Zum Inhalt springen
geldvermehrer

Auszahlplan

Empfohlene Beiträge

geldvermehrer
vor 10 Stunden von Fondsanleger1966:

Bei einem dauerhaften Privatiers-Entnahmeplan würde ich keinen Aktien-ETF verwenden. Aber @geldvermehrer scheint mir bei der Risikotragfähigkeit in einer anderen Liga zu spielen. Ich hoffe nur, dass er weiß, was er tut oder sich ansonsten einen kompetenten Honorarberater an Bord holt.

 

Vielen Dank, mit der Risikotragfähigkeit das stimmt, lediglich das Total-Ausfallrisiko (z.B. Ende des Kapitalismus, Enteignung) wäre für mich der Supergau. Die Wahrscheinlichkeit ist laut Gerd Kommer, Andreas Beck und Prof. Gierhake sehr gering und nicht höher als bei einer Immob. in Deutschland. Max. DD von über 50% gehört aus meiner Sicht zur Anlage in Aktien, dargestellt durch breit diversifizierte ETFs, dazu. (Alles zur Jahrtausendwende und 2008 am Kapitalmarkt miterlebt.  Auch das bisherige Depot war letztes Jahr 6-stellig im Minus, beunruhigt mich in keinster Weise, das ist bei Aktien die Regel, nicht die Ausnahme).

Zusammengefasst reichen mir ca. 2% Ausschüttung auf das gesamte Kapitalvermögen (Erlös aus einem geplanten Verkauf einer größeren Immob.), um so zu Leben wie bisher und auch meinen Kindern Vermögen zu hinterlassen. Ursprünglich waren dafür rein ausschüttende ETFs gedacht, aber nun wird gesplittet, für das Nießbrauchdepot kommt höchstwahrscheinlich der Vanguard All World als Ausschütter ins Depot (ja, u.a. laut Gerd Kommer braucht es rational betrachtet nicht mehrere Anbieter, Depotbanken etc.). Für das (größere) restliche Kapital, würde ich nach der heftigen Diskussion über Dividenden-ETFs auf Ausschütter verzichten und stattdessen regelmäßig Anteile verkaufen. Allerdings werde ich nun angeregt durch die hilfreichen Kommentare hier, ca. 500.000€ NICHT in ETF anlegen, sondern in Tagesgeld, Festgeld, sichere Staatsanleihen etc. und diese erstmal "Schritt für Schritt" bzw. die ersten Jahre aufbrauchen, um nicht bei größeren Kurseinbrüchen Anteile verkaufen zu müssen, wofür ihr vermutlich die Festgeldleiter etc. ins Spiel gebracht habt. Meine, vermutlich zu kurz gedachte Ansicht war bisher, ein 4% jährlicher Anteilsverkauf bei z.B. 50% Kursverlust auch bei länger anhaltender Baisse, würde langfristig nicht viel mehr an dem Gesamtvermögen für mich bzw. später meinen Kindern ändern, als eine geplante, lebenslange 2%-ige Entnahme.

Bis jetzt (und das obwohl ich auf die 60 zugehe), habe noch nie Festgeld oder sichere Staatsanleihen besessen, aber immer eine Notfallreserve etwas über der Einlagensicherung auf dem Girokonto (Gold habe ich auch im Schließfach bei der Bank, das nur am Rande). Honorarberater aktiv möchte ich nicht, allerdings habe ich Kontakt zu Gerd Kommer und Andeas Beck, beide sind für mich äußerst kompetent:thumbsup:

Und ich habe euch:)

 

Diesen Beitrag teilen


Link zum Beitrag
geldvermehrer
Zitat

Vanguard All World als Ausschütter

Komme ich dann automatisch in den elitären Vanguard-Ausschütter-Club und darf mitkämpfen:w00t:

 

Diesen Beitrag teilen


Link zum Beitrag
PaulPanther

 Wie sicher ist die Gefa Bank? Ich habe noch nie von der gehört.

Diesen Beitrag teilen


Link zum Beitrag
vanity

Dann least du vermutlich nur selten Omnibusse oder Binnenschiffe. :-*

 

Wenn man WIKI Glauben schenken darf, gehört sie der Société Générale und spielt wenigstens elternmäßig in einer der oberen Ligen. Doppelte deutsche Einlagensicherung. Ich würde da keine Probleme vermuten.

 

Damit nicht jeder selbst nachschauen muss: Aktuelle Konditionen für Auszahlpläne

 

4 Jahre: 3,3%

5 Jahre: 3,4%

6 Jahre: 3,5%

10 Jahre: 3,75%

 

(ab 10.000 €)

 

GEFA Auszahlplan

Diesen Beitrag teilen


Link zum Beitrag
PaulPanther
· bearbeitet von PaulPanther

@vanityVielen Dank für die Info....ich habe tatsächlich noch nie irgendetwas geleast.....nicht mal Schachfiguren.....grins.

 

Wie sind die Konditionen einzuschätzen? Ich weiß es gibt keine Glaskugel, oder evtl. vielleicht doch.

Diesen Beitrag teilen


Link zum Beitrag
Peter23
vor 30 Minuten von PaulPanther:

Wie sind die Konditionen einzuschätzen?

Als besser als bei allen anderen

Diesen Beitrag teilen


Link zum Beitrag
Glory_Days
· bearbeitet von Glory_Days
vor einer Stunde von Glory_Days:

Die optimale Entnahme-Regel unter der Annahme konstanter relativer Risikoaversion wurde bereits 1969 von Samuelson/Merton hergeleitet und ist weiterhin gültig:

Zitat

C*(t) = 1/(T-t) * W(t)

C*(t) = Optimal Consumption per Unit Time at Time t
W(t) = True Total Wealth at Time t [=present value of the sum of liquid assets available today and future assets]

T = Expected Lifetime / Time Horizon

vor einer Stunde von Sapine:

Weder halte ich die konstante Risikoaversion für ein Naturgesetz noch kann ich diese Formel praxisrelevant interpretieren - aber lass uns das bitte woanders diskutieren.

Die Formel wurde unter der Voraussetzung konstanter relativer Risikoversion hergeleitet, ist aber natürlich für jeden beliebigen Wert gültig (d.h. der investierte risikoreiche Anteil am True Total Wealth kann im Zeitverlauf bei Veränderung der Risikoaversion angepasst werden). Die optimale Entnahmerate ist insbesondere komplett unabhängig vom konkreten Wert von dieser. Die Idee ist hier, dass der investierte risikoreiche Anteil am True Total Wealth (= Barwert der Summe aller liquiden und zukünftiger Assets) durchgehend konstant gehalten wird (und damit das Sequence of Returns Risiko komplett ausgeschaltet wird) - nicht nur während der Ansparphase, sondern auch während der Entnahmephase und dass es u.a. eine Rückkopplung von Entnahmen auf die Höhe zukünftiger Entnahmeraten gibt durch die Proportionalität der optimalen Entnahmerate zum True Total Wealth W(t).

Beispiel:
T = 85 Jahre

t = 70 Jahre

 

C*(t) = 1/(85 - 70) * W(t) = 1/15 * W(t)

 

D.h. im Alter t = 70  sollte 1/15 des True Total Wealth W(t) verkonsumiert werden. Das reduziert W(t) um die Höhe der Entnahme, andererseits beinhaltet die Funktion W(t) alle zeitabhängigen Wertschwankungen des True Total Wealth. Die Formel geht von Kapitalverzehr aus, d.h. W(T) = 0.

 

Siehe auch:
https://en.wikipedia.org/wiki/Merton's_portfolio_problem

Diesen Beitrag teilen


Link zum Beitrag
Euronensammler

Daher würde sich ein sinnvoller Auszahlplan für Fonds nicht durch einen monatlichen Betrag, sondern durch einen monatlichen Verkauf von 1/n-tel Fondsanteilen definieren. Damit ist sichergestellt, dass der Auszahlplan bis zum definierten Ende reicht. Z.B. biste 65 und willst bis 95 leben, dann verkaufts du monatlich 1/240-stel deiner Fondsanteile.

Leider kenne ich keine Bank, die solche Auszahlpläne anbietet.

 

Diesen Beitrag teilen


Link zum Beitrag
Sapine

1/n Fondsanteile ist auch nicht korrekt sondern 1/n des Vermögens käme eher hin, wenn ich es auf den ersten Blick richtig verstehe.

 

Muss ich nach dieser Formel jedes Jahr den Barwert und die Entnahme neu berechnen? Wo wird die Inflation berücksichtigt? Sorry ich verstehe noch überwiegend Bahnhof. 

Diesen Beitrag teilen


Link zum Beitrag
Glory_Days
· bearbeitet von Glory_Days
vor 11 Stunden von Sapine:

1/n Fondsanteile ist auch nicht korrekt sondern 1/n des Vermögens käme eher hin, wenn ich es auf den ersten Blick richtig verstehe.

 

Muss ich nach dieser Formel jedes Jahr den Barwert und die Entnahme neu berechnen? Sorry ich verstehe noch überwiegend Bahnhof. 

1/n Fondsanteile wäre nur richtig, wenn der risikoreiche Anteil am True Total Wealth 100% betragen würde, d.h. die 1/n müssen noch mit dem gemäß individueller Risikoaversion definierten Anteil der risikoreichen Anlage am True Total Wealth multipliziert werden. In Merton's Portfolio Problem wird von einem Two-Asset Modell ausgegangen (risikofreie und risikoreiche Anlage). Die sichere risikofreie Rendite wird dabei als konstant angenommen (Var r = 0) und die stochastische Rendite des risikobehafteten Portfolio-Anteils wird als zeitabhängige Zufallsvariable g(t) modelliert, die einem Wiener Prozess mit konstantem Drift-Term (mu_a - sigma^2/2) unterliegt.

Genau, du müsstest nach dieser Formel jedes Jahr zunächst den aktuellen Barwert W(t) aus der Summe der liquiden + zukünftigen Assets berechnen und die restliche Zeitspanne (T -t) entsprechend anpassen. Das ist relativ trivial und führt zum optimalen Ergebnis, wenn der berechnete Barwert wirklich alle Assets umfasst (also z.B. auch zukünftige Rentenzahlungen/Versicherungsleistungen etc.).

Diesen Beitrag teilen


Link zum Beitrag
Sapine

Aber die Annahmen sind alles andere als trivial und die Entnahmen sicher auch nicht kontinuierlich steigend. Pläne machen ist damit schwer. 

Zitat

Die risikofreie Rendite und die Rendite sowie Volatilität der risikobehafteten Anlageform werden dabei als konstant angenommen.

 

Diesen Beitrag teilen


Link zum Beitrag
Glory_Days
· bearbeitet von Glory_Days
vor 10 Stunden von Sapine:

Aber die Annahmen sind alles andere als trivial.

Die Annahme eines Wiener Prozesses ist notwendig, um hier überhaupt analytisch rechnen zu können ('Somewhat surprisingly for an optimal control problem, a closed-form solution exists.'). Es sind Annahmen, die Anleger bei jeder Anlage typischerweise haben und die als Parameter des Modells natürlich jederzeit in der Formel für den optimalen risikoreichen Anteil anpassbar sind. Sobald du hier eine Zeitabhängigkeit einführst, wird das Problem extrem komplex und ließe sich wohl nur noch numerisch lösen.

 

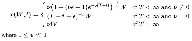
Ich stelle mir gerade noch die Frage, unter welcher Voraussetzung ν = 0 in der Formel für die optimale Entnahmerate gilt:
 

grafik.png.db342a532621d51295e7dda78498fd9c.png

Diesen Beitrag teilen


Link zum Beitrag
kr@utg
vor 26 Minuten von Glory_Days:

Genau, du müsstest nach dieser Formel jedes Jahr zunächst den aktuellen Barwert W(t) aus der Summe der liquiden + zukünftigen Assets berechnen und die restliche Zeitspanne (T -t) entsprechend anpassen. Das ist relativ trivial und führt zum optimalen Ergebnis, wenn der berechnete Barwert wirklich alle Assets umfasst (also z.B. auch zukünftige Rentenzahlungen/Versicherungsleistungen etc.).

 In Prof. Webers neusten Buch gibt es eine mögliche Berechnung (Annuitätenformel) für einen Auszahlungsplan.

Diesen Beitrag teilen


Link zum Beitrag
Glory_Days
· bearbeitet von Glory_Days
vor 10 Stunden von Glory_Days:

Ich stelle mir gerade noch die Frage, unter welcher Voraussetzung ν = 0 in der Formel für die optimale Entnahmerate gilt:
 

grafik.png.db342a532621d51295e7dda78498fd9c.png

ν = 0 scheint wohl nur unter der Annahme der Bernoulli logarithmic utility (γ = 0 im Paper bzw. γ = 1 bei Wikipedia) und einer instantaneous utility function zu gelten:

Zitat

An important result is the confirmation of the theorem proved by Samuelson, for the discrete-time case, stating that, for iso-elastic marginal utility, the portfolio-selection decision
is independent of the consumption decision. Further, for the special case of Bernoulli logarithmic utility (γ = 0), the separation goes both ways, i.e., the consumption decision is independent of the financial parameters and is only dependent upon the level of wealth [and the portfolio-selection decision is independent of the consumption decision]. This is a result of two assumptions:
(1) constant relative risk-aversion (iso-elastic marginal utility) which implies that one's attitude toward financial risk is independent of one's wealth level, and

(2) the stochastic process which generates the price changes (independent increments assumption of the Wiener process).

With these two assumptions, the only feedbacks of the system, the price change and the resulting level of wealth, have zero relevance for the portfolio decision and hence, it is constant.

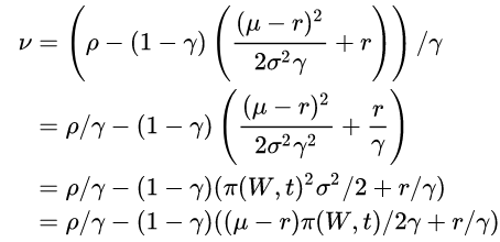
Bei konstant relativer Risiko-Aversion (RRA) (d.h. iso-elastic marginal utility) ist der (optimale) risikoreiche Anteil am True Total Wealth also immer unabhängig von der (optimalen) Entnahmeentscheidung (egal wie hoch die RRA eines Anlegers ist). Die Umkehrung (d.h. die Unabhängigkeit der (optimalen) Entnahmeentscheidung vom (optimalen) risikoreichen Anteil) gilt aber nur im Spezialfall der Bernoulli logarithmic utility (U(C) = Log(C), d.h. der Fall γ = 0, bzw. RRA = 1). In diesem Spezialfall gilt ν = ρ, wobei ρ die subjective rate of time preference darstellt. Merton untersucht in seinem Paper aus dem Jahr 1969 den Fall einer instantaneous utility function (reine Gegenwartspräferenz, d.h. das Limit eines hohen Diskontierungszins), womit ρ -> 0 und damit auch ν -> 0. Die optimale Entnahmeregel ist damit in diesem Limit unabhängig von der erwarteten Rendite/Volatilität der Zukunft (in diesem Grenzfall gleichen sich der sogenannte Einkommens- und der Substitutionseffekt gerade gegenseitig aus).

Eine RRA = 1 bedeutet typischerweise eine optimale konstante risikoreiche Anlagequote am True Total Wealth von >100%, da diese gegeben ist durch

grafik.png.fa8eb7e09c02bb4c97c6fcc05b5efedb.png

wobei (a -r) die (arithmetische) Exzess-Rendite der risikoreichen Anlage gegenüber der risikofreien Anlage ist, σ^2 die Varianz der risikoreichen Anlage und δ die RRA. Ayres und Nalebuff geben den Quotienten in ihrem Life Cycle Investing-Buch für US-Daten von 1926 - 2008 mit w* = 1.15 / RRA an, der oben genannte Speziallfall von logarithmischer Utility würde unter diesen Voraussetzungen also zu w* = 115% risikoreicher Anlage führen.

 

Jenseits dieses Spezialfalls der Bernoulli logarithmic utility (RRA = 1) bzw. für beliebige RRA ist die optimale Entnahme-Forme dann leider doch etwas komplizierter, da hier der ν-Term auch von der RRA, der erwarteten Rendite/Volatilität und der risikofreien Rendite abhängig ist:

 

grafik.png.56f561a98ea8a9fa06c00f10b763b247.png

vor 10 Stunden von Sapine:

Aber die Annahmen sind alles andere als trivial und die Entnahmen sicher auch nicht kontinuierlich steigend. Pläne machen ist damit schwer. 

Zitat

Die risikofreie Rendite und die Rendite sowie Volatilität der risikobehafteten Anlageform werden dabei als konstant angenommen.

Ich muss meine Aussage von oben korrigieren (siehe auch mein Edit oben):

Die sichere risikofreie Rendite (Var r = 0) wird in Mertons Modell als konstant angenommen und die (stochastische) Rendite des risikobehafteten Portfolio-Anteils wird als zeitabhängige Zufallsvariable g(t) modelliert, die einem Wiener Prozess mit konstantem Drift-Term (mu_a - sigma^2/2) unterliegt.

vor 10 Stunden von kr@utg:

 In Prof. Webers neusten Buch gibt es eine mögliche Berechnung (Annuitätenformel) für einen Auszahlungsplan.

Für Mertons Modell oder unter welchen Voraussetzungen?

Diesen Beitrag teilen


Link zum Beitrag
geldvermehrer
vor 14 Stunden von Euronensammler:

Daher würde sich ein sinnvoller Auszahlplan für Fonds nicht durch einen monatlichen Betrag, sondern durch einen monatlichen Verkauf von 1/n-tel Fondsanteilen definieren. Damit ist sichergestellt, dass der Auszahlplan bis zum definierten Ende reicht. Z.B. biste 65 und willst bis 95 leben, dann verkaufts du monatlich 1/240-stel deiner Fondsanteile.

Leider kenne ich keine Bank, die solche Auszahlpläne anbietet.

 

Ich versteh nicht mal das, wieso 1/240-stel der Fondsanteile:wacko:

Diesen Beitrag teilen


Link zum Beitrag
chirlu
· bearbeitet von chirlu
vor 9 Minuten von geldvermehrer:
vor 14 Stunden von Euronensammler:

Z.B. biste 65 und willst bis 95 leben, dann verkaufts du monatlich 1/240-stel deiner Fondsanteile.

Ich versteh nicht mal das, wieso 1/240-stel der Fondsanteile:wacko:

 

Es war wohl auch ein Rechenfehler, und 1/360 war gemeint.

Diesen Beitrag teilen


Link zum Beitrag
geldvermehrer
Zitat

Die Idee ist hier, dass der investierte risikoreiche Anteil am True Total Wealth (= Barwert der Summe aller liquiden und zukünftiger Assets) durchgehend konstant gehalten wird (und damit das Sequence of Returns Risiko komplett ausgeschaltet wird) - nicht nur während der Ansparphase, sondern auch während der Entnahmephase

Für mich verständlich und praxisnah ist das hier erklärt: https://www.finanzen-erklaert.de/sequence-of-return-risk/

 

Zitat

Aufgrund der Unkenntnis welches Schicksal uns in den ersten Jahren der Entnahmephase ereilt, entscheiden wir uns für eine möglichst geringe und damit konservative Entnahmerate. Wer beispielsweise für den Ausbruch einer Weltwirtschaftskrise analog zu der von 1929 einen Tag nach Beginn der Entnahmephase gerüstet sein will, der soll nur 2,6% p.a. entnehmen. Andernfalls droht die Pleite. Wer aber nach ca. 5 Jahren Entnahmephase von einem solchen Ereignis verschont geblieben ist, der darf seine persönliche Entnahmerate näher in Richtung der bisherigen erzielten Rendite bringen. In jedem Fall kann nach einem erfolgreichen Start in die Entnahmephase der ex-ante risikobehafteten 4%-Regel mit gutem Gewissen gefolgt werden. Diese Erkenntnis hilft, den Ruhestand in Eigenregie bis ins hohe Alter bei voller Entspanntheit genießen zu können.

Was aber u.a. für mich offen bleibt:

1. Mit welcher Wahrscheinlichkeit ist nach 30 Jahren und jährlich gleichbleibender Entnahme von 2% des Anfangskapitals von z.B. 5 Mio € eines mit durchschnittlich 7% p.a. rentierlichem Weltportfolio das Anfangsvermögen noch vorhanden (bzw. gerne vermehrt)?

2. Inwiewieweit erhöht folgende Vorgehensweise die Wahrscheinlichkeit auf den Erhalt/Vermehrung des Anfangsvermögen von z.B. 5 Mio €:

Anlage nur 4,5 Mio € in ein Weltportfolio und Anlage 500.000€ in Auszahlplan z.B. von der hier genannten GEFA-Bank auf 7 Jahre, danach sind zwar diese 500.000€ aufgezehrt, aber es wurden dafür 7 Jahre keine Anteile vom Weltportfolio verkauft.

vor 23 Minuten von chirlu:

 

Es war wohl auch ein Rechenfehler, und 1/360 war gemeint.

Hoffentlich:lol:

Diesen Beitrag teilen


Link zum Beitrag
Glory_Days
· bearbeitet von Glory_Days
Am 19.2.2023 um 13:52 von geldvermehrer:

Für mich verständlich und praxisnah ist das hier erklärt: https://www.finanzen-erklaert.de/sequence-of-return-risk/

Bei konstant hohem prozentualen Anteil des True Total Wealths in risikoreicher Anlage wird das SoRR ausgeschaltet (das gilt für jeden Zeitpunkt, d.h. unabhängig ob in Anspar- oder Entnahmephase):
grafik.thumb.png.f33dce7d528ffa37e0899f272a9c2a8b.png

mit W(n) = True Total Wealth zu Beginn der n-ten Periode, w* = Konstanter proz. Anteil des True Total Wealth in risikoreicher Anlage, R_1...R_n = periodische Renditen des risikoreichen Anteils und R_f,1...R_f,n = periodische Renditen des risikofreien Anteils. Die Renditen können in dieser Formel beliebig vertauscht werden, ohne dass sich das Ergebnis verändert, solange w* nach jeder Periode konstant gehalten wird. Der optimale risikoreiche Anteil w* ist dabei unter der Annahme konstanter relativer Risikoaversion komplett unabhängig von der optimalen Entnahmeregel. Die Umkehrung für die optimale Entnahme (also die Unabhängigkeit der optimalen Entnahmeregel vom optimalen risikoreichen Anteil) gilt im Allgemeinen nicht (bzw. nur für den oben beschriebenen Spezialfall logarithmischer Utility).

 

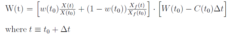
Entnahmen in der Entnahmephase werden durch eine Reduktion des True Total Wealths in Mertons Modell in der Budget-Equation entsprechend berücksichtigt:

grafik.png.2cec7d9369becb71f80e28f7a41c586c.png


wobei X(t) bzw X_f(t) hier den Preis der risikobehafteten und risikoreichen Anlage zur Zeit t angibt und damit z.B. X(1)/X(0) = 1 + R_1 gilt. w(t_0) ist in dieser Budget-Gleichung noch allgemein zeitabhängig angegeben und muss für die optimalen risikoreiche Anlageregel durch das konstante w* von oben ersetzt werden. C(t_0) ist die Entnahme je Zeiteinheit zu Beginn der Periode und muss für die optimale Entnahmeregel durch die in #41 angegebene Formel ersetzt werden.


D.h. alleine durch Einhalten eines konstant hohen prozentualen Anteils der risikoreichen Anlage am True Total Wealth (durch Rebalancing zu Beginn der Perioden) wird das SoRR ausgeschaltet.

Diesen Beitrag teilen


Link zum Beitrag
geldvermehrer

@Glory_Days Danke, wie wäre dann deine Antwort auf Frage 1 (Erhalt dann vermutlich 100% wahrscheinlich?) und Frage 2?

Gerne ohne ausführliche Begründung, wenn möglich ohne Formel etc., am besten so einfach wie möglich^_^

Diesen Beitrag teilen


Link zum Beitrag
Glory_Days
· bearbeitet von Glory_Days
vor 30 Minuten von geldvermehrer:

@Glory_Days Danke, wie wäre dann deine Antwort auf Frage 1 (Erhalt dann vermutlich 100% wahrscheinlich?) und Frage 2?

Gerne ohne ausführliche Begründung, wenn möglich ohne Formel etc., am besten so einfach wie möglich^_^

Ich habe mich jenseits dieser optimalen Regeln von Merton noch nicht tiefgründiger damit beschäftigt, da das für mich selbst erst in Jahrzehnten relevant werden wird.

Zitat

1. Mit welcher Wahrscheinlichkeit ist nach 30 Jahren und jährlich gleichbleibender Entnahme von 2% des Anfangskapitals von z.B. 5 Mio € eines mit durchschnittlich 7% p.a. rentierlichem Weltportfolio das Anfangsvermögen noch vorhanden (bzw. gerne vermehrt)?

2. Inwieweit erhöht folgende Vorgehensweise die Wahrscheinlichkeit auf den Erhalt/Vermehrung des Anfangsvermögen von z.B. 5 Mio €:

Anlage nur 4,5 Mio € in ein Weltportfolio und Anlage 500.000€ in Auszahlplan z.B. von der hier genannten GEFA-Bank auf 7 Jahre, danach sind zwar diese 500.000€ aufgezehrt, aber es wurden dafür 7 Jahre keine Anteile vom Weltportfolio verkauft.

Offensichtlich geht Mertons Modell von vollständigem Kapitalverzehr aus - oder anders ausgedrückt: Im Modell ist kein Nutzen (Utility) verbunden mit positivem Total Wealth W(t) > 0  für t > T.  Man kann natürlich die Lebenserwartung T -> Unendlich gehen lassen und landet dann in der untersten Zeile in #43 für die optimale Entnahmeregel c(W, t). Mit Hilfe der subjective rate of time preference ρ kann man dann selbst ein beliebiges Maß für die Mortalitätsrate festlegen (antiproportional zur Lebenserwartung), aber das wäre nur ein Workaround und kein echter steuerbarer Kapitalerhalt.

Diesen Beitrag teilen


Link zum Beitrag
geldvermehrer

Verstehe, könntest du dir vielleicht den Artikel https://www.finanzen-erklaert.de/sequence-of-return-risk/ ansehen und ohne Mertons Modell auf das Fazit, Sequence of Return Risk – die ersten 5 Jahre sind entscheidend, in Bezug auf meine 2 Fragen eingehen?

Diesen Beitrag teilen


Link zum Beitrag
Glory_Days
vor 1 Stunde von geldvermehrer:

Verstehe, könntest du dir vielleicht den Artikel https://www.finanzen-erklaert.de/sequence-of-return-risk/ ansehen und ohne Mertons Modell auf das Fazit, Sequence of Return Risk – die ersten 5 Jahre sind entscheidend, in Bezug auf meine 2 Fragen eingehen?

Diese Fragen ließen sich wohl am besten mit Monte-Carlo Simulationen beantworten, bei der eine zufällige Abfolge von Renditen anhand einer vorgegebenen Wahrscheinlichkeitsverteilung verwendet wird und daraus eine Statistik erzeugt wird. Sobald das SoRR eine Rolle spielt, spielt der konkrete Pfad eine Rolle. Um Wahrscheinlichkeiten als Antwort zu bekommen, musst du entweder eine Wahrscheinlichkeitsverteilung definieren, oder du wertest historische Zeitreihen aus und schaust dir relative Häufigkeiten an.

Das ist aber alles nicht-trivial und da mich das Problem aktuell nicht betrifft, werde ich diese Form von Rechnungen zum jetzigen Zeitpunkt nicht durchführen. Sicherlich gibt es aber Leute, die das bereits getan und zur Verfügung gestellt haben. Da müsstest du einfach mal nach den hier genannten Stichworten oder Papern schauen.

Diesen Beitrag teilen


Link zum Beitrag
Euronensammler
· bearbeitet von Euronensammler
vor 5 Stunden von chirlu:
vor 6 Stunden von geldvermehrer:
vor 20 Stunden von Euronensammler:

Z.B. biste 65 und willst bis 95 leben, dann verkaufts du monatlich 1/240-stel deiner Fondsanteile.

Ich versteh nicht mal das, wieso 1/240-stel der Fondsanteile:wacko:

 

Es war wohl auch ein Rechenfehler, und 1/360 war gemeint.

Yepp, sorry, (müder-Kopf-)Rechenfehler kurz vor dem Zubettgehen.

 

Derzeit orientiere ich mich tatsächlich an 1/n, um mein Potenzial ungefähr im Blick zu haben. Da noch größere Investitionen/Ausgaben, wie Umzug, neuer PKW, Weltreise(n), etc. anstehen, werde ich nicht mit einer semi-konstanten Entnahmerate leben können. Mal brauch' ich deutlich mehr, meistens weniger.

Diesen Beitrag teilen


Link zum Beitrag
geldvermehrer
vor einer Stunde von Glory_Days:

Diese Fragen ließen sich wohl am besten mit Monte-Carlo Simulationen beantworten, bei der eine zufällige Abfolge von Renditen anhand einer vorgegebenen Wahrscheinlichkeitsverteilung verwendet wird und daraus eine Statistik erzeugt wird. Sobald das SoRR eine Rolle spielt, spielt der konkrete Pfad eine Rolle. Um Wahrscheinlichkeiten als Antwort zu bekommen, musst du entweder eine Wahrscheinlichkeitsverteilung definieren, oder du wertest historische Zeitreihen aus und schaust dir relative Häufigkeiten an.

Das ist aber alles nicht-trivial und da mich das Problem aktuell nicht betrifft, werde ich diese Form von Rechnungen zum jetzigen Zeitpunkt nicht durchführen. Sicherlich gibt es aber Leute, die das bereits getan und zur Verfügung gestellt haben. Da müsstest du einfach mal nach den hier genannten Stichworten oder Papern schauen.

Danke dir, da werde ich dann mal googelnB-)

Diesen Beitrag teilen


Link zum Beitrag
geldvermehrer

Es ist genau so wie du geschrieben hast, SoRR ist in der Auszahlplan ein nicht zu unterschätzendes Risiko und es ist nicht-trivial:huh:

Diesen Beitrag teilen


Link zum Beitrag

Erstelle ein Benutzerkonto oder melde dich an, um zu kommentieren

Du musst ein Benutzerkonto haben, um einen Kommentar verfassen zu können

Benutzerkonto erstellen

Neues Benutzerkonto für unsere Community erstellen. Es ist einfach!

Neues Benutzerkonto erstellen

Anmelden

Du hast bereits ein Benutzerkonto? Melde dich hier an.

Jetzt anmelden

×
×
  • Neu erstellen...