Zum Inhalt springen
dev

Der große Coronavirus-Thread!

Empfohlene Beiträge

Bast
vor 8 Minuten von bondholder:

Werden diese letalen Fälle in "Natur und Heilen" vorgestellt?

Dafür ist in N&H kein Platz. Der wird dafür gebraucht, um Schwurbel-Expert*innen wie Prof. Kämmerer aus Würzburg Gehör zu verschaffen.

vor 13 Stunden von pillendreher:

Landser-Heftl für Esoteriker

ist sehr treffend. 

Diesen Beitrag teilen


Link zum Beitrag
Noch_Neu_Hier

Und nun wird schon diskutiert, ob die 2. Impfung nicht nach hinten verschoben werden kann, damit mehr Erstimpfungen durchgeführt werden können.

 

Werden hier die Zulassungskriterien umgangen?:news:

Diesen Beitrag teilen


Link zum Beitrag
Gast231208
· bearbeitet von pillendreher

Nö - so was nennt man (Natur-)Wissenschaft.

Was man weiß ist nur der Stand der aktuellen Forschung. Dies wird tagtäglich auf den Prüfstand gestellt, überprüft und korrigiert.

Vielleicht stellt sich sogar heraus, dass der Biontech-Impfstoff hinreichend lange bei Kühlschranktemperatur lagerfähig ist oder dass sogar nur eine Impfung ausreicht.

Vielleicht stellt sich aber auch in einigen Monaten heraus, dass die ganze Impferei keinen signifikanten Nutzen bringt.

 

„Wenn wir wüssten, was wir tun, würde das nicht Forschung heißen, oder?“

 Albert Einstein

 

PS (weil's passt)

„Google ist kein Synonym für Forschung.“

Dan Brown

 

 

Diesen Beitrag teilen


Link zum Beitrag
UKFreund
vor 24 Minuten von Noch_Neu_Hier:

Und nun wird schon diskutiert, ob die 2. Impfung nicht nach hinten verschoben werden kann, damit mehr Erstimpfungen durchgeführt werden können.

 

Werden hier die Zulassungskriterien umgangen?:news:

Es ist die Frage, wie groß der Schutz nach der ersten Impfung ist. Ich vermute, dass man bei einer Effizienz von 50% nach der ersten und 90% nach der zweiten Impfung so tatsächlich eine schnellere Immunität in der Population erzielen kann. Allerdings ist mir unklar, ob BioNTech diesbezüglich aussagekräftige Daten geliefert hat.

Diesen Beitrag teilen


Link zum Beitrag
Bast
· bearbeitet von Bast
vor 6 Minuten von UKFreund:

Es ist die Frage, wie groß der Schutz nach der ersten Impfung ist.

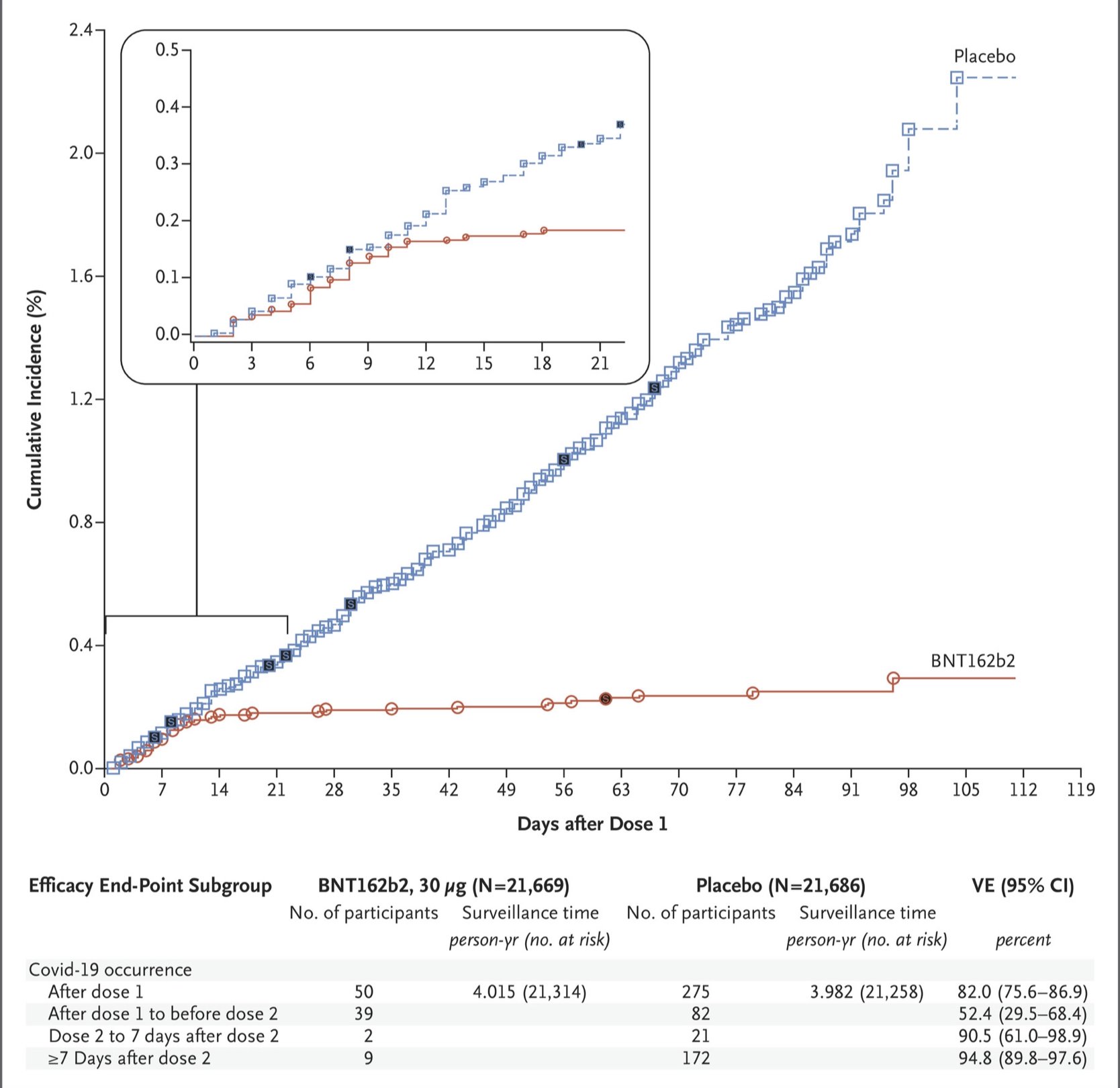
Die Effizienz ist ab Tag 12 nach der ersten Dosis gegeben:

EAE9AB19-F511-463F-9A8D-8FD913A6D278.thumb.jpeg.9c282a08b5b40b412784c93428428e7a.jpeg

https://www.nejm.org/doi/full/10.1056/NEJMoa2034577

 

 

Diesen Beitrag teilen


Link zum Beitrag
UKFreund
vor 5 Minuten von Bast:

Die Effektivität ist ab Tag 12 nach der ersten Dosis gegeben:

 

https://www.nejm.org/doi/full/10.1056/NEJMoa2034577

 

 

In der Studie gibt es keine Personen, die nur eine Impfung erhalten haben. Man kann die Effizienz vielleicht sehr grob über den Unterschied der Anzahlen von Tag 11 bis Tag 21 schätzen. Hier sehe ich in der Behandlungsgruppe 4 und in der Kontrollgruppe 10 Fälle. Dann wäre der Punktschätzer für die Effizienz etwas größer als 50%?

Diesen Beitrag teilen


Link zum Beitrag
chirlu
vor 4 Minuten von UKFreund:

Man kann die Effizienz vielleicht sehr grob über den Unterschied der Anzahlen von Tag 11 bis Tag 21 schätzen.

 

Das ist der Punkt, ja. Deshalb auch die Ausschnittsvergrößerung.

 

We reject the null hypothesis based on the 'hot damn, check out this chart' test.

Diesen Beitrag teilen


Link zum Beitrag
Gast231208

Zwölf statt drei Wochen

Zitat

 

https://www.tagesschau.de/inland/debatte-impfdosis-101.html

Großbritannien hatte am Mittwoch dem Impfstoff des britisch-schwedischen Pharmakonzerns AstraZeneca und der Universität Oxford als zweitem Impfstoff nach dem Biontech/Pfizer-Präparat eine Notfallzulassung erteilt. Gleichzeitig empfahl der Ausschuss, für beide Impfstoffe vorerst möglichst vielen Menschen nur die erste Impfdosis zu verabreichen. Die zweite Dosis solle innerhalb von zwölf statt der ursprünglich vorgesehenen etwa zwei bis vier Wochen gespritzt werden.

Viele britische Experten begrüßten die Entscheidung als vernünftigen Ansatz, der Impfstoffknappheit zu begegnen. Sie wiesen aber auch darauf hin, dass die Wirksamkeit nach der ersten Dosis geringer ist und beobachtet werden müsse, ob sich die Strategie wirklich bewähre.

Peter Kremsner, Direktor des Instituts für Tropenmedizin an der Eberhard Karls Universität Tübingen, hält den britischen Ansatz grundsätzlich für sehr sinnvoll. "Wenn der Effekt der ersten Impfung mit der Zeit nicht schnell abnimmt, dann könnte die zweite Impfung auch noch später stattfinden, zum Beispiel erst nach sechs Monaten. Das wissen wir noch nicht. Bei anderen Impfstoffen wird das auch so gemacht."

 

 

Diesen Beitrag teilen


Link zum Beitrag
Bast

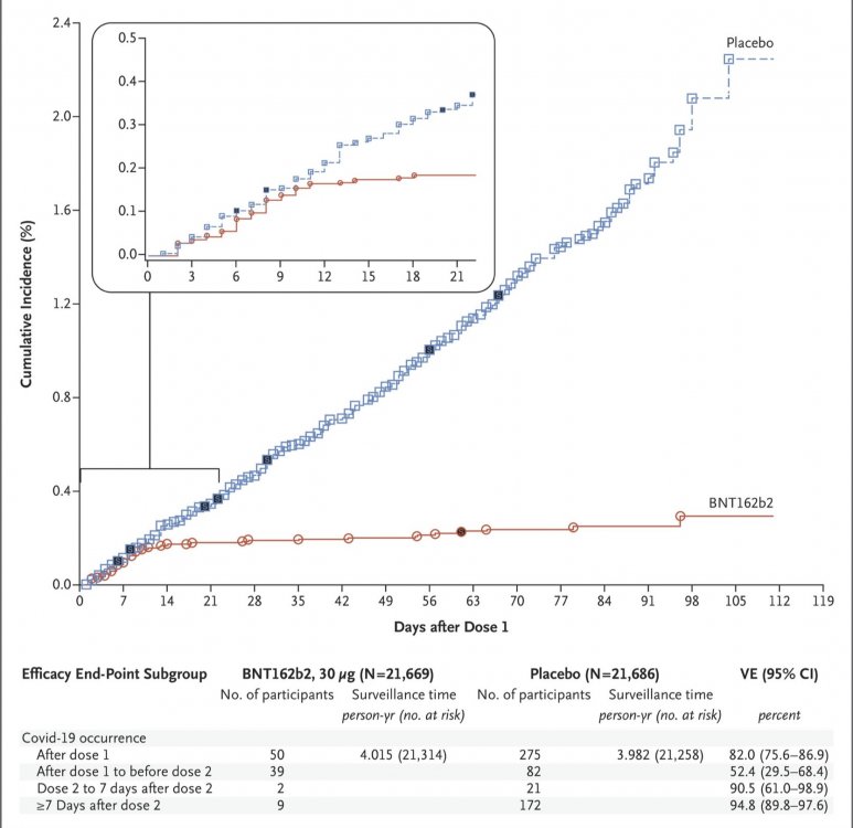
Erfreulicherweise sind auch die Daten für den Moderna-Impstoff so gut, dass man keine Statistik machen müsste:

1DD66D10-A1F8-474D-93CC-6B161DA0D47F.thumb.jpeg.5105a9746f99f5405d028b9f2af315a1.jpeg

Zitat

It is important to note that all the severe Covid-19 cases were in the placebo group, which suggests that mRNA-1273 is likely to have an effect on preventing severe illness, which is the major cause of health care utilization, complications, and death.

Zitat

Overall, the safety of the mRNA-1273 vaccine regimen and platform is reassuring; no unexpected patterns of concern were identified. 

https://www.nejm.org/doi/full/10.1056/NEJMoa2035389

 

Zu der von @Noch_Neu_Hier angesprochen Frage:

Zitat

The finding of fewer occurrences of symptomatic SARS-CoV-2 infection after a single dose of mRNA-1273 is encouraging; however, the trial was not designed to evaluate the efficacy of a single dose, and additional evaluation is warranted.

Die Verschiebung der zweiten Dosis nach hinten wird von verschiedener Seite befürwortet:

Zitat

„Da der Abstand zwischen beiden Impfungen mit großer Wahrscheinlichkeit in weiten Grenzen variabel sein kann und der Schutz auch nach einer Impfung schon sehr gut ist, ist es durchaus überlegenswert, bei Impfstoffmangel zunächst bevorzugt die erste Impfung zu verabreichen“, sagte Thomas Mertens, Vorsitzender der Ständigen Impfkommission (Stiko) am Robert-Koch-Institut. 

Zitat

Peter Kremsner, Direktor des Instituts für Tropenmedizin an der Eberhard Karls Universität Tübingen, hält den britischen Ansatz grundsätzlich für sehr sinnvoll. „Wenn der Effekt der ersten Impfung mit der Zeit nicht schnell abnimmt, dann könnte die zweite Impfung auch noch später stattfinden, zum Beispiel erst nach sechs Monaten. Das wissen wir noch nicht. Bei anderen Impfstoffen wird das auch so gemacht.“

Zitat

Ähnlich äußerte sich der Bonner Virologe Hendrik Streeck im RTL-Nachtjournal. Die Daten hätten gezeigt, dass bereits nach der ersten Impfung mehr als die Hälfte der Geimpften vor der schweren Erkrankung geschützt sei. Wenn man die zweite Impfung später gebe, könne man durch die ersten Chargen der Impfdosen eigentlich die Impfkapazitäten verdoppeln. Darüber müsse es aber erstmal eine Diskussion geben.

https://www.faz.net/aktuell/politik/wege-aus-der-impfstoffknappheit-zweite-dosis-verschieben-17125808.html

Diesen Beitrag teilen


Link zum Beitrag
Mangalica
vor 16 Stunden von chirlu:

Das ist der Punkt, ja. Deshalb auch die Ausschnittsvergrößerung.

Der Punkt war eher, dass keine Daten vorliegen, ob eine einzelne Impfung auch längerfristigig (z.B. nach einem oder drei Monaten) noch ausreichend Schutz bietet, eben weil alle Studienteilnehmer nach drei Wochen die zweite Dosis erhalten haben.

Diesen Beitrag teilen


Link zum Beitrag
Gast240416
· bearbeitet von Cef

Gesundes neues Jahr!

 

@Mangalica

Hier ist die Definition von AUSREICHEND zu überlegen.

Individuell: Möglich.

Seuchenhygienisch: Fast sicher.

 

Dann ist aber auch noch zu klären, ob eine zweite Gabe nach drei Wochen

individuell besser oder schlechter wirkt

als nach 6-9-12-... Wochen. 

Und das streng genommen für jeden Impfstoff, jeweils unterschiedlich Altersgruppen etc.

 

Wir haben nur das „Glück“ das die Fallzahlen derartig hoch sind,

das wir die wichtigsten dieser Fragen in absehbarer Zeit beantworten können

Diesen Beitrag teilen


Link zum Beitrag
Gast231208

Eine kritische Stellungnahme von Pfizer zur Ausdehnung des Intervalls bis zur zweiten Impfung:

Pfizer questions UK move to lengthen gap between Covid vaccine doses

Zitat

 

https://www.ft.com/content/d97c72c5-ed23-4c2b-bf1c-9cc10b21f007

Pfizer has criticised the UK’s decision to lengthen the gap between doses of its Covid-19 vaccine, saying the “safety and efficacy” of the new schedule had not been evaluated, as infections and hospitalisations continued to soar across the UK.

The rare intervention by the US pharma company came amid growing controversy over the move, with doctors complaining that they were having to cancel appointments and reassure anxious patients who had previously been told they needed the second dose to keep them safe.

“[Our] study . . . was designed to evaluate the vaccine’s safety and efficacy following a two-dose schedule, separated by 21 days,” the company said.

“The safety and efficacy of the vaccine has not been evaluated on different dosing schedules as the majority of trial participants received the second dose within the window specified in the study design.”

 

Auch noch interessant in obigem Artikel

Zitat

When will the UK be able to deliver on the target of 2m people a week being vaccinated?
The government is standing by its promise that all over-50s, and younger people whose health is particularly vulnerable, will have been vaccinated by the end of March. Boris Johnson on Wednesday promised “tens of millions of doses” by that point. Simon Stevens, head of England’s NHS, has spoken of everyone in the priority groups being covered by “the late spring”.

 

Diesen Beitrag teilen


Link zum Beitrag
chirlu
vor 1 Stunde von Mangalica:

Der Punkt war eher, dass keine Daten vorliegen, ob eine einzelne Impfung auch längerfristigig (z.B. nach einem oder drei Monaten) noch ausreichend Schutz bietet, eben weil alle Studienteilnehmer nach drei Wochen die zweite Dosis erhalten haben.

 

Das ist zwar richtig, war aber nicht der Punkt, über den @UKFreund und ich gesprochen haben. Da ging es um den Eintritt der Wirkung schon nach einer Dosis.

Diesen Beitrag teilen


Link zum Beitrag
Dorfkind87
Zitat

Diese Krise ist anders, aber ihre Folgen sind nur zu vorhersehbar, warnt Carmen Reinhart, Chefökonomin der Weltbank.

 

Die Corona-Krise hat nicht als Finanzkrise begonnen, aber sie wird langsam dazu – und zwar zu einer globalen.

Quelle: Focus

 

...und weil dies allen bekannt ist, wird sich hieraus aus meiner Sicht keine Krise alá 2008/09 entwicklen. Die Notenbanken und Regierungen sind alarmiert und werden wenn notwendig entsprechende Liquidität bereitstellen um einen Systemkollaps zu verhindern.

 

Muss man nicht gut finden, ist aber wohl das kleinere Übel. Dass dies auf mittlere und lange Frist andere Konsequenzen (Verschuldung von Staaten und Notenbanken) mit sich zieht dürfte aber auch klar sein. Wie diese Probleme gelöst werden stehen dann auf einem anderen Blatt (Inflation, Schuldenschnitte, Steuern, Enteignungen?...)

Diesen Beitrag teilen


Link zum Beitrag
Maciej
vor 7 Stunden von Mangalica:

Der Punkt war eher, dass keine Daten vorliegen, ob eine einzelne Impfung auch längerfristigig (z.B. nach einem oder drei Monaten) noch ausreichend Schutz bietet, eben weil alle Studienteilnehmer nach drei Wochen die zweite Dosis erhalten haben.

Woher weiß man dann überhaupt, dass zwei Impfungen notwendig sind, wenn das nie getestet wurde? Oder macht man das nur, um sicher zu gehen?

Diesen Beitrag teilen


Link zum Beitrag
chirlu
vor 2 Minuten von Maciej:

Woher weiß man dann überhaupt, dass zwei Impfungen notwendig sind, wenn das nie getestet wurde? Oder macht man das nur, um sicher zu gehen?

 

Erfahrungen mit früheren Totimpfstoffen besagen, daß eine Dosis quasi nie für langfristigen Schutz ausreicht. Deshalb ist man gleich von zwei Impfungen ausgegangen.

 

Also ja, zur Sicherheit. Wissen kann man es derzeit tatsächlich nicht, die Corona-Impfstoffe könnten eine Ausnahme von dem bisherigen Erfahrungswert sein.

Diesen Beitrag teilen


Link zum Beitrag
jogo08
Zitat

Um mehr Menschen gegen das Coronavirus zu impfen, fordern derzeit einige Wissenschaftler, die vorgeschriebene zweite Impfdosis später zu verabreichen als angesetzt. Die Europäische Arzneimittelagentur sieht derartige Überlegungen kritisch. Ein längerer Abstand hätte demnach Auswirkungen auf die Zulassung.

Diesen Beitrag teilen


Link zum Beitrag
Mangalica
vor 39 Minuten von Maciej:

Woher weiß man dann überhaupt, dass zwei Impfungen notwendig sind, wenn das nie getestet wurde?

Doch, das wurde getestet, und zwar in Phase II der klinischen Studie (Dose-ranging study). In Phase III (die dann die statistische Signifikanz für die Zulassung ermitteln soll) nimmt man dann die Dosis-Menge und Anzahl an Impfungen, die in Phase II am vielversprechendsten aussah.

 

Wenn man noch eine andere Dosis zulassen will, muss man wohl die ganze Phase III damit noch einmal neu durchführen, was teuer ist und Monate dauert.

Diesen Beitrag teilen


Link zum Beitrag
Gast231208
· bearbeitet von pillendreher
vor 27 Minuten von Mangalica:

Doch, das wurde getestet, und zwar in Phase II der klinischen Studie (Dose-ranging study).

Gibt's dazu eine Quelle - weil's mich interessiert und ich bislang nichts gefunden habe.


PS Ein Erklärungsversuch:

Zitat

 

https://www.cambridge-news.co.uk/news/uk-world-news/second-dose-covid-vaccine-now-19538341

But pharmaceutical giant Pfizer said that it only assessed its vaccine on a two-dose regimen whereby people were given the jab three weeks apart.

In a statement it said: “Pfizer and BioNTech’s phase three study for the Covid-19 vaccine was designed to evaluate the vaccine’s safety and efficacy following a two-dose schedule, separated by 21 days.

“The safety and efficacy of the vaccine has not been evaluated on different dosing schedules as the majority of trial participants received the second dose within the window specified in the study design.

“Data from the phase three study demonstrated that, although partial protection from the vaccine appears to begin as early as 12 days after the first dose, two doses of the vaccine are required to provide the maximum protection against the disease, a vaccine efficacy of 95%.

“There are no data to demonstrate that protection after the first dose is sustained after 21 days.

“While decisions on alternative dosing regimens reside with health authorities, Pfizer believes it is critical that health authorities conduct surveillance efforts on any alternative schedules implemented and to ensure each recipient is afforded the maximum possible protection, which means immunisation with two doses of the vaccine

...

Professor Sir Munir Pirmohamed, chairman of the Commission on Human Medicines expert working group on Covid-19 vaccines, explained some of the reasoning behind the approved dosing of the Oxford/AstraZeneca vaccine.

He said: “What we are approving is that two standard doses should be given. They should be given at an interval of between four to 12 weeks. We also looked at the half-dose regimen, which has been publicised quite widely, but we felt that the results were not borne out by the full analysis.

“We’ve come to the decision of an interval of between four to 12 weeks, based on the data that was presented to us.

“Because of the design of the trial, some people got second doses at different time intervals. This allowed an analysis of the effectiveness of the vaccine if you were to be able to delay between four to 12 weeks.

“This showed that the effectiveness was high, up to 80%, when there was a three-month interval between the first and second doses, which is the reason for our recommendation.”

Commenting on the decision, Stephen Evans, professor of pharmacoepidemiology at the London School of Hygiene & Tropical Medicine, said: “The decision to allow both the currently UK authorised vaccines to be given with a greater delay between doses to maximise the numbers getting one dose as rapidly as possible is a sensible one.

“It cannot have been an easy decision, since the evidence on the efficacy of one dose was more limited, but the crisis in the UK requires more than the usual regulatory approach.”

 

 

Diesen Beitrag teilen


Link zum Beitrag
chirlu
vor 11 Minuten von pillendreher:
vor 31 Minuten von Mangalica:

Doch, das wurde getestet, und zwar in Phase II der klinischen Studie (Dose-ranging study).

Gibt's dazu eine Quelle - weil's mich interessiert und ich bislang nichts gefunden habe.

 

Es wurde nicht getestet. Es gab nur zwei Phasen (I/II und II/III); in der ersten Phase wurden verschiedene Impfstoffmengen je Dosis getestet, aber in allen Fällen mit 21 Tagen Abstand.

 

Ergebnisse Phase I/II: Safety and immunogenicity of two RNA-based Covid-19 vaccine candidates

Diesen Beitrag teilen


Link zum Beitrag
Gast240416
· bearbeitet von Cef
vor 1 Stunde von jogo08:

Ein längerer Abstand hätte demnach Auswirkungen auf die Zulassung.

Zwangsläufig. Die EMA kann und wird NICHTS auf Basis von abgeleiteten und/oder empirischen Überlegungen zulassen.

Und den off-label-use wird bei den gewaltigen Fallzahlen auch niemand riskieren.

 

Unabhängig davon würde sofort der Aufschrei ertönen, hier würde die Bevölkerung mit ungetesteten Strategien misshandelt.

Aber: Ich halte anhand der Daten tatsächlich eine Impfung für deutlich besser als keine, zumindest in Hochinzidenzzeiten.

Ich würde, wenn ich die Gelegenheit hätte, mir derzeit sofort auch zunächst nur eine Impfung geben lassen.  Ich bin mir sicher, das wir das Ziel viel schneller erreichen könnten, wenn möglichst schnell alle wenigstens eine Impfung hätten.

Aber: Das war halt nicht die Strategie der Zulassungsstudien. Siehe EMA.

 

 

Diesen Beitrag teilen


Link zum Beitrag
Noch_Neu_Hier
· bearbeitet von Noch_Neu_Hier
Am 31.12.2020 um 17:30 von Noch_Neu_Hier:

Und nun wird schon diskutiert, ob die 2. Impfung nicht nach hinten verschoben werden kann, damit mehr Erstimpfungen durchgeführt werden können.

 

Werden hier die Zulassungskriterien umgangen?:news:

 

vor 3 Stunden von jogo08:

Um mehr Menschen gegen das Coronavirus zu impfen, fordern derzeit einige Wissenschaftler, die vorgeschriebene zweite Impfdosis später zu verabreichen als angesetzt. Die Europäische Arzneimittelagentur sieht derartige Überlegungen kritisch. Ein längerer Abstand hätte demnach Auswirkungen auf die Zulassung.

 

Danke, dann ist meine Fragestellung ja schon mit einer amtlichen Antwort versehen.

Diesen Beitrag teilen


Link zum Beitrag
UKFreund

Zum Thema aktuelle Inzidenz ein Kommentar: Es fällt auf, dass die Anzahl der Neuinfektionen seit einigen Tagen niedriger als Mitte Dezember ist. Ein häufig genannter Grund sind Meldeverzögerungen und die Tatsache, dass möglicherweise weniger Menschen sich testen lassen. Diesen Effekt sieht man aber m.E. in anderen Staaten nicht; UK sei hier nur exemplarisch erwähnt. Ich vermute, dass sich der harte Lockdown bereits in den Daten zeigt, insbesondere denke ich hier an das Aufheben der Präsenzpflicht in den Schulen.

Diesen Beitrag teilen


Link zum Beitrag
Gast231208
· bearbeitet von pillendreher

So kann man's auch machen:

Zitat

 

https://www.sueddeutsche.de/politik/israel-corona-wahl-impfung-1.5163069

Israel hat bei den Impfungen gegen das Coronavirus ein einfaches Erfolgsrezept: Es hat mit hohem Tempo begonnen - und danach noch einmal kräftig zugelegt. Jeden Tag gibt es neue Rekordzahlen zu vermelden: Mehr als 150 000 Impfungen innerhalb von 24 Stunden werden inzwischen verabreicht, schon am Freitag hatten eine Million der insgesamt nur neun Millionen Israelis die erste Impfdosis erhalten. Bei dieser Schlagzahl könnte schon im März ein Großteil der Bevölkerung immunisiert sein.

...

Tatsächlich hat Israel gute Voraussetzungen, als globaler Vorreiter aus der Pandemie zu kommen. Es könnte als Land mit kleiner Fläche und übersichtlicher Bevölkerungszahl zum Modellfall werden - und mit diesem Argument dringt die Regierung bei den Pharmafirmen auch auf möglichst frühe und umfangreiche Lieferung des Impfstoffs. Pfizer hat das Land bereits beim Start mit einer vergleichsweise hohen Anzahl an Impfdosen versorgt, bis Ende Januar sollen zumindest vier Millionen Dosen verfügbar sein. Bestellt, aber noch nicht geliefert wurden große Mengen Impfstoff auch von den Unternehmen Moderna und Astra Zeneca. Insgesamt addiert sich das auf 24 Millionen Dosen, also eine wohlige Überversorgung

Was man aber auch sieht:

Zitat

Diese guten Nachrichten verdrängen im soeben begonnenen dritten Lockdown mit Leichtigkeit die ebenfalls wieder rekordverdächtig ansteigenden Ansteckungszahlen, die inzwischen bei rund 6000 pro Tag liegen.

 

PS Oder man nimmt sich ein Beispiel an Deutschland und verteilt für 2,5 Milliarden Euro FFP-2 Masken :-*

https://www.t-online.de/nachrichten/deutschland/id_89121492/kostenlose-ffp-2-maske-spahns-milliardengeschenk-fuer-apotheker.html

PPS Macht pro Einwohner 30€, also fast die selben Kosten wie zwei Biontech-Impfdosen für 40$ (33€)  https://de.statista.com/infografik/23690/preise-fuer-eine-dosis-ausgewaehlter-covid-19-impfstoffe/

 

Diesen Beitrag teilen


Link zum Beitrag
Stift
Zitat

Meine 88jährige Mutter lebt in einer Senioreneinrichtung in Frankfurt. Das #Impfen gegen #COVID19 begann diese Woche. Die #Impfdosen reichen aber nicht, jetzt wird unter den Bewohnern verlost, wer zuerst geimpft wird. Meine Gefühle zu schildern, verbietet die Etikette.

Auf Twitter von Lutz Stroppe.

Mal ein prominenter Einzelfall.

Er war von 2012 bis 2014 Staatssekretär im Bundesministerium für Familie, Senioren, Frauen und Jugend und von 2014 bis 2019 Staatssekretär im Bundesministerium für Gesundheit.

Diesen Beitrag teilen


Link zum Beitrag
Gast
Dieses Thema wurde für weitere Antworten geschlossen.

×
×
  • Neu erstellen...