Zum Inhalt springen
Gast260614

Einschätzung Riester Banksparplan mit 2 Kinder

Empfohlene Beiträge

stagflation
vor 12 Minuten von satgar:

Der Wert war 2020, und die Condor gehörte schon damals zu Platz 2 der besten Anbieter hinsichtlich der Faktoren. Interessiert dich, was es derzeit für einen aktuellen Faktor gibt? Für eine Person, die jetzt 37 ist?

 

Wenn Du einen genaueren Wert als 30 hast, natürlich schon!

 

Aber bitte mache Dir nicht viel Mühe. Ich glaube, 30 kommt schon ganz gut hin. Wir wissen ja, dass wir den Rentenfaktor nicht exakt kennen können. Das müssen wir natürlich auch bei der Interpretation der Ergebnisse einfließen lassen. Wenn dann eine Variante um 10% oder 20% besser sein sollte, heißt das nicht, dass diese besser ist. Sondern man würde das als Gleichstand werten - und zur Entscheidungsfindung andere Kriterien heranziehen. Wenn eine Variante um 100% besser sein sollte, dann wäre das schon ziemlich deutlich - und dann würden auch ein paar Prozent bessere oder schlechtere Rentenfaktoren nichts an dem Ergebnis ändern.

 

Ich weiß übrigens selbst noch nicht, was bei den Rechnungen herauskommt - und bin selbst schon sehr gespannt!

Diesen Beitrag teilen


Link zum Beitrag
satgar
vor 1 Minute von stagflation:

 

Wenn Du einen genaueren Wert als 30 hast, natürlich schon!

 

Aber bitte mache Dir nicht viel Mühe. Ich glaube, 30 kommt schon ganz gut hin. Wir wissen ja, dass wir den Rentenfaktor nicht exakt kennen können. Das müssen wir natürlich auch bei der Interpretation der Ergebnisse einfließen lassen. Wenn dann eine Variante um 10% oder 20% besser sein sollte, heißt das nicht, dass diese besser ist. Sondern man würde das als Gleichstand werten - und zur Entscheidungsfindung andere Kriterien heranziehen. Wenn eine Variante um 100% besser sein sollte, dann wäre das schon ziemlich deutlich - und dann würden auch ein paar Prozent bessere oder schlechtere Rentenfaktoren nichts an dem Ergebnis ändern.

 

Ich weiß übrigens selbst noch nicht, was bei den Rechnungen herauskommt - und bin selbst schon sehr gespannt!

Bin schon fertig damit. Hab exemplarisch mal vier Sachen gerechnet, jeweils Rürup, da Riester ja die meisten nicht mehr haben und es über die Vorsorgeformen bei fast allen gleich berechnet wird, was die Faktoren angeht. Es stellt sich für eine Person, die JETZT etwas abschließt, jetzt 37 Jahre alt ist, in 30 Jahren in Rente geht und 10 Jahre Rentengarantiezeit als Hinterbliebenenabsicherung hat (kostet fast kein Abschlag beim Faktor; Condor Wert, der zuvor gepostet war enthielt das auch), wie folgt dar:

 

Allianz Rürup: Garantiefaktor 22,18 EUR / aktueller Faktor 27,73 EUR

Alte Leipziger Rürup: Garantiefaktor 22,74 EUR / aktueller Faktor 26,75 EUR

Condor PRIVATRENTE: Garantiefaktor 26,55 EUR / aktueller Faktor 27,24 EUR (Rürupangebot weist nur noch Garantiefaktor, nicht mehr aktuellen Faktor aus)

LV1871 Rürup: Garantiefaktor 22,03 EUR / aktueller Faktor 26,38 EUR

Diesen Beitrag teilen


Link zum Beitrag
stagflation

Dann wäre 27 ein besserer Wert für den Rentenfaktor?

 

Ich frage ganz bewusst nach. Wenn wir von 30 auf 27 runter gehen, wird das Ergebnis schlechter für Riester-Sparplan und Versicherung. Ich möchte nicht, dass mir hinterher jemand vorwirft, ich hätte die Riester-Varianten absichtlich schlechter gerechnet...

Diesen Beitrag teilen


Link zum Beitrag
satgar
vor 32 Minuten von stagflation:

Dann wäre 27 ein besserer Wert für den Rentenfaktor?

 

Ich frage ganz bewusst nach. Wenn wir von 30 auf 27 runter gehen, wird das Ergebnis schlechter für Riester-Sparplan und Versicherung. Ich möchte nicht, dass mir hinterher jemand vorwirft, ich hätte die Riester-Varianten absichtlich schlechter gerechnet...

An sich ja, aber wie geschildert, es ist Kaffeesatzlesen.

 

Und den Vergleich des Banksparplanes mit einer ETF Anlage finde ich auch unter Risikoklassen Gesichtspunkten noch immer für Quatsch. Riester-Fondssparplan vs. ETF mag mir ja noch halbwegs einleuchten. Aber welches Ergebnis erwartet man sich aus dem Banksparplan Vergleich, wenn dieser mit 1% Zinsertrag berechnet wird und das ETF Gegenüber mit 5% oder noch mehr. Versteh das nicht so ganz.

Diesen Beitrag teilen


Link zum Beitrag
stagflation

@satgar: vergiss nicht den ersten Post des TO: "Ziel war/ist es immer die Förderung abzugreifen und als Rendite zu sehen".

 

Selbstverständlich macht es da Sinn, die Rendite verschiedener Anlageformen zu vergleichen.

 

Und wenn zum Schluss rauskommen sollte, dass ein ETF-Depot ohne Förderung eine höhere Rendite abwirft, als ein Riester-Sparplan mit Förderung - dann wäre das doch ein interessantes Ergebnis.

Diesen Beitrag teilen


Link zum Beitrag
satgar
vor 2 Minuten von stagflation:

@satgar: vergiss nicht den ersten Post des TO: "Ziel war/ist es immer die Förderung abzugreifen und als Rendite zu sehen".

 

Selbstverständlich macht es da Sinn, die Rendite verschiedener Anlageformen zu vergleichen.

 

Und wenn zum Schluss rauskommen sollte, dass ein ETF-Depot ohne Förderung eine höhere Rendite abwirft, als ein Riester-Sparplan mit Förderung - dann wäre das doch ein interessantes Ergebnis.

Ich werfe dann ein, die Rendite per Riester-Fondsanlage im Versicherungsmantel zu lösen, um nicht nur die Zulage als Rendite mitzunehmen, sondern dem Produkt selbst auch Rendite zu ermöglichen. Nur so macht das mE wirklich am Ende des Tages Sinn. Aber mal sehen, was der TO so ausrechnet und für sich ermittelt.

 

Das ein Riesterbanksparplan durch eine ETF Anlage mit z.B. 100% Aktienanlage geschlagen würde, würde mich nun wirklich nicht überraschen. Sag bloß, dass wäre bei dir anders?

Diesen Beitrag teilen


Link zum Beitrag
stagflation
vor 5 Minuten von satgar:

Ich werfe dann ein, die Rendite per Riester-Fondsanlage im Versicherungsmantel zu lösen, um nicht nur die Zulage als Rendite mitzunehmen, sondern dem Produkt selbst auch Rendite zu ermöglichen. Nur so macht das mE wirklich am Ende des Tages Sinn.

 

Das sind die Varianten 2 und 3, die ich in Post 27 vorgeschlagen habe.

 

Die werden wir auch noch durchrechnen. Aber wir müssen irgendwo anfangen - und uns dann Schritt für Schritt weiterhangeln.

 

Bisher haben wir nur gesehen, dass die Variante "Riester-Sparplan ruhend stellen" keine gute Variante ist - weil man wegen der Inflation effektiv Kaufkraft verliert. Und die Variante "Riester-Sparplan kündigen und Geld in ETF-Depot einzahlen" eine höhere Rendite bringt.

 

Als nächstes folgende Varianten mit weiterer Beitragszahlung. Und dann ein Vergleich mit einem Wechsel auf eine Riester-Rente.

Diesen Beitrag teilen


Link zum Beitrag
Gast260614

Sorry für meine späte Antwort. Ich musste erstmal alles bis hier her lesen und verstehen.

 

Den Gesichtspunkt/Kriterium mit verschiedene Risikoklassen, habe ich auch schon mal eingeworfen. Auch das eben beim Riester eine gewisse Garantie gibt, aber was dies dann später einem Wert ist müsste man nach den Ergebnissen sehen. Mit den Riester-Fondsparpläne tu ich mich ehrlich gesagt bisher am schwersten eine Berechnung.

Also meine Rechnungen zu den ersten Varianten. Wie man sieht fehlt mir das Thema mit dem Rentenfaktor + die nachträgliche Besteuerung

ETF Ruhend:

etf_ruhen.thumb.png.bb0531cdcb88370068180e28e730377b.png

 

Banksparplan bespart: Interessant wäre ja was man mit den Steuerersparnis anstellt (ETF Plan ;)?)

banksparplan.thumb.png.616b1e67b00c6822887b5886b4a69958.png

 

ETF bespart mit den gleichen Einzahlungen

etf_bespart.thumb.png.b28cdb8d83fa7be290253102adb8cb48.png

 

Und dann hier mal z.B. Kombination Banksparplan mit ETF für Steuerersparnis

 

steuerersparnis.thumb.png.4942022fb8db1d26ef3fe68923a9437e.png

 

Kombi.thumb.png.3181677a6b6f377c77833d413139e871.png

 

 

 

 

Diesen Beitrag teilen


Link zum Beitrag
satgar

Kurzer Einwurf: die durch staatliche Förderungen erhaltenen Leistungen bei Riester und Rürup nicht zu verleben (Urlaub, Konsum, etc.) sondern sinnvoll zu investieren (ETFs) ist natürlich genau richtig. 

Diesen Beitrag teilen


Link zum Beitrag
Gast260614
vor 2 Stunden von satgar:

Kurzer Einwurf: die durch staatliche Förderungen erhaltenen Leistungen bei Riester und Rürup nicht zu verleben (Urlaub, Konsum, etc.) sondern sinnvoll zu investieren (ETFs) ist natürlich genau richtig. 

Wie gesagt bin mal gespannt wie das jetzt bei den Riester-Fondsparpläne aussieht auch mit dem oben geschickten WWK. Ich glaube da habe ich noch nicht alles verstanden. Abschlusskosten etc.

 

Vielleicht auch noch so eine zwischen frage bei einem Banksparplan, wird der Zins dynamisch angepasst. Wie lang dauert denn so etwas, weil die Zinsen steige ja jetzt langsam wieder, ab wann wirkt sich das aus?

Diesen Beitrag teilen


Link zum Beitrag
satgar
· bearbeitet von satgar
vor 3 Stunden von MichaelMueller:

Wie gesagt bin mal gespannt wie das jetzt bei den Riester-Fondsparpläne aussieht auch mit dem oben geschickten WWK. Ich glaube da habe ich noch nicht alles verstanden. Abschlusskosten etc.

 

Vielleicht auch noch so eine zwischen frage bei einem Banksparplan, wird der Zins dynamisch angepasst. Wie lang dauert denn so etwas, weil die Zinsen steige ja jetzt langsam wieder, ab wann wirkt sich das aus?

Bei den Prämiensparkassenverträgen wurde ja gerichtlich moniert, dass das intransparent sei. Dann haben die Sparkassen die Anpassung an gewisse Referenzzinsen gekoppelt, Euribor und sowas. Frag deine Bank, an welchen Referenzzins dein Produkt gekoppelt ist. Dann lässt sich das nachvollziehen. Ohne Kopplung sollte/dürfte es als intransparent nicht mehr erlaubt sein. Da man sonst der Willkür des Instituts ausgesetzt wäre.

 

P.S. Die WWK ist kein Riester-Fondssparplan sondern eine fondsgebundene Riesterrentenversicherung. Das ist nicht das gleiche !

Diesen Beitrag teilen


Link zum Beitrag
Gast260614
· bearbeitet von MichaelMueller
vor 6 Stunden von satgar:

Bei den Prämiensparkassenverträgen wurde ja gerichtlich moniert, dass das intransparent sei. Dann haben die Sparkassen die Anpassung an gewisse Referenzzinsen gekoppelt, Euribor und sowas. Frag deine Bank, an welchen Referenzzins dein Produkt gekoppelt ist. Dann lässt sich das nachvollziehen. Ohne Kopplung sollte/dürfte es als intransparent nicht mehr erlaubt sein. Da man sonst der Willkür des Instituts ausgesetzt wäre.

 

IMG_8725.thumb.png.f00627fbbf52abd4d836b1447c07df5e.png

Des ist aus dem Vertrag...

 

vor 6 Stunden von satgar:

P.S. Die WWK ist kein Riester-Fondssparplan sondern eine fondsgebundene Riesterrentenversicherung. Das ist nicht das gleiche !

Okay, wenn ich es richtig verstanden habe sind bei der Riesterrentenversicherung sind die kosten für die Auszahlungsphase schon eingespeist. 

Vielleicht versteh ich das Angebot auch falsch, aber bei Verwaltungskosten von 3-5%, wird die Förderung doch aufgefressen oder? Da könnte ich auch direkt selber einen ETF besparen oder welche Vorteile bestehen sonst noch?


@stagflationwas meinst zu den Rechnungen?

Diesen Beitrag teilen


Link zum Beitrag
stagflation
· bearbeitet von stagflation
vor 6 Stunden von MichaelMueller:

was meinst zu den Rechnungen?

Ich habe jetzt auch mit Deinen Werten gerechnet (Du bist vorsichtiger als ich) - und kann Deine Rechnungen größtenteils nachvollziehen!

 

Vielleicht zuerst zu Deiner Frage: "Wie man sieht fehlt mir das Thema mit dem Rentenfaktor + die nachträgliche Besteuerung":

 

Bei den Riester-Verträgen wird das angesparte Kapital nicht in einem Beitrag ausgezahlt, sondern in Form einer lebenslangen Rente. Die Umrechnung erfolgt mit dem Rentenfaktor. Das angesparte Kapital wird mit dem Rentenfaktor multipliziert - und das ist die monatliche Bruttozahlung. Mein Vorschlag ist, mit einem Rentenfaktor 30 zu rechnen. @satgar hat 27 vorgeschlagen. Das ist vielleicht tatsächlich besser, würde die Ergebnisse für die Riester-Varianten aber schlechter machen. Bleiben wir also lieber bei 30. Dann müssen wir uns nicht vorwerfen lassen, dass wir ein bestimmtes Ergebnis herbeirechnen wollen. Mehr zum Rentenfaktor findest Du hier: https://www.finanztip.de/private-rentenversicherung/rentenfaktor

 

Die monatliche Bruttozahlung musst Du aber versteuern. Hierfür brauchst Du Deinen persönlichen Grenzsteuersatz (nicht: Durchschnittssteuersatz) in der Rentenphase. Ich würde vorschlagen, dass wir hier mit 30% rechnen. Wenn Dir das zu hoch erscheint, gehe runter auf 25%.

 

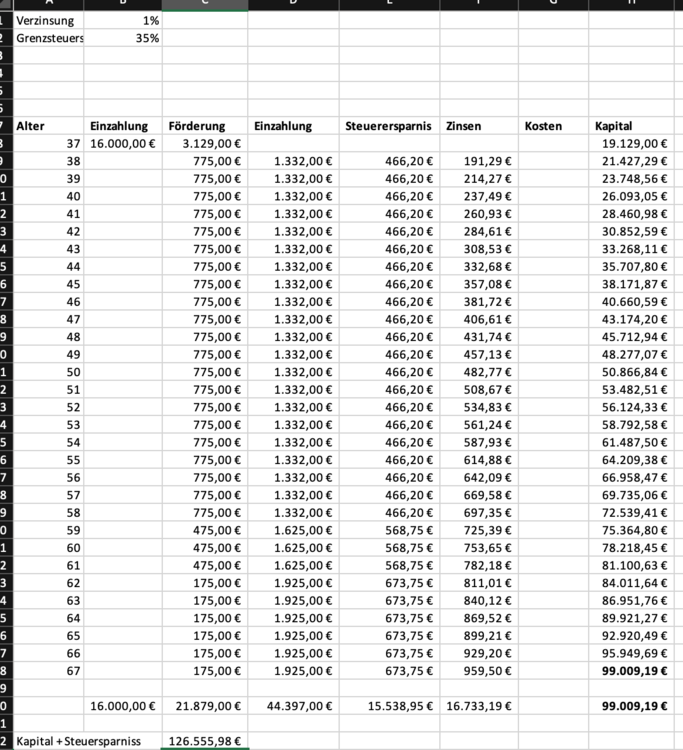
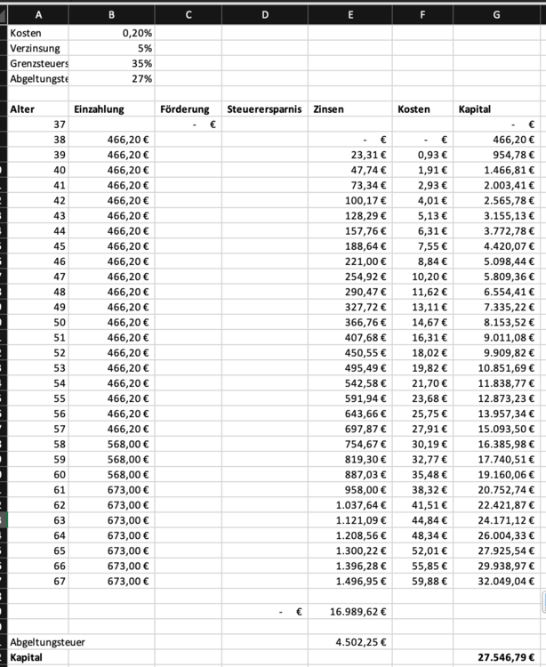
Hier meine Ergebnisse, jetzt mit Deinen Rechengrößen. Damit die Tabellen nicht so groß werden, schneide ich in der Mitte ein Stück heraus.

 

Zuerst das ETF-Depot. Links die Variante Riester-Sparplan kündigen und Betrag in ETF-Depot anlegen. Rechts die Variante mit fortlaufender Einzahlung:

 

image.png.2923e37e26c9324175b0087f9c18f750.png

 

Es kommt das gleiche heraus, wie bei Dir. Ich möchte Deinen Blick aber noch einmal auf das Thema Inflation lenken. Bei der rechten Rechnung zahlst Du über die Jahre 57.000 € ein und bekommst 90.000 € Zinsen. Es steht ein Kapital von 143.000 € zur Verfügung. Das Kapital, was Dir am Ende zur Verfügung steht, wird bei angenommenen 3% Inflation nur eine Kaufkraft von heute 50.000 € haben.

 

Lass uns darüber nachdenken, woran das liegt. Die Verzinsung liegt bei 5%, davon gehen 0,2% Kosten ab. Die Rendite wird weiter geschmälert durch die Abgeltungssteuer, die am Ende bezahlt werden muss. Auf der anderen Seite stehen jährlich 3% Verlust durch Inflation - es ist also fast logisch, das bei dem Ergebnis nach Inflation fast nichts übrig bleibt. Ich würde Dir also empfehlen, bei einer Anlage in Wertpapiere und einer so langen Anlagedauer etwas mehr ins Risiko zu gehen, um eine höhere Rendite zu erwirtschaften. Viele Mitforisten hier würden 100% Aktien wählen und dann eine erwartete Rendite vor Steuern und Inflation von 7-8% erzielen. Wenn Du vorsichtiger anlegen willst, musst Du nicht ganz so hoch gehen - aber 6-7% erwartete Rendite solltest Du hinbekommen. Zumal Deine Kosten von 0.2% etwas niedrig sind. Du musst ja Broker, Depotführung usw. bezahlen.

 

Jetzt zum Riester-Sparplan. Ich gebe @satgar Recht, dass man die Steuerersparnis auch gleich mit einzahlen sollte. Zumindest bei unseren Rechnungen, um einen fairen Vergleich zwischen ETF-Depot und Riester-Sparplan zu bekommen.

 

Hier wäre meine Berechnung für den Riester-Sparplan. Links mit Kündigung, rechts mit fortlaufender Einzahlung:

 

image.thumb.png.5bb59a945822eeeea95f631ea1e8b48c.png

 

Die Formel für die Steuerersparnis ist:

  • 2100 € * Steuersatz - Zulagen. Negative Ergebnisse werden auf 0 aufgerundet.

Deshalb kommt bei meiner Rechnung in den ersten Jahren keine Steuerersparnis heraus. Erst in den letzten Jahren, wenn Du weniger Zulagen bekommst.

 

An dieser Stelle kann man in der Tabellenkalkulation etwas interessantes entdecken:

 

Die monatliche Bruttozahlung beträgt 310 €, die monatliche Nettozahlung 220 €. Jetzt nimm an, dass es keine Förderungen und keine Steuerersparnisse gäbe. Trage deshalb in der Tabelle in den Feldern J13 - L42 eine Null ein.

 

Was passiert?

 

Die monatliche Bruttozahlung sinkt auf 230 €. Also ungefähr so viel, wie die Nettozahlung mit Förderung und Steuerersparnissen.

 

Mit anderen Worten: die Förderungen und Steuervorteile, die Du in der Ansparphase bekommst, werden in der Rentenphase gleich wieder durch die Steuern abgezogen. Noch anders ausgedrückt: in der gewählten Konstellation gibt es für Dich nach Steuern keine Förderung.

 

Du kannst mit den Rechengrößen herumspielen und schauen, unter welchen Umständen Du nach Steuern mehr Förderung herausbekommen könntest. Probier mal eine höhere Verzinsung (3% statt 1%) oder einen niedrigeren Grenzsteuersatz in der Rentenphase. Probiere auch mal was passiert, wenn Du weniger einzahlst. Spiele mit den Zahlen und versuche herauszufinden, was Dich Deinem Ziel "die Förderung abzugreifen und als Rendite zu sehen" näher bringt - und was nicht.

 

Der nächste Schritt wäre dann, dass wir den WWK Riestervertrag dazunehmen und ausrechnen, was dort passieren würde. Auf der einen Seite lockt eine höhere Verzinsung - auf der anderen Seite gibt es aber auch höhere Kosten. Ich bin gespannt, was dabei herauskommen wird.

Diesen Beitrag teilen


Link zum Beitrag
satgar

Kurzer Einwurf: ich bin übrigens nicht für die WWK, da ich sie für zu teuer halte. Dem Alte Leipziger HFR50 Honorar-Fondstarif traue ich eine ebenso gute Performance mit niedrigeren Kosten zu.

Diesen Beitrag teilen


Link zum Beitrag
Gast260614
· bearbeitet von MichaelMueller
vor 18 Stunden von stagflation:

Wenn Du vorsichtiger anlegen willst, musst Du nicht ganz so hoch gehen - aber 6-7% erwartete Rendite solltest Du hinbekommen. Zumal Deine Kosten von 0.2% etwas niedrig sind. Du musst ja Broker, Depotführung usw. bezahlen.

Ich habe mal Konservativ den MSCI World genommen, da gibt es doch einige ETFs mit 0,2-0,4% Kosten und kostenlose Sparpläne + Depot.

 

vor 18 Stunden von stagflation:

2100 € * Steuersatz - Zulagen. Negative Ergebnisse werden auf 0 aufgerundet.

Okay da habe ich eine andere Rechnung. Wo kann man das nachlesen?
Ich habe (2100 - Zulagen ) * Steuersatz

 

vor 11 Stunden von satgar:

Kurzer Einwurf: ich bin übrigens nicht für die WWK, da ich sie für zu teuer halte. Dem Alte Leipziger HFR50 Honorar-Fondstarif traue ich eine ebenso gute Performance mit niedrigeren Kosten zu.

Ich habe bisher nur ein konkretes Angebot. Wenn du andere Zahlen zum Rechnen hast, gerne her damit, macht den Vergleich doch besser :).

Sagt die der Ausschnitt zu den (Referent-)Zinsen was? Passt das so?

Diesen Beitrag teilen


Link zum Beitrag
satgar
· bearbeitet von satgar
vor 7 Minuten von MichaelMueller:

Ich habe mal Konservativ den MSCI World genommen, da gibt es doch einige ETFs mit 0,2-0,4% Kosten und kostenlose Sparpläne + Depot.

 

Okay da habe ich eine andere Rechnung. Wo kann man das nachlesen?
Ich habe (2100 - Zulagen ) * Steuersatz

 

Ich habe bisher nur ein konkretes Angebot. Wenn du andere Zahlen zum Rechnen hast, gerne her damit, macht den Vergleich doch besser :).

Sagt die der Ausschnitt zu den (Referent-)Zinsen was? Passt das so?

Ich kann die Tage mal die Alte Leipziger rechnen.

 

Zum Banksparplan und dessen Verzinsung kenn ich mich zu wenig aus. Der Auszug klingt plausibel. Was das in der Praxis aber für deine Zinsen bedeutet, kann ich nicht beantworten.

Diesen Beitrag teilen


Link zum Beitrag
Gast260614
· bearbeitet von MichaelMueller
vor 13 Minuten von satgar:

Ich kann die Tage mal die Alte Leipziger rechnen.

Top danke

 

vor 13 Minuten von satgar:

Zum Banksparplan und dessen Verzinsung kenn ich mich zu wenig aus. Der Auszug klingt plausibel. Was das in der Praxis aber für deine Zinsen bedeutet, kann ich nicht beantworten.

Zumindest sollte man das nächste Quartal einen Anstieg merken, mal schauen ob man die Info im Onlinebanking sieht.
Hier ist sogar ein Bsp, zumindest ist es nicht ganz intransparent
https://www.sparkasse.de/referenzzins.html

Diesen Beitrag teilen


Link zum Beitrag
stagflation
· bearbeitet von stagflation
vor 56 Minuten von MichaelMueller:

Okay da habe ich eine andere Rechnung. Wo kann man das nachlesen?
Ich habe (2100 - Zulagen ) * Steuersatz

 

Beispielsweise hier: https://www.finanztip.de/riester/banksparplan/#c10897

 

Zitat

Steuerersparnis - Du kannst Einzahlungen in Höhe von maximal 2.100 Euro im Jahr in der Steu­er­er­klä­rung als Sonderausgabe geltend machen. Die 175 Euro Prämie sowie etwaige Zulagen für Kinder werden von den gesparten Steuern allerdings wieder abgezogen.

 

Oder auch hier: https://www.buhl.de/steuer/ratgeber/riester-steuererklaerung/

 

Zitat

Beispiel: Sparbeträge als Sonderausgaben

 

Stefan ist Single und hat ein Einkommen in Höhe von 52.000 Euro. Ohne einen Riester-Vertrag müsste er für das Jahr 2021 eigentlich 12.776 Euro an Einkommensteuer zahlen.
In seinen Riester-Vertrag zahlt er einen Sparbetrag von 2.100 Euro im Jahr ein: 175 Euro Grundzulage und 1.925 Euro Eigenbeitrag.

Die 2.100 Euro dürfen steuerlich als Sonderausgabe abgezogen werden. Dadurch reduziert sich das zu versteuernde Einkommen auf 49.900 Euro. Auf diese Summe muss Stefan aber im Jahr 2021 nur 11.955 Euro Einkommensteuer zahlen. Die Differenz zur Situation ohne Riester-Vertrag beträgt 821 Euro.

 

Allerdings wird davon noch die Zulage abgezogen, um eine Doppelförderung zu vermeiden: Stefan bekommt daher eine Steuererstattung in Höhe von 821 Euro – 175 Euro = 646 Euro.

 

Also, wenn Du 2.100 € oder mehr einzahlst (Eigenbeitrag + Zulagen), dann ist die Formel für die Steuerersparnis:

  • 2100 € * <Dein Grenzsteuersatz> - Zulagen

Falls Du weniger einzahlst, gilt für die Steuerersparnis:

  • (Eigenbeitrag + Zulagen) * <Dein Grenzsteuersatz> - Zulagen

Falls ein negativer Betrag rauskommt, wird auf 0 aufgerundet.

Diesen Beitrag teilen


Link zum Beitrag
Gast260614

Okay dann habe ich natürlich falsch gerechnet und die Steuerersparnis bringt nicht wirklich was, muss ich anpassen.

 

 

Am 29.10.2022 um 03:24 von stagflation:

Der nächste Schritt wäre dann, dass wir den WWK Riestervertrag dazunehmen und ausrechnen, was dort passieren würde.

Ja die Rechnung mit den Kosten etc. habe ich noch nicht ganz durchschaut

Diesen Beitrag teilen


Link zum Beitrag
stagflation
· bearbeitet von stagflation
vor 6 Stunden von MichaelMueller:

Ja die Rechnung mit den Kosten etc. habe ich noch nicht ganz durchschaut

 

Das ist einfacher als Du denkst. Wir haben nämlich schon alles, was man braucht. :)

 

Du kannst die Rechnung vom Riester-Sparplan der Bank kopieren. Ändere folgendes ab:

  1. Gehe mit der Verzinsung auf die 5%, die Du auch beim ETF-Depot verwendest. Wir nehmen ja an, dass Du beim Riester-Vertrag ähnlich gute ETFs oder Fonds bekommst, wie beim eigenen ETF-Depot (vor Kosten und Steuern).
  2. Gehe mit den Kosten in der Ansparphase auf 1,63%. Das ist der Wert für "effektive Kosten" aus dem Angebot der WWK. Mehr muss man gar nicht wissen - wenn man so oder so ähnlich sparen will wie in dem Angebot. Wenn es größere Abweichungen gibt, kann man die "effektiven Kosten" nicht mehr so einfach übernehmen.

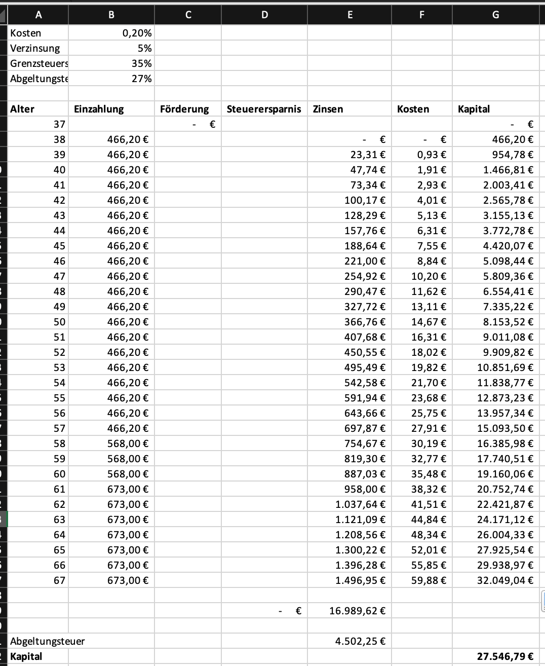
Den Rentenfaktor setzen wir beim Bank-Sparplan und bei der Riester-Versicherung auf 30. Wir behalten @satgars Einwand im Hinterkopf, dass es bei der Versicherung möglicherweise einen etwas besseren Rentenfaktor gibt. Wenn Du das berücksichtigen willst, rechne den Riester Sparplan mit einem etwas niedrigeren Rentenfaktor - z.B. 28 statt 30. Es ändert aber nicht viel am Ergebnis.

 

Bei mir kommt für die WWK Versicherung folgende Rechnung heraus:

 

image.png.b1f8e007b0ff37b9459c1ce6c6d8b4a2.png

 

Diesen Beitrag teilen


Link zum Beitrag
satgar
vor 3 Stunden von stagflation:

 

Das ist einfacher als Du denkst. Wir haben nämlich schon alles, was man braucht. :)

 

Du kannst die Rechnung vom Riester-Sparplan der Bank kopieren. Ändere folgendes ab:

  1. Gehe mit der Verzinsung auf die 5%, die Du auch beim ETF-Depot verwendest. Wir nehmen ja an, dass Du beim Riester-Vertrag ähnlich gute ETFs oder Fonds bekommst, wie beim eigenen ETF-Depot (vor Kosten und Steuern).
  2. Gehe mit den Kosten in der Ansparphase auf 1,63%. Das ist der Wert für "effektive Kosten" aus dem Angebot der WWK. Mehr muss man gar nicht wissen - wenn man so oder so ähnlich sparen will wie in dem Angebot. Wenn es größere Abweichungen gibt, kann man die "effektiven Kosten" nicht mehr so einfach übernehmen.

Den Rentenfaktor setzen wir beim Bank-Sparplan und bei der Riester-Versicherung auf 30. Wir behalten @satgars Einwand im Hinterkopf, dass es bei der Versicherung möglicherweise einen etwas besseren Rentenfaktor gibt. Wenn Du das berücksichtigen willst, rechne den Riester Sparplan mit einem etwas niedrigeren Rentenfaktor - z.B. 28 statt 30. Es ändert aber nicht viel am Ergebnis.

 

Bei mir kommt für die WWK Versicherung folgende Rechnung heraus:

 

image.png.b1f8e007b0ff37b9459c1ce6c6d8b4a2.png

 

Ich würde wieder etwas korrigieren wollen: aufgrund der 100% Beitragsgarantie und da nicht immer alles in Fonds liegen kann, wäre es vermessen anzunehmen, dass der 100% Aktien ETF Sparplan mit der gleichen Wertentwicklung performt wie die RiesterFondsversicherung. Ehrlicherweise kostet die Beitragsgarantie Rendite. Wie viel, ob man hier 1 oder 2% abzieht (oder welchen Wert auch immer), ist natürlich nicht vorhersehbar. Ich würde die Fondsversicherung mit 5% und den ETF Sparplan mit 7% rechnen.

 

Mir scheint übrigens der Steuersatz immer sehr nah beieinander. 35% in der Arbeitsphase und noch immer 30% in der Rentenphase? Mir scheint das für die Rentenphase zu hoch gegriffen. Ich hätte 20-25% „vermutet“. Anhand der gesetzlichen Rentenerwartung lässt sich ja ein bisschen ablesen, wo man da später liegen würde, dann ergänzend mit Riester. An 35 zu 30 glaube ich ehrlicherweise nicht.

Diesen Beitrag teilen


Link zum Beitrag
Gast260614

Okay einfach die 1,63% als Kosten nehmen. Baue ich mal ein. Die Parameter mal ändern und einfach rumspielen ist ja kein Problem.

Gibt es keine Abschlusskosten für einen neuen Vertrag? Also die Sparkasse nimmt 100€ bei einer Kündigung...

Diesen Beitrag teilen


Link zum Beitrag
Feranda
vor 28 Minuten von MichaelMueller:

Okay einfach die 1,63% als Kosten nehmen. Baue ich mal ein. Die Parameter mal ändern und einfach rumspielen ist ja kein Problem.

Gibt es keine Abschlusskosten für einen neuen Vertrag? Also die Sparkasse nimmt 100€ bei einer Kündigung...

Die Abschlusskosten sind in meinem Angebot doch ausgewiesen. Ist ein überschaubarer Betrag für einen Bruttotarif.

 

vor 16 Stunden von satgar:

Ich würde wieder etwas korrigieren wollen: aufgrund der 100% Beitragsgarantie und da nicht immer alles in Fonds liegen kann, wäre es vermessen anzunehmen, dass der 100% Aktien ETF Sparplan mit der gleichen Wertentwicklung performt wie die RiesterFondsversicherung.

Erfahrungsgemäß liegt bei den guten Verträgen zwischen 70 und 100% im Investment. Gut heißt "Viel Zulagen & wenig Eigenbeitrag oder Viel Kapital mitgebracht". 

Diesen Beitrag teilen


Link zum Beitrag
Gast260614
vor 14 Minuten von Feranda:

Die Abschlusskosten sind in meinem Angebot doch ausgewiesen. Ist ein überschaubarer Betrag für einen Bruttotarif.

Ah 177€ habe ich übersehen. Also würde der Wechsel 270€ Kosten

 

vor 14 Minuten von Feranda:

Erfahrungsgemäß liegt bei den guten Verträgen zwischen 70 und 100% im Investment. Gut heißt "Viel Zulagen & wenig Eigenbeitrag oder Viel Kapital mitgebracht". 

Definiere viel Zulagen ;)

Diesen Beitrag teilen


Link zum Beitrag
stagflation
vor 1 Stunde von MichaelMueller:

Okay einfach die 1,63% als Kosten nehmen. Baue ich mal ein. Die Parameter mal ändern und einfach rumspielen ist ja kein Problem.

Gibt es keine Abschlusskosten für einen neuen Vertrag? Also die Sparkasse nimmt 100€ bei einer Kündigung...

 

Die Abschlusskosten für einen neuen Vertrag sind in den Effektivkosten bereits enthalten. Die musst Du also nicht extra einrechnen.

 

vor 17 Stunden von satgar:

Ich würde wieder etwas korrigieren wollen: aufgrund der 100% Beitragsgarantie und da nicht immer alles in Fonds liegen kann, wäre es vermessen anzunehmen, dass der 100% Aktien ETF Sparplan mit der gleichen Wertentwicklung performt wie die RiesterFondsversicherung. Ehrlicherweise kostet die Beitragsgarantie Rendite. Wie viel, ob man hier 1 oder 2% abzieht (oder welchen Wert auch immer), ist natürlich nicht vorhersehbar. Ich würde die Fondsversicherung mit 5% und den ETF Sparplan mit 7% rechnen.

 

Danke für Deine Einwände. Das finde ich sehr konstruktiv. :thumbsup:

 

vor 17 Stunden von satgar:

Mir scheint übrigens der Steuersatz immer sehr nah beieinander. 35% in der Arbeitsphase und noch immer 30% in der Rentenphase? Mir scheint das für die Rentenphase zu hoch gegriffen. Ich hätte 20-25% „vermutet“. Anhand der gesetzlichen Rentenerwartung lässt sich ja ein bisschen ablesen, wo man da später liegen würde, dann ergänzend mit Riester. An 35 zu 30 glaube ich ehrlicherweise nicht.

 

Das hängt natürlich sehr von den persönlichen Verhältnissen ab. Wichtig ist, dass wir mit den Grenzsteuersätzen rechnen - und nicht mit den Durchschnittssteuersätzen.

 

image.thumb.png.cd64f3ee1736ce71b053e15089409acd.png

Quelle: https://www.sozialpolitik-aktuell.de/files/sozialpolitik-aktuell/_Politikfelder/Finanzierung/Datensammlung/PDF-Dateien/abbIII21a.pdf

 

Bei den Grenzsteuersätzen ist man sehr schnell im mittleren Zwanziger-Bereich. Aber ich hatte ja oben auch schon geschrieben, dass 30% in der Rentenphase vielleicht etwas zu hoch ist - und dass wir da etwas runter gehen können. Das hängt natürlich von den persönlichen Verhältnissen ab.

 

Für die nachgelagerte Besteuerung wäre es ideal, wenn man während des Erwerbslebens sehr gut verdient und einen Grenzsteuersatz von 42% hat - und in der Rentenphase keine Steuern mehr zahlt. Aber wer schafft das schon? ;)

Diesen Beitrag teilen


Link zum Beitrag

Erstelle ein Benutzerkonto oder melde dich an, um zu kommentieren

Du musst ein Benutzerkonto haben, um einen Kommentar verfassen zu können

Benutzerkonto erstellen

Neues Benutzerkonto für unsere Community erstellen. Es ist einfach!

Neues Benutzerkonto erstellen

Anmelden

Du hast bereits ein Benutzerkonto? Melde dich hier an.

Jetzt anmelden

×
×
  • Neu erstellen...