Zum Inhalt springen
Glory_Days

Offensiv/Defensiv-Portfolio

Empfohlene Beiträge

Glory_Days
· bearbeitet von Glory_Days

Ich habe im OP ESG-Alternativen für die Sektor-ETFs hinzugefügt. Aktuell scheint es ESG-Alternativen nur für die MSCI World-Sektoren in Form von Amundi ETFs seit 09/2022 auf die S&P Developed Ex-Korea LargeMidCap Sustainability Enhanced [Sektor] Indizes und seit 04/2023 auch teilweise Invesco ETFs auf die S&P Developed Ex-Korea LargeMidCap ESG Enhanced [Sektor] Indizes zu geben. ESG-Varianten der S&P 500-Sektoren sind mir nicht bekannt. Weiterhin gibt es noch europäische ESG Sektor-Varianten in Form von Xtrackers ETFs, die die MSCI Europe [Sektor] ESG Screened 20-35 Indizes abbilden.

 

Die Amundi ETFs sind was die AUMs angeht aktuell bedeutend größer als die Invesco ETFs. Das dürfte neben ihrem früheren Auflagedatum vor allem an folgendem Umstand liegen:

Zitat

Arnaud Llinas, Head of ETF, Indexing & Smart Beta at Amundi, said:
“[...] The range will gather more than €600m euros in the upcoming days thanks to the support of a leading Dutch investor”.

https://int.media.amundi.com/news/amundi-launches-global-esg-sector-etf-range-6614-b6afb.html

ESG-Varianten für Commodities ETF sind aktuell noch Zukunftsmusik:

Zitat

One is the issue of supply chain transparency, while the other concerns how ESG is applied to different commodity types. “For derivative-based products, [implementing ESG] remains impractical and there’s a lot of work to be done. The industry isn’t ready yet,” says Mahmood.

https://www.funds-europe.com/etf-report-sep-2021/commodities-etfs-and-the-net-zero-transition

Diesen Beitrag teilen


Link zum Beitrag
Glory_Days
· bearbeitet von Glory_Days

Die historische Entwicklung der US-Staatsschulden in Prozent des Bruttoinlandsprodukts:

 

grafik.thumb.png.cdac7ade8e50a7e06d101d0ae142bedb.png

In dieser schuldenbasierten Welt möchte man alles sein - außer Gläubiger dieser Schulden...

Diesen Beitrag teilen


Link zum Beitrag
Glory_Days
· bearbeitet von Glory_Days

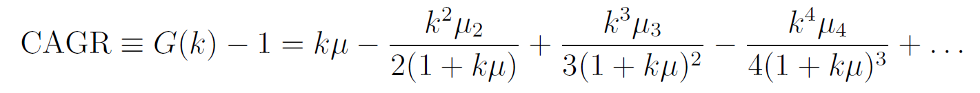
Höhere Momente der Renditeverteilungsfunktion können einen teils erheblichen Einfluss auf die näherungsweise Berechnung der CAGR haben. Insbesondere bei gehebelten Investments wirken sich diese besonders stark auf die geometrische Rendite aus und müssen in Näherungsformeln berücksichtigt werden.

Eine Näherungsformel der CAGR erhält man durch Entwicklung der Definition der geometrischen Rendite in eine Taylor-Reihe um den Erwartungswert μ der Renditeverteilungsfunktion. Die dabei auftretenden Terme zweiter oder höherer Ordnung in den zentralen Momenten der Verteilungsfunktion (z.B. μ_iμ_j oder μ_2^2) werden nach empirischer Analyse sehr schnell sehr klein und können daher in der Entwicklung vernachlässigt werden. Für die Entwicklung der CAGR in erster Ordnung der zentralen Momente bis zum vierten Moment erhält man:
 

grafik.thumb.png.5abe77c6ad287069f4467dee99497e01.png
 

Dabei ist k ein Hebelfaktor, der im Fall einer CAGR auf die Jahresrenditen wirkt (k = 1 ist der ungehebelte Fall bzw. allgemeine Fall, wenn ein beliebiger Hebel in den Renditen absorbiert wurde). Der Erwartungswert μ und das n-te zentrale Momente μ_n sind wie folgt definiert:
 

grafik.thumb.png.dcab7afb8b9faab6d896a339c373e90c.png
 

Das zweite zentrale Moment wird dabei typischerweise als Varianz bezeichnet, während das dritte bzw. vierte zentrale Moment mit der Schiefe bzw. der Kurtosis (Wölbung) der Renditeverteilungsfunktion in Zusammenhang stehen.

Um einen Eindruck zu vermitteln, welche Terme der mathematischen Näherungsformeln für Jahresrenditen zu welchem relativen Fehler bezogen auf das exakte Ergebnis führen, habe ich die verschiedenen Näherungsformeln unter Steigerung der Anzahl der berücksichtigten Momente für das OD-Portfolio in die Auswertung mitaufgenommen. Dabei zeigt sich, dass in einem diversifizierten Portfolio bereits die Berücksichtigung des zweiten Momentes zu sehr guten und hinreichend genauen Ergebnissen in der Näherungsformel führt (das G (Log-Normal) berücksichtigt den Fall geometrischer Brownscher Bewegung, das die Entwicklung bis zum zweiten Moment reproduziert, in diesem Term im Nenner allerdings 1 + kμ = 1 setzt). In gewisser Weise sieht man anhand dieser Analyse, dass Diversifikation + Rebalancing die Jahresrenditen des Portfolios näher an eine Log-Normal Verteilung bringen (vgl. z.B. die relativen Fehler bei Gold mit denen des Portfolios):
 

grafik.thumb.png.bd5739e26608dfd2ccb0d9b486b1b9d2.png

Diesen Beitrag teilen


Link zum Beitrag
James
Am 24.6.2023 um 11:55 von Glory_Days:

Eine Näherungsformel der CAGR erhält man durch Entwicklung der Definition der geometrischen Rendite in eine Taylor-Reihe um den Erwartungswert μ der Renditeverteilungsfunktion. Die dabei auftretenden Terme zweiter oder höherer Ordnung in den zentralen Momenten der Verteilungsfunktion (z.B. μ_iμ_j oder μ_2^2) werden nach empirischer Analyse sehr schnell sehr klein und können daher in der Entwicklung vernachlässigt werden. Für die Entwicklung der CAGR in erster Ordnung der zentralen Momente bis zum vierten Moment erhält man:
 

grafik.thumb.png.5abe77c6ad287069f4467dee99497e01.png
 

Dabei ist k ein Hebelfaktor, der im Fall einer CAGR auf die Jahresrenditen wirkt (k = 1 ist der ungehebelte Fall bzw. allgemeine Fall, wenn ein beliebiger Hebel in den Renditen absorbiert wurde). Der Erwartungswert μ und das n-te zentrale Momente μ_n sind wie folgt definiert:
 

grafik.thumb.png.dcab7afb8b9faab6d896a339c373e90c.png

 

 

Ich muss fragen, nachdem du die gleiche Frage bei mir im Musterdepot gestellt hattest... ;) "Lohnt sich der zeitliche Aufwand solche Berechnungen und Mathematische Ausarbeitungen für ein ETF Depot zu erstellen wirklich ? 

Am 5.4.2023 um 14:45 von Glory_Days:

Lohnt sich der zeitliche Aufwand eines solchen Portfolios insgesamt wirklich?

 

Q1/23:
iShares MSCI World (EUNL): + 3,85%

iShares MSCI ACWI (IUSQ): + 2,58%

 

Für all deine (in allen ehren spannenden und sicherlich Zeitaufwendigen Berechnungen, Formeln etc) benötigst du doch sicherlich mehr als 11 Tage im Jahr?! Die ich bei weitem nicht benötige um das Depot zu "tracken". 

Am 5.4.2023 um 17:06 von Glory_Days:

Das sind bei der Anzahl der Positionen dieses Depots immerhin 136 Firmenberichte pro Jahr, also alle drei Tage einer... Wenn man dann mind. 2h pro Bericht rechnet, sind das ~11 ganze Tage pro Jahr.

 

Nimm es mir nicht übel und sehe es eher als kleinen "Scherz", den ich hatte das eben nur gesehen und vermute sehr hohen Aufwand dahinter. Ich möchte auch auf keinen Fall eine Diskussion hier über den zeitlichen Aufwand oder Aktiv vs. Passiv anstoßen!

 

Diesen Beitrag teilen


Link zum Beitrag
Glory_Days
· bearbeitet von Glory_Days
vor 11 Stunden von James:

"Lohnt sich der zeitliche Aufwand solche Berechnungen und Mathematische Ausarbeitungen für ein ETF Depot zu erstellen wirklich ? 

Die mathematischen Formeln, die in diesem Thread präsentiert werden, sind für alle Depots gleichermaßen gültig. Die Erkenntnisse lassen sich selbst auf Einzelaktien-Depots anwenden, sofern man einen solchen Ansatz bevorzugt. Ich zitiere mich gerne selbst, um deine Frage zu beantworten:

Am 22.6.2023 um 23:37 von Glory_Days:

Der 'Heilige Gral' ist im Wissen von mathematischen Zusammenhängen und dem Veständnis von Märkten zu finden - nicht in Anlageprodukten.

Der mit Abstand größte Wert ist demnach nicht mein Portfolio, sondern mein Wissen und in dieses investiere ich gerne meine Zeit.

vor 11 Stunden von James:

Für all deine (in allen ehren spannenden und sicherlich Zeitaufwendigen Berechnungen, Formeln etc) benötigst du doch sicherlich mehr als 11 Tage im Jahr?! Die ich bei weitem nicht benötige um das Depot zu "tracken".

Das Gute dabei ist, dass der Zeitaufwand einmalig anfällt und man diese Dinge danach dann immer wieder verwenden kann. Wenn man die Zielallokation eines Portfolios konstant hält, fällt nur gelegentliches Rebalancing an - wobei bei einem diversifizierten Portfolio eine 'Frequency of Looking' von einem Jahr völlig ausreichend ist (und zudem auch nicht in jedem Jahr rebalanced werden muss).

Aus aktuell gegebenem Anlass zwei Zitate, die man einfach mal auf sich wirken lassen sollte:

Zitat

Investing successfully doesn’t require finding the needle in the haystack. Nor does it require that every stock you own goes up. Rather, it is all about having the right asset allocation for you. That is, determining the long-term returns you need to reach your financial goals and needs over your entire investment time horizon (the length of time your portfolio must be working for you) and balancing that with the level of risk that matches your cash flow needs, time horizon, comfort with volatility and general personal circumstances. Once you have a blend of stocks, bonds and other securities that fits you, success is generally about being diversified and disciplined over the long haul. Not set it and forget it, but focusing on whether your portfolio, as a whole, is acting like you would expect it to act in a given market environment—and tweaking as needed to keep it on track.

https://www.fisherinvestments.com/en-us/insights/market-commentary/saluting-the-father-of-modern-finance

Zitat

“A good portfolio is more than a long list of good stocks and bonds. It is a balanced whole, providing the investor with protections and opportunities with respect to a wide range of contingencies. The investor should build toward an integrated portfolio which best suits his needs.”
 

— Harry Markowitz

Diesen Beitrag teilen


Link zum Beitrag
indianahorst
Am 18.6.2023 um 18:34 von Glory_Days:

Ich habe im OP ESG-Alternativen für die Sektor-ETFs hinzugefügt.

Warum? Glaubst du daran, dass ESG-Produkte trotz ihrer zwangsweise geringeren Diversifikation (im Vergleich zu Nicht-ESG-Produkten) langfristig eine höhere risikoadjustierte Rendite bringen?

Ist Investieren in ESG-Varianten nicht auch eine Form "politischen Faktor-Investierens", obgleich du ja Factor Investing strikt ablehnst?

Diesen Beitrag teilen


Link zum Beitrag
Glory_Days
· bearbeitet von Glory_Days
vor 4 Stunden von indianahorst:
Am 18.6.2023 um 18:34 von Glory_Days:

Ich habe im OP ESG-Alternativen für die Sektor-ETFs hinzugefügt.

Warum? Glaubst du daran, dass ESG-Produkte trotz ihrer zwangsweise geringeren Diversifikation (im Vergleich zu Nicht-ESG-Produkten) langfristig eine höhere risikoadjustierte Rendite bringen?

Ist Investieren in ESG-Varianten nicht auch eine Form "politischen Faktor-Investierens", obgleich du ja Factor Investing strikt ablehnst?

Das ist eine Aufnahme von ESG-Alternativen ohne explizite Wertung meinerseits. Gerne zitiere ich mich auch an dieser Stelle einmal selbst:

Am 21.6.2023 um 21:18 von Glory_Days:

Falls neue Kriterien für die Kapitalallokation in Zukunft relevanter werden, so wandeln sich Marktindizes in dieser Hinsicht sowieso automatisch. ESG-Fonds sind so gesehen eine Timing-Wette...

Für Anleger, die einen ESG-Ansatz verfolgen möchten, können die aufgenommenen Produkte interessant sein. Ich lehne auch Factor Investing nicht strikt ab, sondern bin mir absolut bewusst, dass ein Faktor-neutrales Portfolio schlichtweg nicht existieren kann. Ich verfolge nur kein gezieltes Faktor-Investing - wobei die Grenzen verschwimmen mögen, wenn man einen Offensiv/Defensiv-Ansatz verfolgt. Mein Zugang ist so gesehen aber ein anderer, als der Versuch des gezielten Ausnutzens von Faktoren...

Diesen Beitrag teilen


Link zum Beitrag
Glory_Days
· bearbeitet von Glory_Days
Am 30.12.2022 um 20:14 von Glory_Days:

Da das Börsenjahr für dieses Jahr in Deutschland bereits abgeschlossen ist, stehen die finalen Jahresrenditen in EUR der Musterportfolien fest:

  • Kalenderjahr 2022 (01.01.2022 - 31.12.2022):
    • OD-Portfolio (Krypto): -15,61% (*Kryptobörsen sind noch geöffnet)
    • OD-Portfolio (Offensiv): -7,31%
    • OD-Portfolio (Defensiv): +2,85%
    • OD-Portfolio (Equal Weight): +3,64%
  • Vergleich mit gängigen Aktienindizes + ARERO:
    • NASDAQ-100 (SXRV): -30,05%

    • S&P 500 (SXR8): -14,31%

    • MSCI World (EUNL): -13,59%

    • MSCI EM (EUNM): -14,47%

    • MSCI ACWI (IUSQ): -13,58%

    • FTSE All-World (VWCE): -13,47%

    • ARERO-Der Weltfonds: -9,02%

Der Halbjahres-Zwischenstand 2023 für die verschiedenen Varianten des OD-Portfolios in EUR:

  • Kalenderjahr 2023 (01.01.2023 - 30.06.2023) (USA / World / World ESG):
    • OD-Portfolio (Krypto): +24,54% / +24,35% / +26,34%
    • OD-Portfolio (Offensiv): +17,89% / +17,70% / +19,69%
    • OD-Portfolio (Defensiv): +5,07% / +6,44% / +9,37%
    • OD-Portfolio (Equal Weight): +7,55% / +8,04% / +8,05%
  • Vergleich mit gängigen Aktienindizes + ARERO:
    • NASDAQ-100 (EQQX): +37,22%

    • S&P 500 (SXR8): +14,34%

    • MSCI World (EUNL): +12,74%

    • MSCI EM (EUNM): +3,16%

    • MSCI ACWI (IUSQ): +11,62%

    • FTSE All-World (VWCE): +11,44%

    • ARERO-Der Weltfonds: +3,92%

Am 31.12.2022 um 12:11 von Glory_Days:

Die Jahresrenditen der Portfolio-Komponenten in EUR waren (Reihenfolge wie im OP) (Xetra-Kurse sofern nicht explizit angegeben):

  • NASDAQ-100 (EQQX): -29,90%
  • S&P 500 Information Technology (QDVE): -25,83%
  • S&P 500 Consumer Staples (2B7D): +5,50%
  • S&P 500 Utilities (2B7A): +8,44%
  • S&P 500 Health Care (QDVG): +3,30%
  • Gold (EWG2): +6,90% (*Handelsplatz Stuttgart)
  • Rohstoffe (EN4C): +29,83%
  • Bitcoin (BTC): -63,06% (*Bitstamp Currencies)
  • Ethereum (ETH): -66,19% (*Bitstamp Currencies)

Halbjahr 2023 (01.01.2023 - 30.06.2023) (USA / World / World ESG):

  • NASDAQ-100 (EQQX / N1ES): +37,22% / ESG: +36,68%
  • Information Technology (QDVE / XDWT / WELU): +40,56% / +36,69% / +43,43%
  • Consumer Staples (2B7D / XDWS / WELW): -1,82% / +1,12% / +1,92%
  • Utilities (2B7A / XDWU / WELD): -9,48% / -3,17% / +2,65%
  • Health Care (QDVG / XDWH / WELG): -4,12% / -1,67% / -1,68%
  • Gold (EWG2): +2,68% (*Handelsplatz Stuttgart)
  • Rohstoffe (EN4C): -6,22%
  • Bitcoin (BTC): +77,59% (*Bitstamp Currencies)
  • Ethereum (ETH): +51,95% (*Bitstamp Currencies)

Diesen Beitrag teilen


Link zum Beitrag
Glory_Days
· bearbeitet von Glory_Days

Diversifikation über Assets und Zeit sind die beiden einzig möglichen Dimensionen der Diversifikation. Inspiriert von der Ayres/Nalebuff Untersuchung habe ich die Portfolio-Diversifikation und die Zeitdiversifikation einmal anhand des OD-Portfolios in der defensiven Variante untersucht.

Dabei unterscheide ich zwei Anleger:

  • Portfolio-Diversifikation:
    Der Anleger legt sein gesamtes Anlagekapital gemäß vorgebener Asset Allokation in einem zufälligen Jahr in alle Komponenten des Portfolios an.
  • Zeitdiversifikation:
    Der Anleger legt sein Anlagekapital anteilsmäßig gemäß vorgebener Asset Allokation in eine jedes Jahr zufällig ausgewählte Portfolio-Komponente in allen Jahren des Betrachtungszeitraums an.

Im zweiten Fall wird die Komponente mit dem jeweiligen Gewicht der Komponenten im OD-Portfolio gewichtet und am Ende wird das gewichtete arithmetische Mittel der Portfolio-Renditen berechnet, um den Fall mit der Portfolio-Diversifkation vergleichbar zu machen.

Die statistischen Ergebnisse der Zeitdiversifikation hängen vom betrachteten Zeitraum ab. Im Folgenden wurde der Zeitraum auf 10 Jahre festgelegt:

  

grafik.png.accefed5a6db4c050b37b8bbceba3a4a.png

 

Wie bei der Untersuchung von Ayres/Nalebuff für den S&P 500 erhält man bei annähernd gleichem Mittelwert im Falle der Zeitdiversifikation eine deutliche geringere Standardabweichung - was auf die deutlich geringeren Korrelationen von Asset-Renditen zwischen einzelnen Jahren im Vergleich zu den Korrelation von Assets innerhalb des gleichen Jahres zurückzuführen ist.

Im Gegensatz zu Portfolio-Diversifikation bringt Zeitdiversifikation das praktische Problem mit, dass man vom heutigen Zeitpunkt aus nicht direkt in unterschiedliche Jahre investieren kann (während die Wahl der Asset Allokation zu jedem Zeitpunkt möglich ist). Zudem spielt das Sequence-of-Returns Risk eine wesentliche Rolle (während die Gewichtung der Asset-Renditen für die verschiedenen Jahre durch Rebalancing konstant gehalten werden kann) - wobei der Zeitdiversifikationseffekt umso höher ist, je geringer dieses Risiko ausfällt (im Limes einer zeitlich konstant gehaltenen risikoreichen Anlagequote am True Total Wealth wird dieses vollständig eliminiert). Das bedeutet, dass Zeitdiversifikation einen stragischen Ansatz über die Zeit benötigt, d.h. eine langfristige Planung der Vermögensanlage über den eigenen Lifecycle hinweg (und ggf. darüber hinaus), um diese Vorteile der Zeitdiversifikation bestmöglich für sich nutzen zu können.

Rebalancing umfasst also ebenfalls zwei Dimensionen:

  • Rebalancing auf der übergeordneten Ebene des risikofreien und risikoreichen Anteils des Portfolios:
    Bei konstanter relativer Risikoaversion muss auf dieser Ebene der risikoreiche Anteil bezogen auf das True Total Wealth durch Rebalancing konstant gehalten werden
    => Zeitdiversifikation
  • Rebalancing innerhalb des risikoreichen Anteils des Portfolios:
    Bei konstanter relativer Risikoaversion muss auf dieser Ebene die festgelegte Asset Allokation durch Rebalancing konstant gehalten werden
    => Portfolio-Diversifikation

Diesen Beitrag teilen


Link zum Beitrag
Sapine
vor 36 Minuten von Glory_Days:

Dabei unterscheide ich zwei Anleger:

  • Portfolio-Diversifikation:
    Der Anleger legt sein gesamtes Anlagekapital in einem zufälligen Jahr an.
  • Zeitdiversifikation:
    Der Anleger legt sein Anlagekapital anteilsmäßig nach Portfolio-Gewichtung in eine zufällige Komponente des OD-Portfolios an.

Im zweiten Fall wird die Komponente mit dem jeweiligen Gewicht der Komponenten im OD-Portfolio gewichtet und am Ende wird das gewichtete arithmetische Mittel der Portfolio-Renditen berechnet, um den Fall mit der Portfolio-Diversifkation vergleichbar zu machen.

Mir ist nicht klar, was genau du im zweiten Fall gemacht hast. Kannst du das bitte noch etwas konkreter beschreiben? 

Diesen Beitrag teilen


Link zum Beitrag
Glory_Days
· bearbeitet von Glory_Days
Am 8.7.2023 um 10:54 von Sapine:

Mir ist nicht klar, was genau du im zweiten Fall gemacht hast. Kannst du das bitte noch etwas konkreter beschreiben? 

Ich greife für jedes Jahr des Betrachtungszeitraums zufällig eine Komponenten-Rendite des OD-Portfolios heraus und gewichte diese mit dem jeweiligen Gewicht der Komponente im OD-Portfolio. Das habe ich 274.700 Mal gemacht, wobei ich die Komponenten-Renditen für die 53 vorhandenen Jahre des OD-Portfolios immer wieder untereinander gehängt habt (es gibt also insgesamt 6^53 verschiedene und eindeutige Kombinationen von Komponenten-Renditen aus unterschiedlichen Jahren, wobei sich die Anzahl bei 10 Jahren auf 6^10 ≈ 60 Millionen reduziert und die oben angegebenen Perzentil-Ergebnisse relativ konstant sind bei Wiederholung des Zufallsexperimentes). Anschließend summiere ich diese gewichteten Komponenten-Renditen rollierend für 10 Jahre auf und teile durch entsprechende Summe der Gewichte dieser 10 Jahreszeiträume, d.h. ich berechne das gewichtete arithmetische Mittel (wodurch eine Normierung stattfindet und der Fall mit der Portfolio-Diversifikation vergleichbar wird). Die 10-Jahreszeiträume sind also großteils historisch zusammenhängend (was die Clusterung von Volatilität und andere Effekte am besten widerspiegelt) (am Ende bzw. Anfang des 53 Jahre langen Zeitraums gibt es natürlich einen historisch unzusammenhängenden Überlapp).

Vereinfacht gesagt gibt die Untersuchung eine Antwort auf folgende (theoretische) Frage, die sich ein Anleger stellen könnte:
Soll ich mein gesamtes Kapital lieber in einem zufälligen Jahr in alle Komponenten des Portfolios anlegen (Asset-Diversifikation), oder anteilsmäßig nach Asset Allokation in eine jedes Jahr zufällig ausgewählte Komponente des Portfolios in allen Jahren des Betrachtungszeitraums (Zeitdiversifikation)?

Dadurch, dass das Portfolio-Exposure im statistischen Mittel gleich ist (gleicher Rendite-Mittelwert), kann man so dank dieser Fragestellung den Effekt der Asset-Diversifkation direkt mit dem Effekt der Zeitdiversifikation vergleichen (wenn man entsprechend normiert).

 

In einer 2D-Matrix ist das folgendes schematische Vorgehen:
Portfolio-Diversifikation:
Wähle für alle x-Werte (alle Komponenten-Renditen) zufällig einen y-Wert (den einen Zeitraum)

Zeitdiversifkation:
Wähle für alle y-Werte (alle Zeiträume) jeweils zufällig einen x-Wert (die eine Komponenten-Rendite je Zeitraum)

Das ist mathematisch gesehen nicht ganz die Permutation der Argumente der Funktion R(x,y), da im Fall der Asset-Diversifikation der zufällig gewählte y-Wert für alle x gleich ist, was übertragen auf die Zeitdiversifikation einen festen x-Wert für alle y bedeuten würde (d.h. es würde die gleiche Komponente für alle Zeiträume einmalig zufällig ausgewählt) - eine Untersuchung, die um den Portfolio-Gedanken widerzuspiegeln auf Portfolio-Ebene durchgeführt werden sollte. Diese Untersuchung habe ich in der letzten Spalte in folgender Grafik hinzugefügt, wobei diese also die (Asset + Zeit)-Diversifikation beinhaltet und die Statistik für die Portfolienrendite angibt, wenn immer 1/n-tel des Kapitels pro Jahr in das gesamte Portfolio angelegt wird (und n die Anzahl der Jahre des Betrachtungszeitraums angibt):

 

grafik.thumb.png.47acde5f57d2b0391c4d333616291c77.png


Die gewichtete Summe der Standardabweichungen der Komponenten-Jahresrenditen beträgt 21,89% (diese geht von dem hypothetischen Fall aus, dass alle Komponenten perfekt miteinander korreliert sind).
 

Etwas klarer geworden @Sapine (habe den Beitrag oben ebenfalls noch einmal editiert)?

Diesen Beitrag teilen


Link zum Beitrag
Glory_Days
· bearbeitet von Glory_Days

Der Effekt der Zeitdiversifikation (ZD) lässt sich auch für die Portfolio-Komponenten einzeln nachvollziehen: Die Standardabweichung wird erheblich reduziert, wenn das Anlagekapital statt in einem zufälligen Jahr zu gleichen Teilen 1/n auf die n Jahre des zufälligen Betrachtungszeitraums (hier 10 Jahre) verteilt wird:
 

grafik.thumb.png.5e19311b8ac2416a812bfdeb8f695e9b.png

Diesen Beitrag teilen


Link zum Beitrag
indianahorst

Prima, dass du das Thema Lifecycle Investing hier aufgreifst. Soweit ich es verstehe, hast du aber mit den beiden obigen Posts lediglich (aufwendig) gezeigt, dass Lifecycle Investing für das OD-Portfolio funktioniert - davon war ich aber ohnehin ausgegangen, da Lifecycle Investing nicht von einem spezifischen Portfolio abhängt.

 

Wie würde man Lifecycle Investing nun praktisch im OD-Portfolio umsetzen, z.B. um in der Ansparphase auf einen Hebel von 1,5 zu kommen?

Für die US-Variante erscheint mir die Lösung recht einfach, hier würde ich die 50% Aktien Offensiv durch den 2x MSCI USA (A0X8ZS) darstellen.

 

Bei der Welt-Variante ist es schon schwieriger, da es - leider - keinen 2x ETF auf den MSCI World Leveraged 2x Index gibt. Ad hoc würde ich Folgendes vorschlagen:

  • 50% Aktien Offensiv: je 25% 2x MSCI USA, 2x Nasdaq 100 (A0LC12)
  • 20% Aktien Defensiv: je 6,67% Europe Consumer Staples, Utilities, Health Care
  • 10% Gold
  • 10% Rohstoffe
  • 10% Kryptowährungen

Oder:

  • 50% Aktien Offensiv: je 16,67%  2x MSCI USA und 2x Nasdaq 100 (A0LC12) und 2x Euro Stoxx 50 (LYX0BZ)
  • 20% Aktien Defensiv: je 6,67% World Consumer Staples, Utilities, Health Care
  • 10% Gold
  • 10% Rohstoffe
  • 10% Kryptowährungen

 

Diesen Beitrag teilen


Link zum Beitrag
Glory_Days
· bearbeitet von Glory_Days
vor 10 Stunden von indianahorst:

Prima, dass du das Thema Lifecycle Investing hier aufgreifst. Soweit ich es verstehe, hast du aber mit den beiden obigen Posts lediglich (aufwendig) gezeigt, dass Lifecycle Investing für das OD-Portfolio funktioniert - davon war ich aber ohnehin ausgegangen, da Lifecycle Investing nicht von einem spezifischen Portfolio abhängt.

Meine Untersuchung oben ist nicht das, was man klassisch unter Lifecycle Investing (LCI) versteht - da in meiner Untersuchung so getan wird, als könnte man gleichzeitig in mehrere Jahre investieren (so wie man gleichzeitig über mehrere Assets in Form der Asset Allokation in einem Jahr streuen kann). Das ist in der Anlagepraxis so natürlich nicht möglich - mathematisch ist das der Unterschied zwischen arithmetischem und geometrischem Mittelwert (oben wird der (gewichtete) arithmetische Mittelwert verwendet). Man kann die Untersuchung auch mit dem (gewichteten) geometrischen Mittelwert wiederholen und erhält qualitativ den gleichen Effekt, wobei die absolute Höhe der Renditen naturgemäß sinkt. Die Portfolio-Diversifikation (Anlage über alle Assets in einem Jahr) ist isoliert betrachtet eine Ein-Perioden Anlage und daher intrinsisch arithmetisch, während Zeitdiversifikation eine Mehr-Perioden Anlage darstellt und daher intrinsisch geometrisch ist. D.h. man benötigt hier immer ein Mapping - entweder in die eine (alles arithmetisch) oder in die andere Richtung (alles geometrisch).

Das Buch von Ayres/Naybuff zu Lifecycle Investing hingegen vergleicht die Statistik verschiedener zeitlicher Allokationen des risikoreichen (und damit auch risikolosen Anteils) bezogen auf den Vermögensendwert untereinander. Diese Untersuchungen wie in Ayres/Nalebuffs Buch sind alle rein geometrisch (wie es die Anlagepraxis erfordert) und der positive Effekt resultiert aus einer Verringerung des Sequence-of-Returns Risk (SoRR) (das durch einen konstant gehaltenen risikoreichen Anteil am True Total Wealth (= Liquides Vermögen + Barwert des zukünftigen Vermögens) eliminiert werden kann):

Am 16.5.2023 um 21:38 von Glory_Days:

W(n) = W(0) * (P0*(1+R1)+(1-P0)*(1+Rf1)) * (P0*(1+R2)+(1-P0)*(1+Rf2)) * … * (P0*(1+Rn)+(1-P0)*(1+Rfn))

Mit W(n) = True Total Wealth nach n Perioden, P0 = Konstanter prozentualer Anteil des True Total Wealth, R1, ..., Rn = periodische Renditen des risikoreichen Anteils am True Total Wealth und Rf1, ..., Rfn = periodische Renditen des risikolosen Anteils am True Total Wealth

während meine Untersuchung oben einfach auf die geringere Korrelation von Renditen zwischen verschiedenen Jahren im Vergleich zu den Korrelationen von Assets innerhalb eines Jahres zurückzuführen ist (die arithmetische Untersuchung oben kennt kein SoRR).

Grundsätzlich sind beide ZD-Effekte - der von Lifecycle Investing nach Ayres/Nalebuff und der oben berechnete Effekt aufgrund der Korrelationen - äußerst robust (wobei es natürlich immer Konstellationen/Umstände geben kann, in denen eine andere zeitliche Allokation des risikoreichen Anteils besser ist, oder die Portfolio-Diversifikation niedrigere Korrelationen aufweist als die Renditen verschiedener Jahre - insbesondere wenn der Betrachtungszeitraum sehr kurz gewählt wird).

vor 10 Stunden von indianahorst:

Wie würde man Lifecycle Investing nun praktisch im OD-Portfolio umsetzen, z.B. um in der Ansparphase auf einen Hebel von 1,5 zu kommen? [...]

Du schlägst einen Ansatz von gehebeltem LCI mit LevETFs vor - was natürlich nur eine Form der möglichen Umsetzung von gehebeltem LCI ist. Problematisch ist die geringe Produktauswahl bei LevETFs - insbesondere sind mir keine gehebelten Sektor-ETPs bekannt und auch bei Rohstoffen gibt es vermutlich keine allzu große Auswahl (ein Beispiel wäre der UBS ETF (IE) CMCI Commodity Carry SF UCITS ETF (ISIN: IE00BKFB6L02), der einen Long/Short-Ansatz verfolgt). In den USA gibt es passende 2x-Sektor ETFs und teilweise auch 3x - aber diese sollten als deutscher Anleger mittlerweile nicht mehr handelbar sein. Gold kann es aufgrund der UCITS-Richtlinie nur als ETC geben (z.B. der an Xetra gehandelte WisdomTree Gold 2x Daily Leveraged (JE00B2NFTL95) oder WisdomTree Gold 3x Daily Leveraged (IE00B8HGT870)). Alternativ könnte man durch einen Wertpapierkredit bei den bewährten ETFs bleiben. Wenn man gehebeltes LCI anwenden möchte, muss man ab einem gewissen Zeitpunkt (in LCI-Phase 2 (Partially Leveraged) und Phase 3 (Unleveraged)) den Anteil der risikoreichen Assets am True Total Wealth tracken und zusätzliche Rebalancing-Schwellwerte definieren (was in der ersten LCI-Phase (Leveraged) nicht notwendig ist - dort muss man nur die in Frage kommende max. risikoreiche Allokation/den max. Hebelfaktor definieren).

vor 10 Stunden von indianahorst:

Für die US-Variante erscheint mir die Lösung recht einfach, hier würde ich die 50% Aktien Offensiv durch den 2x MSCI USA (A0X8ZS) darstellen.

Den Gedanken, nur den offensiven Anteil des OD-Portfolios moderat zu hebeln, halte ich für sinnvoll und richtig (wobei der Volatility Decay im Auge behalten werden muss). Wenn man es aggressiver umsetzen wöllte, könnte man in der US-Variante den offensiven Anteil gleichgewichtet auf den 2x MSCI USA und auf den 2x Nasdaq-100 aufteilen (analog zu deiner ersten Welt-Option)

Für die Welt-Variante würde mir persönlich deine zweite Option etwas besser gefallen - wenngleich beide Optionen alles andere als perfekt sind.

Diesen Beitrag teilen


Link zum Beitrag
geldvermehrer

Ich habe mittlerweile etwas den Überblick bezüglich deiner Investmentphilosopie verloren, gibt es Grundsätze, nach denen du anlegst? Gold und Rohstoffe wegen Diversifikation/neg. Korrelation (Markowitz)?

Diesen Beitrag teilen


Link zum Beitrag
Glory_Days
· bearbeitet von Glory_Days
vor 8 Stunden von geldvermehrer:

Ich habe mittlerweile etwas den Überblick bezüglich deiner Investmentphilosopie verloren, gibt es Grundsätze, nach denen du anlegst? Gold und Rohstoffe wegen Diversifikation/neg. Korrelation (Markowitz)?

Meine übergreifende Anlagephilosophie habe ich in diesem Beitrag einmal aufgeschrieben. Das sind wohlgemerkt Grundsätze und die Wichtigkeit der Ebenen nimmt mit zunehmender Ebene zu - sodass die Aufteilung des Portfolios zwischen risikoreich und risikolos zu jedem Zeitpunkt des Lebensanlagezyklus die wichtigste Entscheidungsebene eines Portfolios für mich darstellt.

Meine Philosophie sehe ich als eine Weiterentwicklung der Portfoliotheorie von Markowitz an, die verschiedene Konzepte miteinander vereint und harmonisiert (siehe auch diesen Beitrag für etwas mehr Kontext). Die konkrete Ausgestaltung kann verschiedenartig vorgenommen werden und im Einzelfall sehr unterschiedlich ausfallen - ich bin aber davon überzeugt, dass dieser grundlegende Ansatz zentral ist für eine vollumfängliche und optimale Implementierung von Diversifikation auf der Portfolioebene über den Lebensanlagezyklus hinweg.

 

Man kann die Herleitung der vier Ebenen der Diversifikation auch so deuten:

  • Es bringt nichts in einer einzigen Anlageklasse diversifiziert zu sein, wenn sich das systematische Risiko dieser Anlageklasse materialisiert (übergreifendes Risiko)
  • Es bringt nichts über Anlageklassen und innerhalb dieser Anlageklassen diversifiziert zu sein, wenn sich das systematische Risiko der Anlagestrategie materialisiert (übergreifendes Risiko)
  • Es bringt nichts über Anlagestrategien, Anlageklassen und innerhalb dieser Anlageklassen diversifiziert zu sein, wenn sich das systematische Risiko der Aufteilung des Portfolios zwischen risikoreich und risikolos im Zeitverlauf - das Sequence-of-Returns Risiko - materialisiert (übergreifendes Risiko)

So gesehen denke ich Diversifikation/Unkorreliertheit/Rebalancing etwas weiter als es die meisten Anleger typischerweise praktizieren. Oder anders ausgedrückt: Wenn ich die Unsicherheit der Zukunft schon akzeptieren muss, dann will ich zumindest meine Anlageziele mit größtmöglicher Wahrscheinlichkeit erreichen können.

Diesen Beitrag teilen


Link zum Beitrag
geldvermehrer

:thumbsup:Danke dir! Das sieht nach einem Plan aus:)

Diesen Beitrag teilen


Link zum Beitrag
geldvermehrer
Am 20.11.2022 um 00:39 von Glory_Days:

Vor dem Hintergrund einer unsicheren Zukunft, deren Risiken aus heutiger Sicht nicht quantifiziert werden können, gewinnt Markowitz Einsicht für Anleger an zusätzlicher Bedeutung. Tatsächlich ist das Prinzip der Diversifikation wohl eines der intuitivsten und gleichzeitig am häufigsten falsch angewendeten Konzepte des modernen Investierens. Um Diversifikation vollumfänglich zu begreifen, lohnt es sich verschiedene Ebenen von Diversifikation zu unterscheiden:

3. Ebene: Diversifikation über Anlagestrategien hinweg zur Reduzierung des verbleibenden Marktrisikos.

Beispiel:
Investition in verschiedene Anlagestrategien gestreut über z.B. Buy-and-Hold, Trendfolge oder Long/Short-Strategien auf Portfolio-Ebene

Ebene 3 wären jetzt z.B. Hedge Fonds, mit den i.d.R bekannten "unspektakulären" Renditen (vgl. Wette Warren Buffett). Auch der Democratic Alpha Fonds (Finanzwesir) beinhaltet zumindest Trendfolge und buy & hold. Gibt es überhaupt Fonds, die das in der Praxis zumindest in der Vergangenheit langfristig erfolgreich umgesetzt haben?

Diesen Beitrag teilen


Link zum Beitrag
Glory_Days
· bearbeitet von Glory_Days
vor 17 Stunden von geldvermehrer:

Ebene 3 wären jetzt z.B. Hedge Fonds, mit den i.d.R bekannten "unspektakulären" Renditen (vgl. Wette Warren Buffett). Auch der Democratic Alpha Fonds (Finanzwesir) beinhaltet zumindest Trendfolge und buy & hold. Gibt es überhaupt Fonds, die das in der Praxis zumindest in der Vergangenheit langfristig erfolgreich umgesetzt haben?

Die 3. Ebene erkennt die Tatsache an, dass es potenziell unkorrelierte Anlagestrategien geben kann, die das Marktrisiko weiter diversifizieren können ('Diversification of Strategies'). Hedgefonds stellen dafür eventuell ein mögliches Vehikel dar, sind aber typischerweise sehr teuer und intransparent - weshalb ich persönlich bei Vorliegen dieser Punkte von diesen abraten würde. Ich würde grundsätzlich bei kostengünstigen und transparenten ETP-Produkten bleiben und Strategien immer mit marktnahen Produkten umsetzen. Mögliche Strategien gibt es viele, z.B.

Zitat
  • Buy-and-Hold (Multi Asset + Rebalancing)
  • Trendfolge (Long/Short)
  • Mean Reversion
  • Momentum (Time-Series-, Cross-Sectional-, Dual-Momentum)
  • Low Volatility
  • Dividende
  • Saisonal und Zyklisch
  • Faktor (Long/Short)
  • ...

Diese müssen natürlich eine möglichst niedrige paarweise Korrelation untereinander aufweisen, sich gegenseitig ergänzen und außerdem zum eigenen Anlagestil/Leben passen. Insbesondere gilt für diese Ebene, dass

Zitat

Die konkrete Ausgestaltung verschiedenartig vorgenommen und im Einzelfall sehr unterschiedlich ausfallen kann.

Effektiv gesehen erzeugen mehrere (passive, Timing-, Auswahl-)Strategien immer eine dynamische Asset Allokation auf der Gesamtportfolio-Ebene. Manchmal wird ein solches Portfolio auch als 'Multi-Strategy Portfolio' bezeichnet. In diesem Beitrag hatte ich mal ein paar Quellen und Hintergründe zu diesem Thema verlinkt.

Diesen Beitrag teilen


Link zum Beitrag
Glory_Days
· bearbeitet von Glory_Days
vor einer Stunde von Hicks&Hudson:

Mich würde es schon reizen, einen simplen Heuristik-RP-Dreier im Vergleich zu Deinen ODs zu beobachten.

Vielleicht

1/3 Nasdaq bzw. MSCI WORLD 

1/3 Gold

1/3 10y US-Treasuries (*habe gerade nur die Renditen der 10 jährigen Treasuries)

+Rebalancing 1x pro Jahr

grafik.png.61952be6f93f7b0b6c15effe9f6bbacf.png

 

grafik.png.1e6828ee2e6c4abb880f44fae0ad619d.png

 

grafik.png.584cdfd375c91e01006f75648f649057.png

 

grafik.png.8bb307f5e1dd6a647297bc97c70105eb.png

 

Die historische Gewinnwahrscheinlichkeit des OD-Portfolios Defensiv gegenüber einem 1/3 Nasdaq + Gold + US 10 Year Treasury Bonds-Portfolio aus den obigen Plots berechnet sich auf Basis absoluter Renditen zu (in Klammern auf Basis von risikoadjustierten Renditen gemessen als geometrischer Mittelwert/Standardabweichung):

  • 5 Jahreszeitraum: 76% (73%)
  • 10 Jahreszeitraum: 89% (80%)
  • 15 Jahreszeitraum: 95% (79%)
  • 20 Jahreszeitraum: 100% (91%)

    grafik.thumb.png.9b1420f070e25f00c9d31afd034b7de4.png

 

Wichtiger Hinweis: Vergangene Renditen haben keine unmittelbare Aussagekraft für die Zukunft.

Diesen Beitrag teilen


Link zum Beitrag
Hicks&Hudson

Danke.

Wäre toll, wenn Du das RP tracken könntest seit 18.03.2022 mit Deinen Portfolios und Benchmarks.

 

PS: Habe erst jetzt gesehen, dass Du nur die 10y Treasuries nehmen konntest.

Dann ist es kein Risk Parity mehr. Da müsste man nochmal neu justieren von den Gewichtungen.

Moment...

 

Diesen Beitrag teilen


Link zum Beitrag
Hicks&Hudson
· bearbeitet von Hicks&Hudson
Am 30.6.2023 um 18:35 von Glory_Days:

Der Halbjahres-Zwischenstand 2023 für die verschiedenen Varianten des OD-Portfolios in EUR:

  • Kalenderjahr 2023 (01.01.2023 - 30.06.2023) (USA / World / World ESG):
    • OD-Portfolio (Krypto): +24,54% / +24,35% / +26,34%
    • OD-Portfolio (Offensiv): +17,89% / +17,70% / +19,69%
    • OD-Portfolio (Defensiv): +5,07% / +6,44% / +9,37%
    • OD-Portfolio (Equal Weight): +7,55% / +8,04% / +8,05%
  • Vergleich mit gängigen Aktienindizes + ARERO:
    • NASDAQ-100 (EQQX): +37,22%

    • S&P 500 (SXR8): +14,34%

    • MSCI World (EUNL): +12,74%

    • MSCI EM (EUNM): +3,16%

    • MSCI ACWI (IUSQ): +11,62%

    • FTSE All-World (VWCE): +11,44%

    • ARERO-Der Weltfonds: +3,92%

Halbjahr 2023 (01.01.2023 - 30.06.2023) (USA / World / World ESG):

  • NASDAQ-100 (EQQX / N1ES): +37,22% / ESG: +36,68%
  • Information Technology (QDVE / XDWT / WELU): +40,56% / +36,69% / +43,43%
  • Consumer Staples (2B7D / XDWS / WELW): -1,82% / +1,12% / +1,92%
  • Utilities (2B7A / XDWU / WELD): -9,48% / -3,17% / +2,65%
  • Health Care (QDVG / XDWH / WELG): -4,12% / -1,67% / -1,68%
  • Gold (EWG2): +2,68% (*Handelsplatz Stuttgart)
  • Rohstoffe (EN4C): -6,22%
  • Bitcoin (BTC): +77,59% (*Bitstamp Currencies)
  • Ethereum (ETH): +51,95% (*Bitstamp Currencies)

Hier hinzu würde ich mir das Risk Parity Heuristik Portfolio wünschen und dann auch regelmäßig im Vergleich mit Deinem Start Datum 18.03.2022.

 

RP Heuristik Offensiv (Neutral):

33,33% Nasdaq 100 (MSCI World)

33,33% Gold

33,33% Treasuries 20+ (wäre dieser ETF hier)

 

vor 15 Minuten von Hicks&Hudson:

PS: Habe erst jetzt gesehen, dass Du nur die 10y Treasuries nehmen konntest.

Dann ist es kein Risk Parity mehr. Da müsste man nochmal neu justieren von den Gewichtungen.

Moment...

Die Volatilität müsste hier langfristig bei ungefähr 10-11% liegen.

Damit müsste man im RP den Anteil der Treasuries auf (geschätzt) ca. 45% erhöhen und damit die Anteile von Gold und Nasdaq auf je ca. 28% verkleinern. Aber egal. Ich glaube, dass sich das Ergebnis nicht dramatisch verändern wird.

Mich interessiert eh mehr die Entwicklung die nächsten Jahre, weil ich das aktuelle Zinsniveau sehr bedeutend finde für den Start dieses Ansatzes. Vor 3-5 Jahren hätte ich da wohl eher schwarz gesehen, als wir Nullzinsen hatten. Die aktuelle Marktlage samt Zinsumfeld empfinde ich sozusagen als einigermaßen ´neutral´, weil Bonds nun eben wieder Sinn haben. Das war vor 3-5 Jahren noch ganz anders.

 

 

PS: Kleiner Fehler hier noch:

vor 28 Minuten von Glory_Days:

Die historische Gewinnwahrscheinlichkeit des OD-Portfolios Defensiv gegenüber 60/40 S&P 500 + US 10 Year Treasury Bonds-Portfolio

 

Diesen Beitrag teilen


Link zum Beitrag
Glory_Days
· bearbeitet von Glory_Days

  

vor 21 Minuten von Hicks&Hudson:

RP Heuristik Offensiv (Neutral):

33,33% Nasdaq 100 (MSCI World)

33,33% Gold

33,33% Treasuries 20+ (wäre dieser ETF hier)

Ich kann mal schauen, ob ich das hinzunehme - der Aufwand 1x jährlich sollte nicht so hoch sein.

vor 21 Minuten von Hicks&Hudson:

Die Volatilität müsste hier langfristig bei ungefähr 10-11% liegen.

Damit müsste man im RP den Anteil der Treasuries auf (geschätzt) ca. 45% erhöhen und damit die Anteil von Gold und Nasdaq auf je ca. 28% verkleinern. Aber egal. Ich glaube, dass sich das Ergebnis nicht dramatisch verändern wird.

Damit sollte sich qualitativ nichts verändern - ich verzichte mal auf die Bilder. Bei 45%/27%/28% (10y Treasuries/Gold/Tech) wird die risikoadjustierte Rendite (Geom. Rendite/Stdev) besser. Die historische Gewinnwahrscheinlichkeit des OD-Portfolios (in Klammer auf Basis der risikoadjustierten Rendite):

  • 5 Jahreszeitraum: 88% (69%)
  • 10 Jahreszeitraum: 100% (75%)
  • 15 Jahreszeitraum: 100% (64%)
  • 20 Jahreszeitraum: 100% (62%)

Insbesondere im Jahr 2008 hätte man mit einem solchen Ansatz bedeutend besser abgeschnitten (-2% für den RP-Ansatz vs. -23% im OD Defensiv-Ansatz).

vor 21 Minuten von Hicks&Hudson:

PS: Kleiner Fehler hier noch:

Ist oben korrigiert - zu viel Copy-Paste...

Diesen Beitrag teilen


Link zum Beitrag
Hicks&Hudson
vor 5 Minuten von Glory_Days:

Ich kann mal schauen, ob ich das hinzunehme - der Aufwand 1x jährlich sollte nicht so hoch sein.

Danke.

Die Rendite wird mau sein, aber die Sharpe Ratio / Volatilität inkl. DD in Krisen ist ja das, was interessant zu beobachten sein wird.

 

Diesen Beitrag teilen


Link zum Beitrag
Glory_Days
· bearbeitet von Glory_Days
vor 23 Minuten von Hicks&Hudson:

Die Rendite wird mau sein, aber die Sharpe Ratio / Volatilität inkl. DD in Krisen ist ja das, was interessant zu beobachten sein wird.

Da kann ein RP-Portfolio insbesondere beim MDD durchaus besser abschneiden - v.a. dann, wenn der Anleihen-Anteil funktioniert, d.h. in tendenziell deflationären Zeiten bzw. wenn die Notenbanken zu Zinssenkungen gezwungen sind (siehe auch die Zahlen in #648 sowie die Jahresrendite in der 10y US Treasuries in 2008). Auf Basis täglicher Renditen könnte der Effekt unter Umständen noch stärker ausfallen. Langfristig kostet so ein Anteil Anlegern meistens zu viel an absoluter Rendite und das Zinsänderungsrisiko nimmt bei langlaufenden Anleihen natürlich auch sehr stark zu (insbesondere wenn der Ausgangspunkt das Ende einer Nullzinsphase ist).

Diesen Beitrag teilen


Link zum Beitrag

Erstelle ein Benutzerkonto oder melde dich an, um zu kommentieren

Du musst ein Benutzerkonto haben, um einen Kommentar verfassen zu können

Benutzerkonto erstellen

Neues Benutzerkonto für unsere Community erstellen. Es ist einfach!

Neues Benutzerkonto erstellen

Anmelden

Du hast bereits ein Benutzerkonto? Melde dich hier an.

Jetzt anmelden

×
×
  • Neu erstellen...