Zum Inhalt springen
DST

Investieren mit Hebel - ETFs auf Kredit, Leveraged ETFs und entsprechende ETPs/Futures/Optionen

Empfohlene Beiträge

Peter23
· bearbeitet von Peter23
vor 11 Minuten von hattifnatt:

Ich habe es gern etwas einfacher ;)

Ich auch. Ein Teil meines Vermögens liegt sowieso in Immobilien. Ich leverage daher wenn ich es will über Immobilienkredite, die ich derzeit für deutlich unter 0,5% bekomme. Sprich: Lev-ETFs kommen für mich schon deshalb nicht in Frage, weil sie in aller Regel eine höhere TD als 0,5% haben.

 

Theoretisch ist allerdings der Leverage über Lev-ETFs (wenn TD klein) und Futures deutlich besser im Sinne von günstiger.

Diesen Beitrag teilen


Link zum Beitrag
hattifnatt
· bearbeitet von hattifnatt
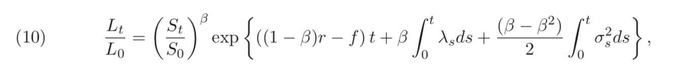
vor 18 Minuten von Peter23:

Ich auch. Ein Teil meines Vermögens liegt sowieso in Immobilien.

OK, die Diskussion ist also ohnehin nur akademisch ;) Festzuhalten bleibt jedenfalls, dass es mit simplem Rebalancing auf einen festen Faktor nicht getan ist; man muss vielmehr diese Formel umsetzen, wobei das Verhältnis von L(t) zu L(0) die Leverage Ratio zu sein scheint:

4B75F900-64CD-4E8F-AE2D-FC46EFB32670.jpeg

Diesen Beitrag teilen


Link zum Beitrag
Saek
· bearbeitet von Saek
1 hour ago, hattifnatt said:

Eben nicht, vielmehr ist der tägliche "Reset" gerade die Ursache für die Pfadabhängigkeit.

Das stimmt natürlich. Aber die Pfadabhängigkeit wird weniger, wenn man den Hebel reduziert.

Habe mal deine Beispiele ergänzt.

1472973336_Bildschirmfotozu2020-10-3110-37-54.thumb.png.0192d839f5d68c3a86292e36f7eab19d.png

 

Der Unterschied ist doch, will ich meine Risikotragfähigkeit vom Produkt (Kredit, Lev-ETF) vorgeben lassen oder selbst vorgeben? Wenn ich das selbst auf z.B. 1.5 festelege, dann verhalten sich beide Varianten hier gleich.

 

Nachtrag: Wenn man verschiedene Strategien richtig vergleichen will, muss man sie risikoadjustiert betrachten (meine Meinung). Dann ist aber (D) einfach mit mehr Risiko verbunden als (E).

 

Nachtrag 2: Die Strategie (D) lässt sich natürlich auch mit Lev-TEFs umsetzen. Dann muss man halt in schlechten Marktphasen den Anteil des Lev-ETFs erhöhen.

Diesen Beitrag teilen


Link zum Beitrag
hattifnatt
vor 14 Minuten von Saek:

Habe mal deine Beispiele ergänzt.

Vielen Dank für das erweiterte Beispiel, da wird auch deutlich, was Du mit Rebalancing beim Kredit meintest. Dass (E) dann dasselbe Ergebnis liefert wie (B), ist erstmal überraschend, muss ich mir nochmal näher anschauen ...

 

(Könntest Du evtl. das Excel direkt hochladen? Ist vielleicht auch noch für andere nützlich ...)

Diesen Beitrag teilen


Link zum Beitrag
Saek
11 minutes ago, hattifnatt said:

Könntest Du evtl. das Excel direkt hochladen?

Natürlich.

leverage_d_e.xlsx

Diesen Beitrag teilen


Link zum Beitrag
Beginner81

Ich hoffe, dass sich hier in den nächsten Jahren die Investitionsmöglichkeiten (über FinTechs etc.) hier erweitert werden.
Vorstellbar, dass man einmal jeden ETF kaufen kann, und den Hebel wie z.B. bei den Hebelzertifikaten frei wählen kann - wohlgemerkt der Hebel zum Zeitpunkt des Beginns der Investition.
Auch denkbar, dass man sich irgendwann "seinen" ETF beliebig gewichtet aus anderen ETFs, einzelnen Aktien, anderen Assetklassen etc. zu festen Kosten/TER zusammenstellen können wird.

Diesen Beitrag teilen


Link zum Beitrag
hattifnatt
· bearbeitet von hattifnatt

@Saek: Danke! Habe noch mit ein paar anderen Werten rumgespielt und tatsächlich liefert ein Rebalancing mit Kredithebel (E) immer das selbe Resultat wie Rebalancing mit Leverage-ETF (B), also hat man hier dieselbe Art von Pfadabhängigkeit, wenn man nicht den Hebel unkontrolliert und damit mit höherem Risiko laufen lassen möchte.

Diesen Beitrag teilen


Link zum Beitrag
hattifnatt
vor 14 Minuten von Beginner81:

Ich hoffe, dass sich hier in den nächsten Jahren die Investitionsmöglichkeiten (über FinTechs etc.) hier erweitert werden.

Ja, ein solches Konzept fordern ja auch die Autoren des von @Saek hier erwähnten "Lifecycle Investing", mit der Idee, dass man in jungen Jahren gehebelt einsteigt und dann im Lauf des Lebens auf 50% Aktienquote reduziert, um das Marktrisiko besser auf einen längeren Zeitraum zu "diversifizieren". Bin aber skeptisch, ob die EU-Regularien sowas zulassen würden ;)

Diesen Beitrag teilen


Link zum Beitrag
Peter23
vor 22 Stunden von Saek:

Es wird im Forum ja oft erwähnt, das Futures die günstigste Variante zur Investition auf Kredit seien.

Witzig, dass Du das so schreibst. Ich glaube aber ehrlich gesagt, dass das immer wieder der Gleiche ist, der das erwähnt.

Diesen Beitrag teilen


Link zum Beitrag
Peter23
vor 22 Stunden von Saek:

Im Prinzip müsste es ja wie bei Leveraged ETFs im Prinzip umsetzbar sein, aber durch den hohen Hebel benötigt die Einhaltung der gewünschten Gewichtung wohl eine häufige Kontrolle und Anpassung.

Das ist sicherlich richtig. Man muss sich hier auch das Margin-Konto regelmäßig anschauen.

Diesen Beitrag teilen


Link zum Beitrag
DST
· bearbeitet von DST
vor 2 Stunden von hattifnatt:

@Saek: Danke! Habe noch mit ein paar anderen Werten rumgespielt und tatsächlich liefert ein Rebalancing mit Kredithebel (E) immer das selbe Resultat wie Rebalancing mit Leverage-ETF (B), also hat man hier dieselbe Art von Pfadabhängigkeit, wenn man nicht den Hebel unkontrolliert und damit mit höherem Risiko laufen lassen möchte.

Das ist zwar in der Tat überraschend, bestätigt aber im Endeffekt meinen Punkt, dass LevETFs immer pfadabhängig und damit nicht für buy and Hold geeignet sind (mit oder ohne Rebalancing) während ETFs auf Kredit durch aus geeignet wären (ohne Rebalancing).

 

Das Problem ist weniger die Höhe des Hebels (ob 1,5x, 2x oder 3x) und das damit verbundene Risiko sondern mehr die Pfadabhängigkeit an sich, die langfristig erwartbar die erhoffte Risikorendite dahin schmelzen lässt wie es auf den letzten Seiten exemplarisch von mir mit Hilfe der Bogleheads dargestellt wurde.

 

Mit Krediten (ohne Rebalancing) oder Futures könnte man theoretisch auch einen Hebel von 100 fahren ohne die erwartbare Risikorendite langfristig zu beeinträchtigen, sofern das damit einhergehende Risiko tragbar wäre.

Diesen Beitrag teilen


Link zum Beitrag
etherial
vor 19 Minuten von Peter23:

Witzig, dass Du das so schreibst. Ich glaube aber ehrlich gesagt, dass das immer wieder der Gleiche ist, der das erwähnt.

Manche schreiben es nicht immer, sehen es aber auch so :thumbsup:.

 

Ich würde allerdings ergänzen, dass es überhaupt keine Rolle spielt was nun günstiger ist. Wer meint, das er so risikoaffin ist, dass er mehr als 100% Aktien haben sollte, hat noch nicht verstanden was Risiko ist. Auch vor Jahren haben mir schon einige vorgerechnet, dass Risiko und Schwankung ja das gleiche wären (falsch!) und dass man schließlich nur warten müsse, bis die Schwankung wieder beim Höhepunkt angekommen ist (würde stimmen, wenn die Prämisse korrekt wäre und die Schwankung prognostizierbar).

Diesen Beitrag teilen


Link zum Beitrag
Peter23
vor einer Stunde von etherial:

Wer meint, das er so risikoaffin ist, dass er mehr als 100% Aktien haben sollte, hat noch nicht verstanden was Risiko ist.

Wieso?

Diesen Beitrag teilen


Link zum Beitrag
Peter23
vor 2 Stunden von DST:

Das ist zwar in der Tat überraschend, bestätigt aber im Endeffekt meinen Punkt, dass LevETFs immer pfadabhängig und damit nicht für buy and Hold geeignet sind (mit oder ohne Rebalancing) während ETFs auf Kredit durch aus geeignet wären (ohne Rebalancing).

Ich komme zu einer anderen Schlussfolgerung. Bei den Lev-ETF ist der Hebel jeden Tag konstant. Bei der Kredit-Variante ändert er sich jeden Tag. Wenn man nun durch Rebalancing jeden Tag den Hebel so einstellt wie er beim Kredit gerade wäre, so stellt sich auch die gleiche Rendite ein (wenn man Kosten mal unberücksichtigt lässt).

 

Wenn Du zB 100T in den MSCI World investierst (davon 50% auf Kredit) so ist Dein Hebel am Anfang 2x. Wenn der MSCI World nun um 40% fällt. Dann hast Du plötzlich nur noch 60T MSCI World und Dein Kredit ist immer noch über 50T, so dass Dein Eigenkapital auf 10T € gesunken ist => Hebel 6x. Dementsprechend ist die Kreditvariante deutlich riskanter, weil der Hebel über die Zeit stark ansteigen kann. 
 

(Ganz davon abgesehen, dass Deine Depotbank in diesem Fall entweder Sicherheiten nachfordern oder Deinen Kredit fällig stellen würde.) 

Diesen Beitrag teilen


Link zum Beitrag
Peter23
· bearbeitet von Peter23

Aus meinem letzten Post lässt sich auch einfach ableiten, wie man die Kreditvariante durch Lev-ETFs abbilden kann. Man muss nur das Kreditportfolio in Excel simuliert mitlaufen lassen, den Hebel täglich ausrechnen und den dann über Lev-ETFs und einfache ETFs jeden Tag nachbilden. Bis auf 6x hoch geht das zwar nicht, aber das geht auch beim Wertpapierkredit schlussendlich nicht, weil der wie gesagt fällig gestellt wird.

Diesen Beitrag teilen


Link zum Beitrag
s1lv3r
vor 2 Minuten von Peter23:

Dementsprechend ist die Kreditvariante deutlich riskanter, weil der Hebel über die Zeit stark ansteigen kann. 

 

Das Problem ist doch auf der anderen Seite, dass man mit einem fixen Hebel zwar sein Risiko konstant hält, aber damit zwangsläufig Markt-Exposure reduziert sobald sich der Markt nach unten bewegt. Man investiert also prozyklisch und reduziert damit seine Renditeerwartung.

 

Ggf. sollte man daher m.M.n. eine Kreditvariante von Anfang an mit einem Ausgangshebel starten, der nicht dazu führt, dass man im Downturn Risiko reduzieren muss (Vermeidung von zusätzlichen Steuern & Vermeidung von prozyklischen Verkäufen). Das der Hebel und damit das Risiko variabel ist, ist in dem Sinne ja nicht schlimm, wenn der Ausgangshebel so gewählt ist, dass kein Margin-Call erfolgt.

 

(Hierzu hatte ich ein paar Beiträge weiter voran auch schon was geschrieben, aber dadurch das von der Rennleitung hier jetzt ohne weiteren Hinweis zwei Threads zu einem zusammengefügt wurden liest sich der ganze Thread so, als würde die Hälfte der Diskussionsteilnehmer an der anderen Hälfte vorbeireden.)

Diesen Beitrag teilen


Link zum Beitrag
Peter23

@s1lv3r Ich stimme Dir 100%ig zu.

 

Wenn bei der Kreditvariante der Hebel aber klein ist, dann lässt sie sich eben doch relativ gut durch Lev-ETFs nachbilden, indem man täglich den Hebel richtig einstellt (nämlich so wie er bei der Kreditvariante wäre). Jetzt müsste nur mal jemand rechnen, ob dazu auch ein monatliches Rebalancing ausreicht.

Diesen Beitrag teilen


Link zum Beitrag
DST
· bearbeitet von DST
vor 39 Minuten von Peter23:

Dementsprechend ist die Kreditvariante deutlich riskanter, weil der Hebel über die Zeit stark ansteigen kann. 

Ich habe nie behauptet, dass die Kreditvariante weniger riskant ist (siehe meine Zusammenfassung im ersten Beitrag), sondern dass dieses erhöhte Risiko eingegangen werden muss, um eine buy and hold Tauglichkeit mit einer langfristig hohen Risikorendite erwarten zu können, so widersprüchlich das auch klingen mag. Ich bezweifle nach wie vor, dass das mit LevETFs möglich ist, egal ob mit oder ohne Rebalancing. Meine Meinung werde ich erst ändern wenn jemand einen entsprechenden Beleg liefern kann und das sollte ja nicht so schwer sein wenn da etwas wahres dran wäre. 

Diesen Beitrag teilen


Link zum Beitrag
Saek
· bearbeitet von Saek

Der größte Unterschied zwischen Kredit und Lev-ETF ist für mich, wie die Kosten versteckt sind: Beim Kredit ist das klar, da ist es der Zins. Beim Lev-ETFs ist es die nicht-ausgeglichene Volatilität, die implizit Kosten verursacht, wenn das Rebalancing-Intervall nicht täglich sondern auf größeren Zeiträumen stattfindet, z.B. monatlich. Außerdem natürlich TER bzw. TD. Den Vergleich müsste man mal machen...

 

Alles andere, wie auch die Pfadabhängigkeit, sind Entscheidungen darüber, welches Risiko man eingehen will (in welcher Marktphase) und können immer umgesetzt werden. Der Vollständigkeit halber noch eine Variante (F) in der angehängten Tabelle, in der der Absolutwert des Lev-ETFs fix gehalten wird. Dadurch fluktuiert das Risiko und in dieser idealen Betrachtung ist (F) – Lev-ETF mit fixem Betrag – identisch zu (D) – Kredit ohne Rebalancing. @hattifnatt Vielleicht magst du in deinem ersten Beitrag den Screenshot noch um alle Varianten ergänzen.

On 10/31/2020 at 10:40 AM, Saek said:

Nachtrag 2: Die Strategie (D) lässt sich natürlich auch mit Lev-TEFs umsetzen. Dann muss man halt in schlechten Marktphasen den Anteil des Lev-ETFs erhöhen.

1045181779_Bildschirmfotozu2020-10-3116-06-18.thumb.png.6f32abf36cb0a5ae942f9fe73a3e325e.png

 

 

Das, was ich mir von Anfang an gedacht habe, zeigt sich hier eigentlich schön. Man muss sich einfach überlegen, welches Risiko man eingehen will mit welcher Strategie. Die Umsetzung ist mit verschiedenen Produkten auf jeweils verschiedene Arten möglich. Aber entscheidend ist die „Top-Level Asset Allocation“, also das Risiko das man eingehen will! Hier halt nicht 60% Aktien, 40% Sicher, sondern 150% Aktien oder 1x0% Aktien variabel je nach Marktsituation oder was auch immer. Das ist die wichtigste Entscheidung.

 

 

 

Test-Leverage-1.xlsx

Diesen Beitrag teilen


Link zum Beitrag
Peter23
· bearbeitet von Peter23
vor 25 Minuten von DST:

Meine Meinung werde ich erst ändern wenn jemand einen entsprechenden Beleg liefern kann und das sollte ja nicht so schwer sein wenn da etwas wahres dran wäre. 

Wir haben doch jetzt schon herausgearbeitet, dass der wesentliche Unterschied zwischen den beiden Variante der konstante Hebel (vs dynamischer Hebel) ist. Daraus folgt doch, dass man nur den Hebel jeden Tag dynamisch auf die Kreditvariante anpassen muss.
 

Wenn Du das nicht glaubst, kannst Du es ja nachrechnen.

Diesen Beitrag teilen


Link zum Beitrag
hattifnatt
vor 19 Minuten von Saek:

Vielleicht magst du in deinem ersten Beitrag den Screenshot noch um alle Varianten ergänzen

Gemacht :thumbsup:

Diesen Beitrag teilen


Link zum Beitrag
DST
· bearbeitet von DST

@Saek Vielen Dank für das Beispiel! Dann bist du wohl kein Troll :D

 

Man könnte nun einwenden, dass bei (F) in der Praxis "Hin und Her macht die Taschen leer" gellten würde, aber mit Smartbroker wäre diese Strategie sogar ohne Transaktionskosten umsetzbar. Lediglich der Spread wäre zu berücksichtigen, oder übersehe ich etwas? Ich frage mich nur wie schwer die regelmäßig anfallenden Steuern auf Gewinne ins Gewicht fallen würden...

 

Den Spread könnte man minimieren, indem man den liquidesten LevETF verwenden würde. Mit etwas Glück wäre das ja sogar der Amundi 2 x MSCI USA ETF, der die geringste TD hat und gleichzeitig noch eine nach Umsatz weltweit diversfizerte Aktienstrategie abbildet, die mit etwa 600 Aktien sogar noch breiter als der S&P 500 wäre. Ich werde der Sache mal auf den Grund gehen und dann berichten.

Diesen Beitrag teilen


Link zum Beitrag
Saek
2 hours ago, Peter23 said:

Aus meinem letzten Post lässt sich auch einfach ableiten, wie man die Kreditvariante durch Lev-ETFs abbilden kann. Man muss nur das Kreditportfolio in Excel simuliert mitlaufen lassen, den Hebel täglich ausrechnen und den dann über Lev-ETFs und einfache ETFs jeden Tag nachbilden.

Oh, das hatte ich übersehen. So habe ich auch zuerst gedacht. Noch einfacher ist die Umsetzung aber über „konstante Kreditsumme“ => „konstante Lev-ETF-Summe“. Dann spart man sich den Rechen-Umweg über den Hebel. Siehe die Variante (F).

 

Eine Denksportaufgabe hätte ich noch. Bei fallenden Aktien steigt ja mit fester Kreditsumme der Hebel und sinkt der Hebel mit teilweise Lev-ETF. Lässt sich da eine Kombination finden, die in 1. Näherung keinen Eingriff bei kleinen Schwankungen erfordert, um den Hebel konstant zu halten?

Diesen Beitrag teilen


Link zum Beitrag
hattifnatt
vor 7 Minuten von Saek:

Bei fallenden Aktien steigt ja mit fester Kreditsumme der Hebel und sinkt der Hebel mit teilweise Lev-ETF. Lässt sich da eine Kombination finden, die in 1. Näherung keinen Eingriff bei kleinen Schwankungen erfordert, um den Hebel konstant zu halten?

Jetzt kannst Du allmählich selbst ein Paper darüber schreiben ;)

Diesen Beitrag teilen


Link zum Beitrag
Saek
46 minutes ago, hattifnatt said:

Jetzt kannst Du allmählich selbst ein Paper darüber schreiben ;)

Ich glaub das ist mir zu viel Aufwand, da müsste ich ja recherchieren ob das schonmal jemand untersucht hat :D

Und leider fehlen ja die Lev-ETFs auf sinnvolle Indizes, um die folgende durch trial & error gefundene Strategie wirklich gut umsetzen zu können. Das scheint mir für Buy & Hold die beste Strategie zu sein bisher. Sogar bei der starken Schwankung von 10% bleibt der Hebel sehr konstant. Das Verhalten ist näherungsweise wie (B) / (E) aber ohne Eingriffe.

 

Für einen anderen Hebel als 1.5 muss man den Anteil Lev-ETF und den Startkredit (der konstant bleibt) umstellen, bis die gewünschte Zahl beim Gesamthebel erscheint.

 

1581036172_Bildschirmfotozu2020-10-3119-26-17.thumb.png.5c13ade6f508b9ffe24fef1484c63aaa.png

 

Die Tabelle oben wird auch noch aktualisiert.

Diesen Beitrag teilen


Link zum Beitrag

Erstelle ein Benutzerkonto oder melde dich an, um zu kommentieren

Du musst ein Benutzerkonto haben, um einen Kommentar verfassen zu können

Benutzerkonto erstellen

Neues Benutzerkonto für unsere Community erstellen. Es ist einfach!

Neues Benutzerkonto erstellen

Anmelden

Du hast bereits ein Benutzerkonto? Melde dich hier an.

Jetzt anmelden

×
×
  • Neu erstellen...