Grafik unten die Nulllinie)

Diversifikation vermag es die rollierende Renditekurve auch über kürzere Zeiträume stark zu glätten und verringert damit das potenzielle Shotfall-Risiko enorm. Das sorgt für ein stetigeres Portfoliowachstum, macht es Anlegern leichter einer Strategie treu zu bleiben, bietet mehr Flexibilität falls der geplante Anlagehorizont doch kürzer ist als ursprünglich gedacht und liegt langfristig renditechnisch oftmals mindestens gleichauf mit wesentlich konzentrieren und damit riskanteren Portfolien.

 

grafik.png.be0d0f85dbbe02533c3c0b339021ea25.png

Diesen Beitrag teilen


Link zum Beitrag
Glory_Days
· bearbeitet von Glory_Days
Zitat

Diversification is the guiding principle for prudent investors

Grün: Höchste Jahresrendite, Rot: Niedrigste Jahresrendite
 

grafik.thumb.png.866b8e6010c0d52abcd833c174736913.png

Diesen Beitrag teilen


Link zum Beitrag
Stoxx
· bearbeitet von Stoxx

Danke für die geteilte Übersicht!

 

Könntest Du einmal die Summenformel anwenden und kurz darstellen...

... welcher Sektor / welches Asset zwischen 1970 und 2022 am häufigsten von allen der Jahresbeste / Jahresschlechteste war

... welcher Sektor / welches Asset die am Ende des Jahres höchste Jahresrendite aufwies.

 

Der Utilitie-Sektor müsste an letzter Stelle stehen, an forderster Stelle Tech und Gold.

 

Oder vielleicht fügst Du die Tabelle dem Anhang bei, dann könnte man selbst damit rumspielen.

Diesen Beitrag teilen


Link zum Beitrag
Glory_Days
· bearbeitet von Glory_Days

Die großen Indexanbieter S&P und MSCI passen ihren Global Industry Classification Standard (GICS) zum 17.03.2023 an - dadurch werden einige Unternehmen anderen Sektoren zugeordnet, wodurch sich auch die Gewichtung der einzelnen Sektoren innerhalb von sektorübergreifenden Indizes wie dem S&P 500 leicht verändern wird.

Die größte Veränderung erfährt dabei der Information Technology Sektor, der einige große Namen wie Visa, Mastercard und PayPal aus dem Subsektor Data Processing & Outsourced Services an den neu geschaffenen Subsektor Transaction and Payment Processing Services des Financials Sektors verlieren wird. Das ist insofern etwas bedauernswert, als dass sich die Zahlungsdienstleister Visa und Mastercard auch nicht im Nasdaq-100 wiederfinden und damit insgesamt aus dem Portfolio rausfallen werden.

Hier die Auswirkung der neuen GICS-Struktur im Bezug auf den S&P 500:

 

grafik.thumb.png.0642ed2c928ee80ab9ec0ac4be302735.png

 

grafik.png.369a963ac9b58b6f541a409e14ba0ef1.png

 

Quelle: https://www.ssga.com/de/en_gb/institutional/etfs/insights/2023-gics-changes-companies-impacted-and-what-you-need-to-know

Diesen Beitrag teilen


Link zum Beitrag
Stoxx

Das ist interessant, danke für's mitteilen!

 

Gerade weil Visa und Mastercard im S&P 500 Technology Sector waren (zusammen etwas unter 10% Portfoliogewichtung), fand' ich den Sector als Alternative zum Nasdaq-100 interessant.

Diesen Beitrag teilen


Link zum Beitrag
Glory_Days
· bearbeitet von Glory_Days
vor 17 Stunden von Stoxx:

Könntest Du einmal die Summenformel anwenden und kurz darstellen...

... welcher Sektor / welches Asset zwischen 1970 und 2022 am häufigsten von allen der Jahresbeste / Jahresschlechteste war

... welcher Sektor / welches Asset die am Ende des Jahres höchste Jahresrendite aufwies.

Der Sinn der Diversifikation besteht gerade darin, eben keine Rückschlüsse aus solchen Analysen auf die Zukunft zu ziehen. Es genügt die einfache Erkenntnis, dass die beste und schlechteste Jahresrendite der einzelnen Portfoliokomponenten immer wieder unsystematisch hin und her wechselt (sich farblich also ein chaotisches Gesamtbild ergibt) und es in jedem Jahr mindestens eine oder mehrere positiv rentierliche Komponenten gegeben hat. Das impliziert, dass auch in Zukunft die besten und schlechtesten Jahresrenditen sehr wahrscheinlich nicht sicher vorhergesagt werden können, und jeder Versuch dahingehend zwecklos ist.

Diesen Beitrag teilen


Link zum Beitrag
Stoxx
· bearbeitet von Stoxx

Danke Dir für die Erklärung!

 

vor 4 Stunden von Glory_Days:

Es genügt die einfache Erkenntnis, dass die beste und schlechteste Jahresrendite der einzelnen Portfoliokomponenten immer wieder unsystematisch hin und her wechselt (sich farblich also ein chaotisches Gesamtbild ergibt) und es in jedem Jahr mindestens eine oder mehrere positiv rentierliche Komponenten gegeben hat

Dann wäre doch -für eine 1-ETF-Lösung- der S&P 500 Equal Weight eine gute Alternative. 

Folglich werden ja nicht nur die Unternehmen,  sondern auch die Branchen gleichgewichtet.

 

vor 4 Stunden von Glory_Days:

Das impliziert, dass auch in Zukunft die besten und schlechtesten Jahresrenditen sehr wahrscheinlich nicht sicher vorhergesagt werden können, und jeder Versuch dahingehend zwecklos ist.

Genau, vielleicht sind's zukünftig nicht Utilities, Health Care, Tech & co. sondern Finance, Industry und Automobile.

Dieses Problem würde durch einen Equal Weight ETF gelöst werden.

Diesen Beitrag teilen


Link zum Beitrag
Glory_Days
· bearbeitet von Glory_Days
vor 11 Stunden von Stoxx:

Dann wäre doch -für eine 1-ETF-Lösung- der S&P 500 Equal Weight eine gute Alternative. 

Folglich werden ja nicht nur die Unternehmen,  sondern auch die Branchen gleichgewichtet.

Equal Weight bezieht sich bei diesen Produkten/Indizes lediglich auf die einzelnen Unternehmen - nicht auf die Sektoren. Da nicht alle Sektoren die gleiche Anzahl an Titeln aufweisen, fallen die Sektorgewichtungen im S&P 500 Equal Weight stark unterschiedlich aus. Das ist so gesehen kein vollumfänglicher Equal Weight-Ansatz über Unternehmen und Sektoren hinweg - dieser würde die gleiche Anzahl an Unternehmen in den Sektoren voraussetzen. Ein solches Produkt existiert meines Wissens nach aber nicht - da die Ausgangsmenge des S&P 500 nicht nach Sektorzugehörigkeit getroffen wird, sondern nach Marktkapitalisierung.

Zitat

Genau, vielleicht sind's zukünftig nicht Utilities, Health Care, Tech & co. sondern Finance, Industry und Automobile.

Dieses Problem würde durch einen Equal Weight ETF gelöst werden.

Das ist möglich, allerdings ist das vorliegende Portfolio-Konzept etwas ausgefeilter. Es geht nicht darum, was in einem Jahr die beste Jahresrendite erzielen könnte, sondern um das bestmögliche Zusammenspiel aller Komponenten auf Gesamtportfolio-Ebene. Das bedeutet, dass die Portfolio-Komposition im Zentrum der Überlegungen steht - die einzelnen Komponenten können nur als Ganzes und nicht isoliert betrachtet werden. In meinen Augen ist das auch der einzig legitime Ansatz, da Rendite und Risiko nur auf Gesamtportfolio-Ebene sinnvoll betrachtet werden können.

Diesen Beitrag teilen


Link zum Beitrag
Glory_Days
· bearbeitet von Glory_Days

Das sehr lesenswerte Credit Suisse Global Investment Returns Yearbook 2023 ist seit einigen Wochen verfügbar und widmet sich in diesem Jahr dem Fokusthema Rohstoffe und Inflation.

 

Eine Zusammenfassung der wesentlichen Erkenntnisse findet sich in der Pressemitteilung:

https://www.credit-suisse.com/about-us-news/de/articles/media-releases/credit-suisse-global-investment-returns-yearbook-2023-202302.html

 

Sehenswert ist wie immer auch das Media Conference Replay zum diesjährigen Yearbook:
 

 

Damit geht das Yearbook auch in diesem Jahr wieder auf einen wesentlichen Bestandteil dieses Portfolios ein.

credit-suisse-global-investment-returns-yearbook-2023-summary-edition.pdf

Diesen Beitrag teilen


Link zum Beitrag
Sapine

Mal schauen, ob die sich das nächstes Jahr noch leisten können. 

Diesen Beitrag teilen


Link zum Beitrag
Glory_Days
· bearbeitet von Glory_Days
vor 33 Minuten von Sapine:

Mal schauen, ob die sich das nächstes Jahr noch leisten können. 

Da steckt ohne Zweifel jede Menge an Arbeit drin:

Zitat

Publication details: A4 colour, perfect-bound. 272 pages, 158 charts, 94 tables, 258 references and ISBN 978-3-033-09700-1.

Im Zweifel wird sich in der Finanzbranche sicherlich immer ein Sponsor für diese Veröffentlichung finden lassen - Sorgen hätte ich eher, dass die Autoren irgendwann einmal altersbedingt die Segel streichen. Marsh und Dimson sind wohl bereits 75 bzw. 76 Jahre alt und Staunton könnte Ende 50/Anfang 60 sein.

Diesen Beitrag teilen


Link zum Beitrag
Glory_Days
· bearbeitet von Glory_Days

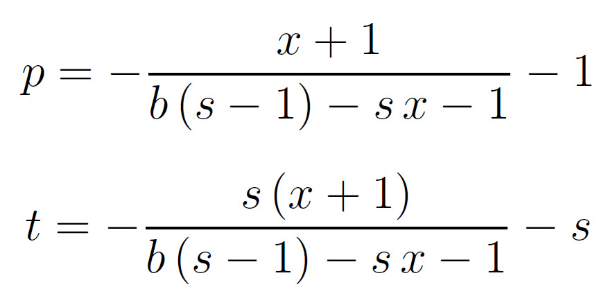
Wer sich näher mit der geometrischen Rendite rebalancierten Porfolio beschäftigt, stellt fest, dass in der Wissenschaft zwei verschiedene Perspektiven existieren. Dabei spielt die Tatsache eine Rolle, dass die geometrische Rendite rebalancierter Portfolien mit statischer, d.h. zeitunabhängiger Zielgewichtung sowohl eine obere als auch eine untere Schranke aufweist. Während ich weiter oben die Betrachtungsweise der oberen Schrank (Reduktion des Arithmetic Returns durch den Volatility Drag) diskutiert hatte, kann auch die Perspektive aus Sicht der unteren Schranke (Erhöhung des sog. Strategic Returns durch den Volatility Return/Rebalancing Bonus) hilfreiche Erkenntnisse liefern.

Diese Perspektive wird im Paper 'Diversification Return, Portfolio Rebalancing, and the Commodity Return Puzzle' von Scott Willenbrock eingehend diskutiert:

[Willenbrock]_Diversification Return, Portfolio Rebalancing.pdf


Im Folgenden die beiden möglichen Betrachtungsweise der geometrischen Portfolio-Rendite mit statischer Zielgewichtung in Form einer oberen Schranke (I) und einer unteren Schranke (II):

Zitat

µ_g = Weighted-Average(Arithmetic Returns of Components) − Volatility Drag                    (I)

µ_g = Weighted-Average(Geometric Returns of Components) + Volatility Return                 (II)

In dieser Schreibweise wird die wunderbare Symmetrie der beiden Perspektiven offenbar:

In (I) subtrahiert man den Volatility Drag ≥ 0 vom gewichteten Mittelwert der arithmetischen Renditen der Portfolio-Komponenten.

In (II) addiert man den Volatility Return ≥ 0 zum gewichteten Mittelwert der geometrischen Renditen der Portfolio-Komponenten.

 

Die geometrische Rendite ist genau dann gleich der oberen Schranke [=gewichtete Summe des arithmetischen Mittelwertes der Portfolio-Komponenten], wenn der Volatility Drag verschwindet (was unter Vernachlässigung höherer Momente der Renditeverteilungsfunktion genau dann der Fall, wenn die Volatilität des Portfolios verschwindet).

 

Die geometrische Rendite ist genau dann gleich der unteren Schranke [=gewichtete Summe des geometrischen MIttelwertes der Portfolio-Komponenten], wenn der Volatility Return verschwindet (was unter Vernachlässigung höherer Momente der Renditeverteilungsfunktion genau dann der Fall ist, wenn die Volatilität der Portfolio-Komponenten (und damit auch die Volatilität des Portfolios) verschwindet oder wenn die Komponenten perfekt miteinander korreliert sind und eine identische Volatilität aufweisen).

 

Falls Volatility Drag = 0 und Volatility Return = 0, dann fallen obere und untere Schrank zusammen und es gilt:

Zitat

Weighted-Average(Arithmetic Returns of Components) = Weighted-Average(Geometric Returns of Components)

Das ist unter Vernachlässigung höherer Momente der Renditeverteilungsfunktion genau dann der Fall, wenn die Volatilität aller Portfolio-Komponenten (und damit auch die Volatilität des Portfolios) verschwindet.

 

Die schematische Darstellung der geometrischen Rendite µ_p eines rebalancierten Portfolios mit statischer Zielgewichtung und Volatilität σ_p sieht damit wie folgt aus, wobei der Volatility Return der Rebalancing Bonus ist, d.h. die Erhöhung der geometrischen Rendite, die man alleine durch Ausnutzen der Volatilität der Portfolio-Komponenten generieren kann (so gesehen separiert (II) den Rendite-Effekt durch das reine Rebalancing vom Rendite-Effekt der reinen Diversifikation):

 

grafik.png.0e8e455df5b4814a79f9fd34c93c10e3.png
 

Dabei bezeichnet µ_a die arithmetische Rendite und µ_s die strategische Rendite des Portfolios.

 

Es ist wichtig zu verstehen, dass sich die geometrisches Rendite jedes beliebigen gegen eine feste Zielgewichtung rebalancierenden Portfolios immer zwischen unterer und oberer Schranke aufhält. Diese Erkenntnis kann Investoren helfen, ihre Asset Allokation für ihre langfristige Finanzplanung fundierter zu gestalten.

 

Gleichzeitig sieht man, dass der Volatilty Return (der manchmal auch als Rebalancing Bonus bezeichnet wird) unter Vernachlässigung höherer Momente der Renditeverteilungsfunktion genau dann maximiert wird, wenn die Volatilität/der Volatility Drag des Portfolios aufgrund der negativen Kovarianz der Portfolio-Komponenten verschwindet. In diesem Fall entspricht die geometrische Portfolio-Rendite der oberen Schranke (dem arithmetischen Mittelwert) und es ergibt sich mit (II):
grafik.png.bac22a74b11889fafab022370ba0200a.png

Der maximal mögliche Rebalancing Bonus, der im Falle verschwindender Volatilität des Portfolios erreicht wird, nimmt unter Vernachlässigung höherer Momente der Renditeverteilungsfunktion folgende Form an:

grafik.thumb.png.4e238bad26ad1b165c81135bbb4404a6.png

und ist somit durch die gewichtete Summe der Differenzen von arithemtischer und geometrischer Renditen der Portfolio-Komponenten nach oben hin beschränkt.

Diesen Beitrag teilen


Link zum Beitrag
Glory_Days
· bearbeitet von Glory_Days

Wenn man diese Definitionen z.B. auf die Defensive Variante des OD-Portfolios anwendet, so erhält man bei jährlichem Rebalancing im Zeitraum 1970 - 2022:

  • Arithmetic Return: 12,49% p.a.
  • Geometric Return: 11,87% p.a.
  • Strategic Return: 10,34% p.a.
  • Volatility Drag: 0,64% p.a.
  • Rebalancing Bonus: 1,53% p.a.
  • Buy-and-Hold (geom.): 10,85% p.a.

Das Buy-and-Hold Portfolio (d.h. ohne Rebalancing) weist am Ende des Betrachtungszeitraums von 53 Jahre folgende Gewichtungen auf:

Gold    Commodities    Utilities    Health    Consumer    Tech        Komponente
20.00%    15.00%    15.00%    15.00%    15.00%    20.00%             Anfangsgewichtung

4.39%    24.06%    12.06%    20.14%    28.47%    10.87%               Endgewichtung

Diesen Beitrag teilen


Link zum Beitrag
Glory_Days
· bearbeitet von Glory_Days

Das Jahres-Update von der Wette mit @Madame_Q. Aktuell entwickelt sich ein sehr enges Rennen:

 

  • Aktuelle Performance in EUR seit 18.03.2022 (Ausgangswert = 1.00):

grafik.png.4778dfd0cef92268c5c1640b7384d2f6.png

 

  • Aktuelle Gewichtung:

grafik.png.4aca10d7e5af44e4883bd3ce68c54a59.png

 

  • Zeitverlauf mit Tagesrenditen in EUR:

grafik.png.3c13a35ac1f37d0db867987dd95e8e1d.png

Diesen Beitrag teilen


Link zum Beitrag
Glory_Days
· bearbeitet von Glory_Days

Rebalancing ist ein beliebtes und für viele nicht wirklich greifbares Diskussionsthema. Ich persönlich verfolge in meinem Ansatz eine Mischform verschiedener Ansätze:

Am 16.3.2023 um 17:53 von Glory_Days:

Eine Kombination aus Opportunistic und Strategic Rebalancing halte ich persönlich angesichts der Realität der Kapitalmärkte für die optimale Methodik bei rebalancierten Portfolien.

Wie oben beschrieben, ist der Rebalancing Bonus bezogen auf die geometrische Rendite eines gegen eine feste Zielgewichtung rebalancierten Portfolios unter Vernachlässigung höherer Momente der Renditeverteilungsfunktion gegeben durch:

grafik.png.0790b31598384288dc39f25315faa3a4.png

Dabei taucht die gewichtete Summe der Varianzen der Portfolio-Komponenten sowie der mit der Varianz des Gesamtportfolios skalierende Volatility Drag auf.

Eine wichtige Warnung gleich vorweg:

Der Versuch, diesen Term isoliert zu maximieren, wäre falsch und nicht sinnvoll. Wie weiter oben etabliert, bewegt sich die geometrische Rendite eines jeden gegen eine feste Zielgewichtung rebalancierten Portfolios zwischen einer unteren Schranke (Strategische Rendite) und einer oberen Schranke (Arithmetische Rendite). Jeder Rebalancing-Vorgang oder das Auslassen desselbigen wirkt sich auf die arithmetischen und geometrischen Komponenten-Renditen aus (diese werden per Definition zwischen zwei Rebalancing-Vorgängen gemessen) und verändert damit auch die obere bzw. untere Schranke.

 

Dennoch ist es wichtig, das zugrunde liegende Konzept von Rebalancing verstanden zu haben. Konzeptionell besteht das Ziel des Rebalancings darin, eine Portfolio-Komponente nach einer starken relativen Outperformance gegenüber den restlichen Portfolio-Komponenten zu verkaufen, bzw. nach einer starken relativen Underperformance zu kaufen. Dieser Vorgang sorgt für die Erhaltung der vorgebenen Risikostruktur des Portfolios, da im Falle des Nichthandels ansonsten die Portfolio-Komponente mit der höchsten Rendite kontinuierlich an Gewicht im Portfolio zunehmen würde, sich also ein Portfolio-Drift ergeben würde.

Gleichzeitig setzt man mit Rebalancing auf eine Art Mean Reversion der Portfolio-Gewichtungen und dem damit verbundenen Rebalancing Bonus, indem grundsätzlich davon ausgegangen wird, dass auf eine relative Outperformance einer Portfolio-Komponente eine relative Underperformance folgen wird (Schwankungen um die Zielallokation). Um diesen Faktor bestmöglich ausnutzen zu können, muss ein gewisser Portfolio-Drift, d.h. eine Abweichung von der vordefinierten Risikostruktur, zugelassen werden. Tatsächlich müssen die Schwellwerte so definiert sein, dass sie möglichst nahe an den jeweiligen Trendumkehrpunkte positioniert werden (gleichzeitig dürfen diese aber auch nicht zu weit gewählt werden!). Entwickelt sich eine Portfolio-Komponente in Einklang mit den restlichen Portfolio-Komponenten nach oben oder unten, liegt kein Portfolio-Drift vor und ein Rebalancing-Eingriff ist zur Erhaltung der vorgebenen Risikostruktur nicht notwendig.

 

Wie kommt es nun überhaupt zu dem durch den Rebalancing-Bonus implizierten Renditevorteil? Grundsätzlich kommt der Rendite-Effekt bei Rebalancing dadurch zu Stande, dass das Gewicht einer Portfolio-Komponente vor einem positiven Trend erhöht bzw. vor einem negativen Trend verringert wird. Am schönsten (und natürlich in idealisierter Form) lässt sich dieses Konzept anhand von Shannon's Demon verstehen und darstellen:

 

grafik.thumb.png.678774f3a8a72ab8f0011ddbfd24143e.png

 

In Shannon's Demon wird vereinfacht von zwei Portfolio-Komponenten ausgegangen (für ein N-Komponenten Portfolio könnte man sich N-1 Komponenten als in Komponente B subsummiert vorstellen).

In der Grafik oben ist die Wertentwicklung der Portfolio-Komponente A und B dargestellt sowie die Wertentwicklung des Gesamtportfolios einmal mit Rebalancing gegen eine feste Zielgewichtung und einmal ohne Rebalancing. Wie aus der Wertentwicklung von Komponente A und B ersichtlich wird, alternieren die Komponenten-Renditen von A und B zwischen positiven und negativen Renditen und sind perfekt antikorreliert. Komponente A wechselt dabei zwischen einer Rendite von +40% und -21.25% und Komponente B zwischen einer Rendite von -11.80% und 25%. Beide Portfolio-Komponenten weisen damit in diesem Beispiel die gleiche geometrische Rendite von +5% auf, wodurch auch das reine Buy-and-Hold Portfolio ohne Rebalancing - unabhängig von den konkreten Gewichtungen von A und B - ebenfalls eine geometrische Rendite von 5% aufweist.

In der idealisierten Welt von Shannon's Demon sind die Umkehrpunkte nach einem positiven und negativen Trend klar definiert. Indem das Gewicht vor negativen Trends abgesenkt bzw. vor positiven Trends erhöht wird, ergibt sich ein renditesteigernder Effekt auf die geometrische Portfolio-Rendite - der sog. Rebalancing Bonus. Im dargestellten Fall wurde die Portfolio-Gewichtung der Komponenten A und B gerade so gewählt, dass die Volatilität des Gesamtportfolios auf Null abgesenkt wurde, d.h. die Rendite des Portfolios konstant ist (37.53% * 40% + 62.47% * (-11,80%) = 37.53% * (-21.25)% + 62.47% * 25%) (das bedeutet allerdings keine(!) Maximierung des Rebalancing-Bonus und damit auch keine(!) Maximierung der geometrischen Rendite des Portfolios - diese könnte durch eine andere Portfolio-Gewichtung im vorliegenden Fall noch erhöht werden, indem die gewichtete Summe des arithmetischen Mittelwertes der Portfolio-Komponenten gesteigert wird).

 

Im vorliegenden Fall gelingt es, alleine durch Rebalancing die geometrische Rendite des rebalancierten Portfolios gegenüber der Strategischen Rendite sowie gegenüber dem reinen Buy-and-Hold Portfolio ohne Rebalancing um 2.64 Prozentpunkte von 5% auf 7.64% zu steigern.

 

Interessant wird das Konzept, wenn man es auf ein echtes Portfolio mit Schwellwerte-Rebalancing anwendet. Dabei hilft die Einsicht, dass die Wertentwicklung jedes volatilen Assets per Definition eine Abfolge von positiven und negativen Renditen relativ zum langfristigen geometrischen Mittelwert ist:

grafik.thumb.png.3ef8303a9b22567158be6306a9937c65.png


Würde man in diese Grafik zwei Geraden mit geometrischer Definition y = (x, µ_g^2 / (1 + x) - 1) reinlegen, ergäbe sich mit den Schnittpunkten der Renditen ein Bild der oben dargestellten Form des Shannon's Demon, wobei die langfristige Rendite per Konstruktion dem geometrischen Mittelwert µ_g entsprechen würde. Jede Renditeabfolge eines volatilen Assets lässt sich grundsätzlich also auf das Konzept von Shannon's Demon herunterbrechen und ist damit für den Rebalancing Bonus nutzbar (die Amplitude der Renditen skaliert in der Realität mit dem Faktor Zeit - Tagesrenditen haben kleinere absolute Schwankungen als Monatsrenditen, Monatsrenditen haben kleinere Schwankungen als Jahresrenditen, etc.).

Tatsächlich sollte man bei der Risikosteuerung eines Portfolios nicht über den Faktor Zeit nachdenken, sondern ausschließlich über die Höhe des Portfolio-Drifts und damit die Schwellwerte, die man zulassen möchte, ohne die Risikostruktur des Portfolios zu stark zu verändern. Dies führt uns zu einem weiteren wesentlichen Punkt - denn bisher wurden in Shannon's Demon ausschließlich die Renditen der Portfolio-Komponenten betrachtet, nicht aber deren Einfluss auf die Gewichtungen der Komponenten im Portfolio.

 

Wie bereits eingangs diskutiert, ist der Portfolio-Drift von der relativen Wertentwicklung der einzelnen Portfolio-Komponenten zum restlichen Portfolio abhängig. Auch hier bietet es sich an - wie schon bei Shannon's Demon - vereinfacht von zwei Portfolio-Komponenten auszugehen (und sich bei mehr Komponenten im Portfolio die restlichen Komponenten als subsummiert vorzustellen).  Man kann sich nun die folgenden Fragen stellen:

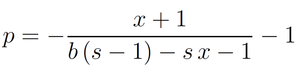
  • Welche Wertentwicklung x der betrachteten Portfolio-Komponente ist bei gegebener Wertentwicklung b des restlichen Portfolios notwendig, um einen vorgebenen auf die absolute Zielallokation s bezogenen relativen Schwellwert p zu erreichen? (d.h. der Schwellwert liegt bei einer absoluten Gewichtung von s * (1 + p))

Antwort:

grafik.png.1b69a66a4858dd86093692457cfab7b7.png

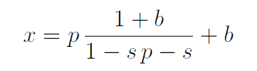
  • Welcher auf die absolute Zielallokation s bezogene relative Schwellwert p (Schwellwert liegt bei einer absoluten Gewichtung von s * (1 + p)) kann durch eine gegebene Wertentwicklung x der Portfolio-Komponente bei ebenfalls gegebener Wertentwicklung b des restlichen Portfolios erreicht werden?

Antwort:

    grafik.thumb.png.ea043cdd61d26436606c52667dc4c3ca.png

Für kleine Wertänderungen x und b lässt sich die letzte Formel in eine Taylor-Reihe entwickeln und in erster Ordnung ergibt sich:

 grafik.png.bcfb26c6d999efe51c42f91bc25076d3.png

In erster Ordnung skaliert p hier also direkt mit der absoluten Differenz (x - b) der Wertentwicklungen der betrachtetenen Portfolio-Komponente und des restlichen Portfolios. Um Shannon's Demon effektiv in einem rebalancierten Portfolio mit Schwellwert-Rebalancing zu implementieren, muss man also abschätzen, wie sich Portfolio-Komponenten relativ zueinander entwickeln.

Mit Hilfe der Formeln ließe sich jetzt für jede Portfolio-Komponente mit der Zielgewichtung s, der erwarteten Wertentwicklung b und den beiden zu definierenden Geraden y = (x, µ_g^2 / (1 + x) - 1) die Schwellwerte, die bei fest vorgebener Risikostruktur die Rebalancing-Rendite maximieren würden, berechnen. Da dafür sehr viel Input mit hoher Unsicherheit benötigt wird, ist ein praktikabler Ansatzpunkt sich die historische relative Wertentwicklung seiner Portfolio-Komponenten anzuschauen und die Schwellwerte mit einem gewissen Delta nach unten auf die Umkehrpunkte der Portfolio-Gewichtungen mit Hilfe einer geometrischen Definition (p, 1 / (1 + p) - 1) zu definieren.

Diesen Beitrag teilen


Link zum Beitrag
Glory_Days
· bearbeitet von Glory_Days

Wie weiter oben gezeigt, ist es bei einem rebalancierten Portfolio sinnvoll, einen wohldefinierten Portfolio-Drift zuzulassen, um positive und negative Trends von Anlageklassen im Sinne einer Renditesteigerung des rebalancierten Portfolios zuzulassen. Für dieses Schwellwert-Rebalancing gibt es verschiedene Möglichkeiten der Band-Definition:

  • Absolutes Band mit absoluter Abweichung von der Zielallokation in Prozentpunkten
  • Relatives Band mit prozentualer Abweichung von der Zielallokation in Prozent
  • Adaptives Band definiert durch die relative Wertentwicklung einer Portfolio-Komponente zum restlichen Portfolio

Wie bereits festgestellt wurde, weisen die absolute und relative Band-Definition die Schwäche auf, dass die Höhe des erreichbaren Bands bei gegebener Wertentwicklung stark von der Zielgewichtung der jeweiligen Portfolio-Komponente abhängig ist. Mathematisch gesehen ist die Definition des absoluten Bands t und des relativen Bands p verknüpft über t = s * p, wobei s die Zielallokation der Portfolio-Komponente angibt. Die Abhängigkeit der Höhe des erreichbaren Bands von der Zielgewichtung einer Portfolio-Komponente bei gegebener Wertentwicklung ist durch folgende Formeln gegeben:

grafik.png.6c3a8cf79e13f002dae564ca9e02d2dd.png

Grafisch aufgetragen ergeben sich bei einer beispielhaften Wertentwicklung von x = +25% und b = 0% damit folgende Graphen:

 

grafik.png.7168d1bf26f98d9ee6adcf4b546ca8d2.png             grafik.png.efea7cc3392a3de2e85db764924db232.png

 

Zur Veranschaulichung wurde hier ein beispielhaft definierter Schwellwert in rot mit in die Grafik aufgenommen. Wie man sehen kann, wird der Schwellwert bei einer absoluten Band-Definition von 5 Prozentpunkten mit der gegebenen Wertentwicklung nur zwischen ca. 30% bis 60% Zielgewichtung gerissen. Dieses Phänomen wird auch bei der relativen Band-Definition beobachtet, wenngleich hier der beispielhaft definierte Schwellwert nur für Zielgewichtungen unterhalb von ca. 15% bei der gegebenen Wertentwicklung erreicht wird.

 

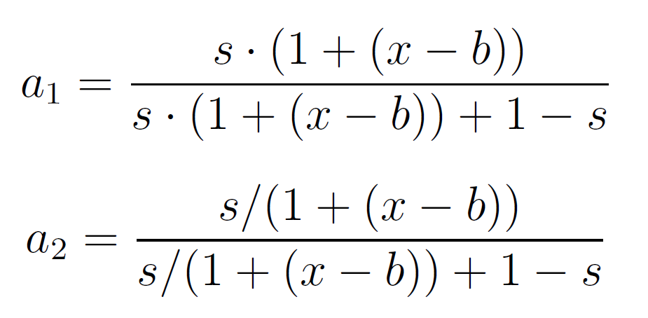
Möchte man ein Band definieren, das bei einer gegebenen relativen Wertentwicklung (x-b) zwischen Portfolio-Komponente und restlichem Portfolio unabhängig von der Zielgewichtung der Portfolio-Komponente der Schwellwert a erreicht wird, so müssen unterer und oberer Schwellwert in Abhängigkeit der relativen Wertentwicklung und damit adaptiv definiert werden. Für eine geometrisch symmetrische relative Wertentwicklung [(x-b), 1/(1+(x-b))-1] ergibt sich der untere und obere Schwellwert zu:
grafik.png.d19b14b47dc01b48bffe36c79b208b30.png

Damit kann ein von der Zielgewichtung s unabhängiges Band a in Höhe des Absolutwertes der relativen Wertentwicklung (x-b) definiert werden:

grafik.png.f16a590f1ceba1ffed4cf42008570c9b.png

Dieses adaptive Band wird nun nicht nur mit der beispielhaften Wertentwicklung von x = +25% und b = 0% völlig unabhängig von der Zielgewichtung s getroffen, sondern bei jeder relativen Wertentwicklung von (x-b) = 25%:
 

grafik.png.a47f40daf04f2e4bb1986b5671aa1f35.png

 

Diese adaptive Methodik unterliegt einer zusätzlichen Symmetrie: Wenn aus Sicht der Portfolio-Komponente aufgrund einer relativen Wertentwicklung das Band getroffen wird und Rebalancing notwendig ist, so ist dies auch für das restliche Portfolio der Fall (was bei der absoluten und relativen Band-Definition nicht notwendigerweise der Fall sein muss).

 

Für das Monitoring dieser adaptiven Metrik kann bei einer aktuellen Gewichtung x einer Portfolio-Komponente und seiner Zielallokation s im Sinne einer geometrischen Definition folgende Formel verwendet werden:
grafik.png.9ce0c5cfdb8edcb7663cbf10eb1274ca.png

Dabei berücksichtigt die Formel, dass im Fall x < s eine höhere relative Wertentwicklung im geometrischen Sinne für das Erreichen von s notwendig ist als im Fall x > s (oder anders ausgedrückt: (x-b) entspricht 1/(1+(x-b))-1)).

Diesen Beitrag teilen


Link zum Beitrag
Fondsanleger1966

Hallo! Warum unterscheiden sich Strategic Return und Buy and Hold Return (ohne Rebalancierung) in diesem Beispiel?

Am 13.3.2023 um 21:14 von Glory_Days:

Wenn man diese Definitionen z.B. auf die Defensive Variante des OD-Portfolios anwendet, so erhält man bei jährlichem Rebalancing im Zeitraum 1970 - 2022:

  • Arithmetic Return: 12,49% p.a.
  • Geometric Return: 11,87% p.a.
  • Strategic Return: 10,34% p.a.
  • Volatility Drag: 0,64% p.a.
  • Rebalancing Bonus: 1,53% p.a.
  • Buy-and-Hold (geom.): 10,85% p.a.

Das Buy-and-Hold Portfolio (d.h. ohne Rebalancing) weist am Ende des Betrachtungszeitraums von 53 Jahre folgende Gewichtungen auf:

Gold    Commodities    Utilities    Health    Consumer    Tech        Komponente
20.00%    15.00%    15.00%    15.00%    15.00%    20.00%             Anfangsgewichtung

4.39%    24.06%    12.06%    20.14%    28.47%    10.87%               Endgewichtung

Ich hatte das zuvor verlinkte Papier von Willenbrock so verstanden, dass beide Größen identisch sind (jeweils die Summe aus Gewicht und geometrischer Rendite der einzelnen Assets).

Diesen Beitrag teilen


Link zum Beitrag
Glory_Days
· bearbeitet von Glory_Days
Am 1.4.2023 um 19:16 von Fondsanleger1966:

Hallo! Warum unterscheiden sich Strategic Return und Buy and Hold Return (ohne Rebalancierung) in diesem Beispiel?

Ich hatte das zuvor verlinkte Papier von Willenbrock so verstanden, dass beide Größen identisch sind (jeweils die Summe aus Gewicht und geometrischer Rendite der einzelnen Assets).

Dann hast du das leider in Willenbrocks Paper falsch verstanden:


Der Strategic Return bezieht sich auf ein rein hypothetisches Portfolio mit Rebalancing, bei denen die Volatilität der (ansonsten identischen) Assets des tatsächlichen Portfolios jeweils gleich null gesetzt wurde. In diesem hypothetischen Portfolio gilt also für die Assets geometrische Rendite = arithmetische Rendite, wobei beide Renditen der geometrischen Rendite der tatsächlichen Portfolio-Assets entsprechen. Da im hypothetischen Portfolio die Volatilität der Assets verschwindet, hat auch das Gesamt-Portfolio eine veschwindende Volatilität. Damit gilt auch auf Gesamtportfolio-Ebene geometrische Rendite = arithmetische Rendite für dieses rein hypothetische Portfolio, dessen volatilitätslose Assets von Anlegerseite natürlich real nicht gekauft werden können. In diesem speziellen Fall (wenn die Ein-Perioden Portfolio-Rendite immer gleich ist und wegen des Rebalancings auf konstante Asset-Gewichtungen trifft) berechnet sich die geometrische Rendite dieses hypothetischen Portfolios nach der gewichteten Summe der geometrischen (= arithmetischen) Komponenten-Renditen:
grafik.png.50333b61eb0c560676dbafc26eda1e18.png

Dieses rein hypothetische Porfolio stellt also den Fall in der Skizze in Beitrag #394 dar, wenn obere und untere Schranke der geometrischen Rendite eines gegen eine feste Zielallokation rebalancierten Portfolios zusammenfallen und insbesondere der Rebalancing Bonus (aber auch der Volatility Drag) verschwindet. Man zieht dieses hypothetische Referenz-Portfolio als Benchmark heran, da es im Gegensatz zu einem Buy-and-Hold Portfolio durch das mit dem tatsächlichen Portfolio identische Rebalancing die gleiche Risikostruktur bzw. Diversifikation wie das tatsächlich rebalancierte Portfolio aufweist und damit einen geeigneten Referenzpunkt für die (geometrische) Höhe des Rebalancing-Bonus darstellt. Die notwendige Bedingung für die Existenz eines Rebalancing-Bonus nach dieser Definition ist die nicht verschwindende Volatilität von mind. einer Portfolio-Komponente (falls es mehr als zwei Komponenten mit nicht verschwindender Volatilität gibt, dürfen diese für einen nicht verschwindenden Rebalancing-Bonus zusätzlich nicht alle perfekt miteinander korreliert sein und die gleiche Standardabweichung aufweisen).

Mit Hilfe dieser Definition kann man den Rendite-Effekt der alleine durch Rebalancing (= Ausnutzen der Volatilität der Portfolio-Komponenten) zu Stande kommt, klar von der Rendite trennen bzw. isolieren, die durch Diversifikation zu Stande kommt (= Strategic Return). Gleichzeitig bildet der Strategic Return damit immer die untere Schranke für jedes gegen eine feste Zielallokation rebalancierte Portfolio (der Rebalancing-Bonus kann per Definition nicht negativ werden).

In einem Buy-and-Hold Portfolio werden stattdessen natürlich die tatsächlichen Assets (mit Volatilität <> 0) zur Berechnung der geometrischen Rendite herangezogen, wobei sich die geometrische Buy-and-Hold Rendite berechnet nach:

grafik.png.a0b6e0383a130934150ed27ad689e870.png

Hier wird einfach für alle Komponenten i jeweils das Gewicht w_i der i-ten Komponente mit der geometrischen Rendite g_i der i-ten Komponente T-mal aufgezinst, anschließend summiert (was den normierten Kapitalendwert ergibt (normiert auf 1 Kapitaleinheit - dieser Wert kann mit einem beliebigen Ausgangskapital K0 multipliziert werden) und dann mit der 1/T-ten Wurzel auf eine geometrische Rendite normiert (was dann 1 + Rendite ergibt, weshalb noch die 1 abgezogen wird).


Preisfrage:
Erkennst du, in welchem Fall g_i <> 0 die beiden Formeln identisch sind, und warum es sich dennoch nicht um vergleichbare Portfolien handelt?

Diesen Beitrag teilen


Link zum Beitrag

Erstelle ein Benutzerkonto oder melde dich an, um zu kommentieren

Du musst ein Benutzerkonto haben, um einen Kommentar verfassen zu können

Benutzerkonto erstellen

Neues Benutzerkonto für unsere Community erstellen. Es ist einfach!

Neues Benutzerkonto erstellen

Anmelden

Du hast bereits ein Benutzerkonto? Melde dich hier an.

Jetzt anmelden

×
×
  • Neu erstellen...