Zum Inhalt springen
reko

Kernenergie

Empfohlene Beiträge

reko

Es geht hier um die technische und wirtschaftliche Entwicklung der weltweiten Branche. Es geht darum Fakten zu sammeln, wahrscheinliche zukünftige Entwicklungen abzuschätzen, direkt oder indirekt zu investieren oder durch Auswirkungen auf anderer Sektoren zu profitieren.

Eine Diskussion über Moral, eine bessere Welt, ESG-Ratings und die Angstwahrnehmungen von regionalen Randgruppen (German Angst und German assertiveness) ist hier nicht erwünscht !!

 

Ich gehe davon aus, dass die Nutzung von Kernernergie zumindest außerhalb Deutschlands wieder zunehmen wird und erheblicher Ersatzbedarf besteht. Plans For New Reactors Worldwide .. About 60 power reactors are currently being constructed in 15 countries.

Uran ist als Rohstoffspekulation wieder im Gespräch (wertpapier-forum.de .. uran).

Es gibt mehrere Firmen (NuScale, Rolls-Royce, TerraPower, GE-Hitachi, Terrestrial Energy, Toshiba, X-energy, ..), die kleine modulare Reaktoren vermarkten wollen, Technology roadmap for small modular reactor deployment, IAEA 2021 pdf.

An Hochtemperaturreaktoren und Thorium wird wieder geforscht.

List_of_companies_in_the_nuclear_sector

Canadian Nuclear Safety Commission, Pre-Licensing Vendor Design Review

aris.iaea.org

 

CANDU-Reaktor, ACR-1000 .. 1000 MWe .. Development of the ACR ended

Rolls-Royce SMR .. 470 MWe .. pressurized water reactor (PWR)

   Video 2022/01 The Future of Energy: Rolls-Royce SMR Industry Talk

GE-Hitachi BWRX-300 .. 300 MWe .. Simplified Boiling Water Reactor (SBWR) .. neither external power nor operator action would be required to maintain a safe state, even in extreme circumstances.

Holtec SMR-160 .. 160 MWe, PWR

CNNC (China) ACP100 .. 125 MWe, 385 MWt PWR .. in Bau

Nuscale VOYGR .. 77 MWe, 250 MWt .. integral pressurized water reactor (PWR) that employs gravity-driven natural circulation .. fully factory-built and shipped to the plant site by truck, rail, or barge

    Video 2022/01 NuScale Small Modular Reactor – The Future of Energy is Here

ARC-100 .. 100 MWe, 286 MWt .. Sodium as Coolant .. Metal Fuel .. consumes its own waste and fuel is recycled over and over .. 99% fuel utilization drastically reduces fuel waste and storage expenses.

TerraPower .. traveling wave reactor

X-Energy .. high-temperature gas-cooled pebble-bed reactor

Ultra Save Nuclear Corporation ..  TRISO Particle Fuel

Nano Nuclear Energy .. ZEUS portable microreactor (Micro SMR 1..20MW ohne Kühlmittel und ohne Pumpen)

 

Die Kernfusion .. ist immer 20 Jahre von der Realisation entfernt. Allerdings gibt es einige bemerkenswerte Fortschritte. Neben 81 Forschungseinrichtungen gibt es in diesen Bereich auch 31 privat kapitalisierte Firmen, wenn auch m.W. nicht börsennotiert. Das meiste staatliche Forschungsgeld fließt in magnetischen Einschluß (Tokamak, Stellarator) und Trägkeitseinschluß (in USA gab es kürzlich Erfolge, die Trägheitsfusion wird auch als Miniaturisierung der Wasserstoffbombe bezeichnet). Zumeist mit Deuterium und Tritium (weil es die niedrigste Aktivierungsenergie braucht)

grafik.png.6b0bb8c3ac54c80690b1a00b0bff2f50.png

Forschungsreaktoren mit magnetischen Einschluß:  ITER, SPARC, EAST, KSTAR

mit Trägheitseinschluß:  National Ignition Facility (USA), LMJ (Frankreich), HiPER (EU)

 

Es gibt aber auch andere Fusionsverfahren und Kernreaktionen.

Magnetized_target_fusion (eine Kombination von Magneteinschluß- und Trägheitsfusion, General_Fusion),

Colliding_beam_fusion,

Field-reversed_configuration (FRC).

Interessant sind insbesondere Verfahren die kleinere Anlagen zulassen und Neutronen freie Fusionsreaktionen. Sie können Energie liefern, die keine zwingende Umwandlung in Wärme benötigt und keine Probleme mit verstahlten Anlagen hat (die bei Fusionsreaktionen mit Neutronen in einigen Jahrzehnten abklingen).

Aneutronic Fusion, The Cleanest, Greenest Fusion Energy

Aneutronic_fusion

grafik.png.2e1ed89440ea937a710d987e9e3b6502.png

 

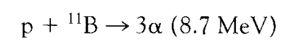
Speziell die Protonen-Bor11-Kernreaktion wäre die Lösung der Energieprobleme. Sie nutzt häufig vorkommenden Brennstoff.

grafik.png.b184b301884fa339086ed8115a8e9ede.png

Laser-driven proton-boron fusion: A way to radiation-free nuclear energy?

2019/06 New calculations show proton-boron fusion is still difficult

2022/07 Google and Chevron invest in nuclear fusion startup that’s raised $1.2 billion

TAE.com (Tri Alpha Energy) - mit Beschleuniger, basierend auf einen Konzept von 1997 der Plasma-Koryphäe Norman_Rostoker.

hb11.energy -  mit gepulsen Laser (Patent US10410752B2).

marvelfusion.com - ebenfalls mit gepulsen Laser

 

Deuterium - Helium3 (He3 ist selten, wird aus dem Zerfall von Tritium gewonnen, die D-D Nebenreaktion ist nicht Neutronen frei):

2018/10 Helium-3 vom Mond – lohnt sich das?

helionenergy.com - mit selbst erzeugten Helium3 aus Deuterium-Deuterium-Fusion und Tritium Zerfall (Patent US11049620B2), Video mit Trenta Anlage, Video2

"Helion's 6th prototype, Trenta, reached temperatures greater than 9 keV, equivalent to 104 million degrees Celsius .. Helion's 7th fusion prototype, Polaris, will demonstrate net electricity from fusion .. Our device directly recaptures electricity; it does not use heat to create steam".

 

2022/12 Nuclear Fusion Technology Could Be A $40 Trillion Market

Commonwealth Fusion Systems .. ARC tokamak power plant concept .. D–T (deuterium - tritium) fuel

General_Fusion .. magnetized target fusion .. meldet-Fusions-Erfolge

Focused Energy .. Trägheitseinschluss .. Proton Fast Ignition

 

Brennpunkte der Kernfusion, Max Planck Forschung Physik&Astronomie 2022.pdf

The global fusion industry in 2022 ..  Report 31 Seiten

World Nuclear Power Index (Kurs) DE000A0MEN58

Diesen Beitrag teilen


Link zum Beitrag
reko
slowandsteady
· bearbeitet von slowandsteady
vor 14 Stunden von reko:

Die Kernfusion .. ist immer 20 Jahre von der Realisation entfernt

Auch der kürzliche Durchbruch ist weit von einer Praxistauglichkeit entfernt. Rein theoretisch war die Energiebilanz positiv, das gilt aber nur für "durch Laser zugeführte Energie in Form von Photonen minus erzeugte Energie in Neutronen". Wenn man alleine die Stromaufnahme für die Erzeugung des Laserlichts hinzurechnet, wird es schon extrem negativ. Hier wird es erklärt, warum es zwar für Forscher interessant, aber weit von jeder Praxistauglichkeit entfernt ist: Nuclear fusion reactor 'breakthrough' is significant, but light-years away from being useful | Live Science

Bei Fusionsreaktoren hat man unter anderem noch folgende Probleme zu lösen:

  • Man müsste sehr viele gleiche Fusions-Reaktionen hintereinander durchführen, d.h. die aktuell monatelang vorbereitete durchgeführte Reaktion muss min. 10mal pro Sekunde durchgeführt werden um nennenswert Leistung zu erhalten.
  • Das Material des Reaktors wäre extrem belastet, denn die Energie wird in Form von radioaktiver Strahlung abgeführt und müsste irgendwie aufgefangen werden. Kein bekanntes Material würde extremen Bedingungen mehrmals pro Sekunde über Monate aushalten ohne Materialermüdung.
  • Man müsste ständig neue millimetergroße "Pellets" hinzufügen und die auch noch auf Millimeter genau positionieren.
  • Tritium ist auch sehr teuer und begrenzt verfügbar, besser wäre Deuterium als einziger Brennstoff, dann wird die Fusion aber noch schwerer.
  • ...

Eine Lösung wird Kernfusion solange wir leben nicht sein. In 100 Jahren vielleicht. Ich finde, wir sollten definitiv daran forschen und gerne auch mehr Budget bereitstellen (da geben wir viel sinnloser Geld aus), aber selbst wenn wir mal so weit sind, dass es irgendwann im Labor problemlos möglich sein wird, heißt das noch lange nicht, dass es kommerziell oder ökonomisch sinnvoll machbar wird.
Wir können auch mittlerweile im Teilchenbeschleuniger Gold aus anderen Elementen herstellen (woran die Alchemisten Jahrhunderte geforscht haben), ökonomisch sinnvoll ist das aber nicht.

vor 14 Stunden von reko:

Ich gehe davon aus, dass die Nutzung von Kernernergie zumindest im Ausland wieder etwas zunehmen wird

Mag sein, aber die realen Zahlen sprechen bisher nicht dafür, wir haben seit ca. 30 Jahre (Ende des kalten Kriegs) eine stagnierende Gesamtleistung weltweit. Ein Kernkraftwerke erfordert selbst in China jahrelangen Planungsvorlauf, das hilft jetzt nicht die europäische oder weltweite Energiekrise in den nächsten 5 Jahre zu lösen...

 

image.thumb.png.aaa5b674586417f635f9ebbbd6ed52e1.png

https://www.carbonbrief.org/mapped-the-worlds-nuclear-power-plants/

 

 

Diesen Beitrag teilen


Link zum Beitrag
reko
· bearbeitet von reko
Am 19.12.2022 um 09:25 von slowandsteady:

Auch der kürzliche Durchbruch ist weit von einer Praxistauglichkeit entfernt.

Das sind auch Experimente die Kernwaffentests einsparen sollten. Das Nuclear-fusion-lab hat die Energieversorgung gar nicht als Ziel. Wie man vielleicht bemerkt hat, halte ich weder das Verfahren noch die Kernreaktion für die Energieversorgung praktisch relevant. Die Versuche sind wichtig um die Physik zu verstehen. Wir waren vor 20 Jahren um viele Zehnerpotenzen vom Ziel entfernt - jetzt sind wir schon sehr nahe am Ziel. Die staatliche Großforschung wird gerade von privaten Unternehmen mit praxistauglicheren Konzepten überholt. Nicht umsonst konnte ein privates Unternehmen über eine Milliarde USD einsammeln. Das wird ein sehr lukrativer Markt auch wenn es immer noch 20 Jahre oder mehr dauern wird.

Für Beschleuniger sind 10 bis 20 keV entsprechend 100–250 Millionen Grad Celsius Aktivierungsenergie eine Kleinigkeit. Laser können inzwischen Terrawatt in Picosekunden erzeugen (Nobelpreis 2018, Chirped pulse amplification). Längere Zeit braucht man auch nicht, wenn das Plasma zündet. Der Trick ist die Pulsdauer zu verkürzen. Auch die derzeit mit Pulslasern mögliche Wiederholrate ist ausreichend.

2018/01 Laser are getting ten times more powerful every 3 years, soon Exawatt lasers will unlock fusion and more

Die eigentliche Nachricht war nicht der Energiegewinn sondern das Zünden des Plasmas beim Trägheitseinschluß.

Alternativ Heavy_ion_fusion.

 

Kernspaltung und deren Bauzeit/Baukosten ist weniger ein technisches als ein gesellschaftliches Problem. Wenn der Druck hoch genug ist, dann geht es plötzlich sehr schnell - siehe LNG-Terminals.

Diesen Beitrag teilen


Link zum Beitrag
reko
· bearbeitet von reko
vor 53 Minuten von slowandsteady:

Material des Reaktors wäre extrem belastet, denn die Energie wird in Form von radioaktiver Strahlung abgeführt

Die Energie der Deuterium-Tritium-Fusion wird zu 80% in Form kinetischer Energie von Neutronen abgeführt. Man kann die Neutronen nicht elektromagnetisch einschließen, sie nicht elektromagnetisch abbremsen und da Neutonen keinen Coulombwall überwinden müssen können sie leicht Kernreaktionen in der Reaktorwand auslösen und dann sekundäre Strahlung verursachen. Die 20% Energie in Form von Heliumkernen ist relativ leicht zu beherrschen.

Das ist aber nur ein Problem dieser speziellen Kernreaktion. Diese Reaktion ist gut für Grundlagenforschung und Atombomben aber nicht für praktische Kraftwerke.

Diesen Beitrag teilen


Link zum Beitrag
Kontron

Könnte es sein, das dies nicht stimmt?

In einem chinesischen Forschungsreaktor gelang Wissenschaftlern eine Sensation: Bei 150 Millionen Grad Celsius verschmolzen sie die Kerne zweier Atome zehn Sekunden lang.

Waren es nicht erst vor kurzen die Amis mit dem Durchbruch? 

Diesen Beitrag teilen


Link zum Beitrag
RoterZoro

So ist das in der Wissenschaft: ein Durchbruch jagt den nächsten und beflügelt den übernächsten Durchbruch.

Mal p-B mal P-Li mal Tritium und mal noch schwerere Kerne.

Meilenweit von rentablem Einsatz bleibt man nach wie vor.

 

Beeindruckend ist die Bereitschaft von privaten Investoren, in diesen Bereich, in dem noch erheblicher Forschungs und Entwicklungbedarf besteht, zu investieren.

Diesen Beitrag teilen


Link zum Beitrag
Holgerli
vor 35 Minuten von RoterZoro:

Beeindruckend ist die Bereitschaft von privaten Investoren, in diesen Bereich, in dem noch erheblicher Forschungs und Entwicklungbedarf besteht, zu investieren.

Ist es wirklich so beeindruckend? Ist es wirklich so, dass Privatinvestoren investieren?

Atomkraft in der EU wurde nur in die "grüne Taxonomie" aufgenommen, damit der farnzösische Staat AKWs finanzieren kann. Privatinestoren zu finden, um in ein AKW zu investieren, ist (fast) unmöglich.

Spanned bleibt z.B. ob und was Shell in das NuScale-Projekt investiert:

vor 20 Stunden von reko:

2022/12/14 Shell and NuScale to use nuclear power to make hydrogen

Meine Vermutung ist ja: Sollte das Mini-AKW mal gebaut werden, wird Shell, wenn denn klar ist, dass das Mini-AKW auch fertiggestellt wird maximal in den Wasserstoff-Part investieren.

Diesen Beitrag teilen


Link zum Beitrag
reko
· bearbeitet von reko
vor 1 Stunde von Kontron:

In einem chinesischen Forschungsreaktor gelang Wissenschaftlern eine Sensation: Bei 150 Millionen Grad Celsius verschmolzen sie die Kerne zweier Atome zehn Sekunden lang

Ich nehme an, das Plasma in China hat noch nicht gezündet, sonst hätte man es wohl erwähnt. Temperatur bzw Aktivierungsenergie ist nur einer von mehreren notwendigen Parametern. Die einzelnen Werte von unterschiedlichen Verfahren sind dabei schlecht vergleichbar. Insbesondere kann man thermisches Plasma des EAST-Reaktors (Tokamak) nicht mit anderen Verfahren wie z.B. am National Fusion Lab in USA mit gepulsten Lasern vergleichen (dort ist die Dichte sehr viel höher, bereits oben verlinkt: drei-faktoren-fuer-fusionsenergie).

 

2022/01 17 Minuten 120 Millionen Grad Celsius - Chinas "künstliche Sonne" stellt neuen Rekord bei der Kernfusion auf

Diesen Beitrag teilen


Link zum Beitrag
reko
· bearbeitet von reko

2022/12/21 25% of EU electricity production from nuclear sources .. In 2021, 13 EU Member States with nuclear electricity production had 106 nuclear reactors in operation

 

2022/12/22 Japan verabschiedet sich vom Atomausstieg .. Eine am Donnerstag von der Regierung beschlossene Richtlinie sieht eine Verlängerung der Laufzeit bestehender Meiler über die bisherige Begrenzung auf 60 Jahre hinaus vor. Zudem sollen Reaktoren der nächsten Generation gebaut werden, die langfristig die alten ersetzen sollen.

.. „Wir müssen die Kernenergie voll ausschöpfen“, hatte Ministerpräsident Fumio Kishida dieser Tage als Devise ausgegeben.

.. Für 27 abgeschaltete Reaktoren haben die Betreiber die Genehmigung zum Wiederanfahren beantragt.

 

2022/12/15 Further runtime extension for German nuclear plants no longer possible – EnBW .. lack nuclear fuel rods, staff and logistical preparations to uphold operations beyond the extension granted until spring. “This industry simply no longer exists in Germany, as we’ve built it back for over ten years.” .. a nuclear reactor “is not a toy train that you turn on and off and it always works,”

Diesen Beitrag teilen


Link zum Beitrag
Holgerli

Der World Nuclear Industry Status Report für 2022 fast die Situation der weltweiten Atomkraft so zusammen:

 

  • Nuclear Share Drops Below 10 Percent – Official Figures See Reactors/Capacity Peaking in 2018
  • Russia Dominates the International Market – Construction Delays Worsen
  • Fukushima: The situation onsite and offsite is far from stabilized.
  • Nuclear Power and War: Russia’s invasion of Ukraine has led to several unprecedented situations including the operation of commercial nuclear power plants during a full-scale war.
  • Decommissioning (1): The number of closed power reactors exceeded 200 for the first time at the end of 2021, reaching 204 units as of mid-2022, eight more than one year earlier.
  • Decommissioning (1): Only 22 reactors or 11 percent have been fully decommissioned; of these, only 10 units or 5 percent of all closed reactors have been returned to greenfield sites for unrestricted use.
  • Renewable Energy Marginalizes Nuclear Power: World. Investments in non-hydro renewables in 2021 totaled a record US$366 billion adding around 250 gigawatt net to the grids while operating nuclear capacity decreased by 0.4 gigawatt. In 2021, wind and solar alone reached a 10.2 percent share of gross power generation, the first time, they provided more than 10 percent of global electricity and surpassed the contribution of nuclear energy.

Wer sich mit der Situation der weltweiten Atomkraft mal neutral beschäftigen möchte, dem kann ich den WNISR, der jedes Jahr neu erscheint, nur wärmstens ans Herz legen.

Diesen Beitrag teilen


Link zum Beitrag
Gast230418
vor 5 Stunden von Holgerli:

Wer sich mit der Situation der weltweiten Atomkraft mal neutral beschäftigen möchte, dem kann ich den WNISR, der jedes Jahr neu erscheint, nur wärmstens ans Herz legen.

So politisch neutral wie die Mitglieder von Bündnis90/Die Grünen in der Frage der Kernenergie nur sein können - Ja nee ist klar. ;) :lol: 

Diesen Beitrag teilen


Link zum Beitrag
reko
· bearbeitet von reko

@Oli83 Vorurteile? Unser Klimaminister zeigt sich sehr flexibel. Es dauert nur etwas. Jetzt ist er bereits für Fracking-LNG und Carbon Capture.

Zur Klarstellung: mir ist es egal - ich stelle mich auf die wahrscheinlichsten Szenarien ein.

 

2022/11/27 Wo sogar die Grünen die Atomkraft lieben (Schweden).

2022/12/07 Das Dilemma der französischen Grünen: Wähler sind weitgehend pro-Atomkraft .. Die Anhänger:innen der französischen Grünen befürworten Kernenergie.

2022/12/08 Warum ist Atomkraft für die Finnen eine attraktive Lösung geworden? .. Die finnische Partei der Grünen ist ebenfalls nicht gegen die Kernenergie.

2022/10/14 Mehrheit der Deutschen ist für längeren AKW-Betrieb offen .. 56 Prozent der Befragten können sich einen Betrieb über das Jahr 2024 hinaus vorstellen oder sind sogar dafür.

 

Wie sieht die Umfrage nach der ersten Strom/Gas-Mangelsituation aus? Wie wenn richtig teurer Strom zur Normalität geworden ist?

2022/12/19 nuklearia-verlaengert-civey-meinungsumfrage

Civey_-_2021-05-31-2022-12-18_-_Gesamter

Diesen Beitrag teilen


Link zum Beitrag
Gast230418
vor 23 Stunden von reko:

@Oli83 Vorurteile?

Nö. :-*

vor 23 Stunden von reko:

Unser Klimaminister zeigt sich sehr flexibel. Es dauert nur etwas.

Frei nach dem Motto: Was kümmert mich mein Geschwätz von gestern? 

vor 23 Stunden von reko:

2022/11/27 Wo sogar die Grünen die Atomkraft lieben (Schweden).

2022/12/07 Das Dilemma der französischen Grünen: Wähler sind weitgehend pro-Atomkraft .. Die Anhänger:innen der französischen Grünen befürworten Kernenergie.

2022/12/08 Warum ist Atomkraft für die Finnen eine attraktive Lösung geworden? .. Die finnische Partei der Grünen ist ebenfalls nicht gegen die Kernenergie.

2022/10/14 Mehrheit der Deutschen ist für längeren AKW-Betrieb offen .. 56 Prozent der Befragten können sich einen Betrieb über das Jahr 2024 hinaus vorstellen oder sind sogar dafür.

Ich habe von den deutschen Grünen gesprochen, nicht was die anderen EGP-Mitglieder für eine Einstellung haben, aber egal. ;)

Diesen Beitrag teilen


Link zum Beitrag
reko
· bearbeitet von reko
vor 18 Minuten von Oli83:

Ich habe von den deutschen Grünen gesprochen

Die nehmen den Atomstrom lieber vom Ausland - am besten aus Atomkraftwerken direkt an der Grenze. Da fühlt man sich so viel besser. Wenn man es sich leisten kann ist dieser Luxus auch OK. Für die Atomindustrie spielt das keine Rolle.

Aber auch grüne Politiker wollen wieder gewählt werden. Dafür muß man bezahlbare Backupenergie anbieten. Ohne zumindest moderate Einsatz von Atomenergie sehe ich da auf Europaebene und erst recht auf Weltebene nur fossile Energie als Alternative.

Diesen Beitrag teilen


Link zum Beitrag
Holgerli
vor 5 Minuten von reko:

Die nehmen den Atomstrom lieber vom Ausland - am besten aus Atomkraftwerken direkt an der Grenze. Da fühlt man sich so viel besser.

Na, dann erzähl mal welche Du denn meinst. Die französischen Schrott-Meiler können es ja nicht sein, denn die laufen ja zu größeren Teilen nicht und verursachen so einen großen Teil der Stromknappheit in Europa.

Diesen Beitrag teilen


Link zum Beitrag
Cepha
· bearbeitet von Cepha
vor 1 Stunde von reko:

Die nehmen den Atomstrom lieber vom Ausland - am besten aus Atomkraftwerken direkt an der Grenze. Da fühlt man sich so viel besser. Wenn man es sich leisten kann ist dieser Luxus auch OK.

Stromaustausch von Deutschland mit seinen Nachbarländern:

 

Mit Frankreich, Tschechien und der Schweiz gabs massive Überschüsse beim Stromaustauschsaldo (also Deutschland exportierte), signifikante Importüberschüsse (relativ) kamen vor allem aus Norwegen und Dänemark.

 

Das war dann vermutlich der dänische und norwegische Atomstrom, den Du meintest.

 

Im übrigen verdient Deutschland auch seit Jahren unterm Strich Geld mit dem Stromhandel mit den Nachbarn, von wegen "sich leisten können". Ich vermute mal, im Stromhandel wird es 2022 für Deutschland ein Rekordüberschussjahr beim Geld geben.

 

image.thumb.png.a6918c04ee31772f4a50434f7f9f38cc.png

 

Grenzüberschreitende physikalische Stromflüsse zwischen Deutschland und seinen Nachbarländern in 2022

Energy-Charts.info - letztes Update: 23.12.2022, 23:33 MEZ

 

 

Diesen Beitrag teilen


Link zum Beitrag
reko
· bearbeitet von reko
vor 12 Stunden von Cepha:

Mit Frankreich, Tschechien und der Schweiz gabs massive Überschüsse beim Stromaustauschsaldo (also Deutschland exportierte), signifikante Importüberschüsse (relativ) kamen vor allem aus Norwegen und Dänemark.

Du solltest den Unterschied zwischen Saldo und Backupbedarf kennen. All der Überschuss wird das Stromnetz nicht stabilisieren. Auf die erzeugten Terrawattstunden Überschussstrom kommt es nicht an, man braucht die annähernd 100% Backupkraftwerksleistung trotzdem.

Deutschland liefert den guten Strom und Frankreich den bösen Strom. Das meinte ich mit "da fühlt man sich so viel besser". Nur leider funktioniert das Stromnetz ohne das in Deutschland nur mit Braunkohlekraftwerken vorhandene Backup nicht. Nur einfache Gemüter beruhigen ihr Gewissen mit dem Tausch von volatilen Solar/Windstrom gegen Backup-Atomstrom und dem Verkauf von Braunkohlestrom. In Frankreich beruhigt man das Gewissen mit der besseren Klimabilanz. Deutschland erzeugt pro Kopf deutlich mehr CO2 als der EU-Durchschnitt.

 

Bei Kohle wurde wieder mal ein Ausstieg beschlossen ohne zu sagen wie die Backupkapazität ersetzt werden soll. LNG wird man ausreichend nur bekommen wenn man über den Preis andere Verbraucher aus dem Markt drängt, die dann ihrerseits vor der Wahl Atom oder Kohle stehen. Wo die Kraftwerke stehen ist dem Klima und der Industrie egal. Man kann noch Wasserstoff importieren, in Deutschland fracken oder Atomkraftwerke bauen. Irgend einen Tot muß man sterben.

 

Vielleicht sollte ich doch lieber in Kohle investieren?

Weltweit werden 476 Gigawatt (GW) neue Kohlekraftwerkskapazität geplant .. the International Energy Agency said in July that coal burning was set to rise in 2022, taking it back to the record level set in 2013.

2022/12/22 Germany Revives Coal as Energy Security Trumps Climate Goals

2022/12/22 Coal, No Longer Shunned, Keeps Europe’s Lights on Through Frigid Weather .. European demand, especially in Germany and Poland, is one reason why the world is on track for record coal consumption in 2022

2022/12/19 Hier sitzt Deutschlands neuer Steinkohle-Lieferant .. Aktuelle Satellitenaufnahmen von El Cerrejón in Kolumbien zeigen, wie einer der größten Steinkohletagebaue der Welt die massiv gestiegene Nachfrage stemmt.

2022/10 Greta Thunberg calls Germany using coal over nuclear a ‘bad idea’

Diesen Beitrag teilen


Link zum Beitrag
Cepha
· bearbeitet von Cepha

Kernkraft taugt in keinster Weise als backup im Stromnetz. Frankreich hatte daher schon immer Probleme in Sondersituationen auch vor 2022.

 

In den heißen Sommern hat man das die letzten 10 Jahre nur nicht mehr gemerkt, weil das Problem die deutsche Photovoltaik quasi nebebei mit gelöst hat.

 

Im Winter war das letzte große mir bekannte französische Drama im Februar 2012. Auch da musste Deutschland aushelfen.

 

Wer backup Kraftwerke für Krisensituationen will baut Gaskraftwerke. Alte Öl- und Steinkohle KW tuns zur Not auch noch.

 

Ich mach drei Kreuzzeichen wenn unsere letzten AKW vom Netz sind und zumindest soweit abgekühlt sind, dass man sie nicht mehr wie potenzielle Bomben ständig betüteln muss.

 

Was die Nachbarn betrifft. Planen kann man bei AKW viel. Das dauert alles ewig und am Ende kommts meist doch anders.Siehe die große Atomstromoffensive in UK.

Produzierte kWh jetzt viele Jahre und Abermilliarden Pfund später: Null.

 

Bis die nächsten heute angedachten AKW tatsächlich in Tschechien, Polen & Co wirklich heiß sind ist sehr wahrscheinlich, dass längst irgendwo wieder eins in die Luft geflogen ist. Evtl. dann nicht mit soviel Dusel wie in Japan und mit dem Auslöschen einer Großstadt. 

Danach diskutiert man dann vermutlich wieder.

 

Ich bin nicht gegen AKW. In USA, China, Indien sind die mir lieber als Kohlekraftwerke. Wäre ich Greta T. aus Schweden, dann fände ich AKW in D auch besser als Braunkohle. Ich finde Forschung an Fusion auch gut. Ohne Fusion wirds im Weltall schwierig.

In D will ich die Dinger aber so schnell wie möglich endlich los haben, denn hier muss ich für Kosten, Schäden und Risiken der AKW selber bezahlen und wenn man das einrechnet ist es eine saudumme Technologie.

 

Wer da jetzt ernsthaft den Neubau in D fordert vernichtet Vermögen, erzeugt enormes Risiko und sabotiert auch noch Klimaschutz und Energiewende, denn neue AKW werden schon von der Zeitschiene keinen fossilen Strom bei uns ersetzen können. 

 

Ansonsten hab ichs ne Weile nicht verfolgt: Haben die Finnen ihren EPR jetzt zum Laufen bekommen?

Wäre dann der erste EPR, der tatsächlich funktionieren würde.

 

 

Gas gibt es prinziell mehr als genug, würde man's nicht wie blöde vergeuden so wie bei uns. (Kein Wunder, zu den Witzpreisen der letzten Jahre war das Vergeuden ja spottbillig)

 

Jede Gasheizung, die in Deutschland durch eine Wärmepumpe + Solar + Wind + Gaskraftwerk ersetzt wird spart ca. 85-90% Gas ein und liefert Flexibilität und Backupkapazität im Netz.

 

Win. Win. Win.

 

Es ist noch nicht mal sonderlich teuer (im Gegensatz zu neuen AKW)

 

Wer hingegen  mittelfristig durch AKW Strom ersetzten will und gleichzeitig Gas für Raumwärme verheizt hat es einfach nicht kapiert oder will Deutschland schaden.

Diesen Beitrag teilen


Link zum Beitrag
reko
· bearbeitet von reko
vor 27 Minuten von Cepha:

Ich bin nicht gegen AKW. In USA, China, Infien sind die mir lieber als Kohlekraftwerke.

Da sind wir wieder - not in my backyard - wer es sich leisten kann.

In diesen Faden geht es aber nicht um Deutschland.

 

vor 27 Minuten von Cepha:

Ich mach drei Kreuzzeichen wenn unsere letzten AKW vom Netz sind und zumindest soweit abgekühlt sind, dass man sie nicht mehr wie potenzielle Bomben ständig betüteln muss.

Das zeigt wie wenig verstanden die Technologie ist. Das Problem ist derzeit eher noch irgend etwas Wärme aus den Brennelementen heraus zu bekommen.

Diesen Beitrag teilen


Link zum Beitrag
Cepha
· bearbeitet von Cepha

Der Weiterbetrieb der deutschen AKW ist ja auch eher ein politisches Symbol Richtung Frankreich. Brauchen wird man die vermutlich nicht und wenn ist der Beitrag gering. Aber natürlich könnte es sein...

Ist wie mit dem Sicherheitsgurt. Meist braucht man den nicht. Wenn doch wäre es gut gewesen keinen selbst gehäkelten zu haben. Aber man kann sich Szenarien vorstellen, wo der gehäkelte Gurt gerade den Unterschied ausmacht.

 

Ich hoffe nur, keins der deutsche Rest AKW fliegt dann die nächsten Monate in die Luft. Das wäre wirklich sehr bitter, ein super GAU für ein politisches Symbol getauscht.

 

PS: Ja, bei AKW bin ich klar ein " not in my country" Typ. Für Klimaschutz ist es wichtig, die Kohlekraftwerke los zu werden, nicht AKW zu bauen.

Und die enormen Nachteil wie Kosten, Risiken, Müll, Versorgungsunsicherheit und gekochte Flüsse bezahle nun mal ich in meinem eigenen Land und nicht Greta T.

Ein AKW in Schweden tut mir auch nicht weh.

 

Wir profitieren noch nicht mal militärisch davon in Form eigener Kernwaffen, haben dafür aber mit den AKW attaktive Ziele für Gegner und Terroristen zu bieten.

 

Aber klar: Eine Bombardierung eines AKW wird es nieeee geben...

 

Diesen Beitrag teilen


Link zum Beitrag
reko
· bearbeitet von reko

German Angst. AKWs sind bei uns teuer und langwierig weil sie mit Klagen, Auflagen und Nachbesserungen sabotiert werden. Ich werde in keine Firma investieren die in Deutschland Kernkraft nutzen will. Das ist ein Faß ohne Boden.

In den meisten anderen Ländern ist das kein Problem. Deshalb sind die grünen Parteien in Europa bei dieser Frage auch gespalten.

So schlimm kann das technische Problem auch nicht sein, wenn du das auch Indien zutraust.

Es geht hier nicht um Wunschvorstellungen sondern um die wahrscheinliche zukünftige Entwicklung. Indien investiert in Kernkraft weil das ein gangbarer und bezahlbarer Weg ist. Kernkraft ist offiziell als klimaschonend anerkannt. Natürlich hat man ein Müllproblem - wie an vielen anderen Stellen auch. Es gibt einige Probleme die in absehbarer Zeit nicht gut lösbar sind. Man muß (und wird) sich entscheiden was wichtiger ist.

 

2022/12/08 India announces plans to build more nuclear power plants .. The government has given administrative and financial approval for building ten locally designed, pressurised heavy water reactors (PHWRs) in fleet mode .. The Indian government is currently building 11 reactors, with a total capacity of 8.7GW .. India currently operates 22 nuclear reactors, with a total capacity of more than 6.7GW.

2022/12/16 India gives update on nuclear construction projects

 

Indien nimmt Schwerwasserreaktoren um Natururan und Thorium nutzen zu können (auch abgebrannte Brennstäbe sind möglich). Eine bessere Nutzung des Brennmaterials führt auch zu weniger Müll.

Diesen Beitrag teilen


Link zum Beitrag
Holgerli
· bearbeitet von Holgerli
vor 1 Stunde von reko:

German Angst. AKWs sind bei uns teuer und langwierig weil sie mit Klagen, Auflagen und Nachbesserungen sabotiert werden.

Schau dir die Bauzeiten und Kosten von Flamanville 3 (Frankreich) und Olkiluoto 3 (Finnland) an. Entweder die haben die German Angst importiert oder Du hast schlicht nicht recht.

Diesen Beitrag teilen


Link zum Beitrag
reko
· bearbeitet von reko

Und trotzdem ist die Bevölkerungsmehrheit und sogar die dortige grüne Partei für Kernkraft und es werden auch weitere AKWs geplant.

Diese Planungsprobleme gibt es auch bei allen anderen Großprojekten inclusive des Stromnetzausbaus, das ist ein anderes Thema.

 

"EPR war seit 1992 von Siemens und Framatome entwickelt worden, die 2001 zur Areva S.A. fusionierten"

Solche demontierten Konzerne/Abteilungen funktionieren irgend wann nicht mehr so gut. Die x-mal eingemottete und wieder ausgegrabenen Planungen sind vor Inbetriebnahme bereits veraltet. Die ursprünglichen Planer sind vermutlich nicht mal mehr im Unternehmen. Technisch können solche Projekte in 10 Jahren abgewickelt werden - wenn nicht: verzögert wird, die Firma in Konkurs geht, umorganisiert wird oder die Planung während des Baus geändert wird. Diese don'ts kennt man alle vom Hausbau.

Wenn sich die Regularien während des Baus ändern, dann nützt die beste Planung nichts. Anders als beim Hausbau gibt es bei Kernreaktoren keinen Bestandsschutz.

how-long-does-it-take-to-build-a-nuclear-power-plant .. Cost and time overruns of the Areva EPR reactors at Olkiluoto in Finnland and Flamanville in France ..

constructiontime.png

 

Interessant, dass neuere Reaktoren in der Tendenz wieder eine geringere Bauzeit haben. "most of the young OECD reactors, <15 years old, have short construction times of around 5 years."

 

2022/12/23 Japan adopts plan to maximise use of nuclear energy

 

Deutschland als Vorbild für die Welt: 765gCO2/kWh - glaubt hier jemand ernsthaft die Welt wird unseren Beispiel folgen?

2022/12/01 Climate hypocrisy? Germany’s coal-fuelled power sector more polluting than India, China currently .. The carbon intensity of Germany’s electricity generation has exceeded 700 grams of carbon dioxide equivalent per kilowatt hour (gCO₂eq/kWh) as of November 29, 2022, and is going as high as 765 gm, due to a higher infusion of coal in the power mix.

Diesen Beitrag teilen


Link zum Beitrag
reko
· bearbeitet von reko

Die USA hat 92 Kernreaktoren und erzeugt damit 50,4% des CO2 freien Stroms. Solar und Wind schaffen es zusammen nur auf 32%. Ich halte es für undenkbar, dass die USA auf Kernenergie verzichtet. Bisher war das billige Gas das Problem der US-AKWs.

Nuclear_power_in_the_United_States

 

Die Regierung: eia.gov/energyexplained/nuclear/us-nuclear-industry

.. The two new reactors that are now under construction—Vogtle Units 3 and 4—in Georgia are expected to come online before 2023. .. new nuclear electricity generation capacity will be added in 2022, but capacity retirements and derating of some reactors will result in less total nuclear electricity generation capacity in 2050 than in 2021.

2022/04 The Biden administration will invest $6bn in keeping nuclear reactors operational

 

Der Branchenverband sagt:

2022/09 Reverse NIMBY: Residents Say Nuclear Is a “Good Neighbor”.

(Auch beim AKW Isar 2 haben sich die umliegenden Gemeinden für einen Weiterbetrieb des Reaktors ausgesprochen. Die AKW Gegner fahren oft weite Strecken zu ihren Demos.)

 

nei.org/resources/us-nuclear-plants

grafik.thumb.png.cc64842ee2d2148d43b1cb3d553bd0b0.png

nei.org/news/2022/studies-and-models-show-demand-for-adv-nuclear

Utility Survey Shows Demand for 300 Small Modular Nuclear Reactors (2022) ..

The demonstrated demand translates to..

  • More than 300 new SMRs deployed in the U.S. over the next 25 years.
  • More than 90 GW of new nuclear generation by the 2050s.
  • 90% of the current fleet expected to extend operating life to 80 years
  • Many utilities evaluating sites that currently host operating or retired coal plants.

 

US AKW Betreiber:

  • Entergy US29364G1031
  • FirstEnergy US3379321074
  • Constellation_Energy US2103711006
  • Tennessee_Valley_Authority
  • Duke_Energy US26441C2044
  • Ameren US0236081024
  • North Carolina Electric Membership Corp.
  • North Carolina Municipal Power Agency No 1
  • Piedmont Municipal Power Agency
  • Energy Northwest
  • Vistra_Corp
  • Nebraska Public Power District
  • PG&E Corp
  • American Electric Power Co Inc
  • Dalton GA (City of)
  • Southern Co
  • Municipal Electric Authority of Georgia
  • Oglethorpe Power Corp
  • DTE_Energy  US2333311072
  • South Mississippi Electric Power Association
  • Public Service Enterprise Group Inc
  • Dominion_Energy  US25746U1097
  • Gaz Métropolitain & Co LP
  • Massachusetts Municipal Wholesale Electric Co
  • Xcel_Energy  US98389B1008
  • Hudson Light & Power Dept
  • NextEra Energy Inc  US65339F1012
  • Taunton Municipal Lighting Plant
  • Long Island Power Authority
  • Old Dominion Electric Coop
  • Pinnacle West Capital Corp
  • Azusa CA (City of)
  • Banning Electric Division
  • Burbank Water & Power
  • Colton Electric Utility Dept
  • JP Morgan Chase Co.
  • Glendale Water & Power
  • Imperial Irrigation District
  • Los Angeles Dept of Water & Power
  • Pasadena Water & Power Dept
  • PNM Resources Inc
  • Riverside Public Utilities
  • Salt River Project
  • Edison_International US2810201077
  • Vernon CA (City of)
  • Berkshire Hathaway Inc
  • Austin Energy
  • CPS Energy
  • NRG Energy Inc
  • Florida Municipal Power Agency

  • Orlando Utilities Commission

  • Allegheny Electric Coop Inc

  • Talen Energy Corp

  • Santee Cooper

  • Evergy Inc

  • Kansas Electric Power Coop Inc

List_of_United_States_electric_companies

Diesen Beitrag teilen


Link zum Beitrag

Erstelle ein Benutzerkonto oder melde dich an, um zu kommentieren

Du musst ein Benutzerkonto haben, um einen Kommentar verfassen zu können

Benutzerkonto erstellen

Neues Benutzerkonto für unsere Community erstellen. Es ist einfach!

Neues Benutzerkonto erstellen

Anmelden

Du hast bereits ein Benutzerkonto? Melde dich hier an.

Jetzt anmelden

×
×
  • Neu erstellen...