Zum Inhalt springen
Glory_Days

Offensiv/Defensiv-Portfolio

Empfohlene Beiträge

Glory_Days
· bearbeitet von Glory_Days
vor 6 Stunden von indianahorst:

Strategie 1.5: Moving Average mit gehebeltem Nasdaq:

befindet sich der Nasdaq oberhalb seiner 220 Tage-Linie, so ist der 10-15% Nasdaq-Anteil des OD-Portfolios im A0LC12 investiert. Unterhalb des 220 MA ist der Anteil in Cash auf dem Tagesgeld.

Diese Strategie hatten wir im anderen Thread bereits diskutiert:

vor 6 Stunden von indianahorst:

Strategie 2 (30% des Gesamtportfolios):  Accelerating Dual Momentum

Angelehnt an diesen Artikel, allerdings mit etwas anderen Anlagevehikeln:

S&P500 -> 2x MSCI USA

Global Small Stocks -> Krypto

Long Term US Treasuries -> kurzlaufende europäische Staatsanleihen als Out-of-market-Asset

Der Link funktioniert nicht richtig. Ich halte von Dual Momentum eher wenig - scheint mir für Privatanleger etwas komplex in der Umsetzung zu sein und der Erfolg stark abhängig vom Momentum Faktor zu sein.

Diesen Beitrag teilen


Link zum Beitrag
indianahorst
vor 1 Stunde von Glory_Days:

 

Der Link funktioniert nicht richtig.

Fixed.

 

Zitat

Ich halte von Dual Momentum eher wenig - scheint mir für Privatanleger etwas komplex in der Umsetzung zu sein und der Erfolg stark abhängig vom Momentum Faktor zu sein.

Hast du einen besseren Vorschlag?

Diesen Beitrag teilen


Link zum Beitrag
Glory_Days
· bearbeitet von Glory_Days
Am 29.8.2023 um 23:16 von indianahorst:

Fixed.

Ohne diesen spezifischen Artikel jetzt komplett zu lesen: Das Konzept von Dual Momentum hat mich noch nie so richtig überzeugt und ich hatte mich schon einmal intensiver in die Materie eingelesen.

Am 29.8.2023 um 23:16 von indianahorst:

Hast du einen besseren Vorschlag?

Wie gesagt, ich habe für diese Ebene keine pauschale Lösung im Sinne einer one-size-fits-all solution. Anleger sollten sich selbst mit ihren Voraussetzungen/Präferenzen auseinandersetzen und diese mit vorhandenen Strategiemöglichkeiten abgleichen unter Berücksichtigung der in #699 aufgeführten notwendigen Eigenschaften von Strategien. Eine unvollständige Liste von Strategien hatte ich im folgenden Post einmal festgehalten:

Diesen Beitrag teilen


Link zum Beitrag
Glory_Days
· bearbeitet von Glory_Days

Eine sehr schöne und einsichtsreiche Darstellungsform von Renditen gibt es bei backtest.curvo in Form von Histogrammen. Dabei werden monatliche Renditen Intervallen von jeweils zwei Prozentpunkten zugeordnet und gemäß ihrer auftretenden Häufigkeit in Form eines Balkendiagramms geplottet.

Aus den relativen Häufigkeiten ließe sich die historische Wahrscheinlichkeitsverteilung von Monatsrenditen extrahieren und dann die historische Wahrscheinlichkeit der Verteilung für ein vorgebenes Rendite-Intervall berechnen, was in direktem Zusammenhang mit der Breite der Verteilung des Vermögensendwertes eines n-Perioden langen Anlagezeitraums steht:

Das OD-Portfolio zielt darauf ab, die Rendite-Verteilung gegenüber anderen Portfolien bei gleichbleibendem Mittelwert möglichst schmal zu halten. Ein anschauliches Beispiel ist der Zeitraum 07/2007 - 06/2023 mit den Daten der OD-Portfolio Varianten, des S&P500 und des MSCI Worlds:

 

grafik.png.3a42bb38052a043f57ac243e7a929949.png   grafik.png.50eac953a099243cc6f4ea93378d185d.png   grafik.png.69aabdc7388639f1d78ab1ea66776e0f.png

 

grafik.png.e20dd9d259b4f4e33776f2ade0015196.png   grafik.png.0f1d00ae8f5ce26e37053f1184f1c3c9.png

Diesen Beitrag teilen


Link zum Beitrag
Glory_Days
· bearbeitet von Glory_Days

Der lineare Korrelationskoeffizient ist eine wichtige Größe der Portfoliobeschreibung in der Mean-Variance Näherung. Um dieser wichtigen Größe auf Portfolio-Ebene Rechnung zu tragen, führe ich den Portfolio-Korrelationskoeffizienten ein, d.h. die gewichtete Summe der paarweisen Korrelationskoeffizienten eines n-Komponenten Portfolios - der die effektive Korrelation von Portfolien vergleichbar machen soll:

grafik.png.83de5a28a8c6229d75a326fca3693723.png

 

Dabei ist w_i der Gewichtungsfaktor der i-ten Komponente, und ρ_ij der paarweise Korrelationskoeffizient der Komponenten i und j.
 

Für ein Zwei-Komponenten Portfolio reduziert sich demnach der Portfolio-Korrelationskoeffizient zum paarweisen Korrelationskoeffizienten der beiden Komponenten. Per Definition bewegt sich der Portfolio-Korrelationskoeffizient wie der paarweise Korrelationskoeffizient selbst zwischen -1 (antikorreliert), 0 (unkorreliert) und 1 (korreliert).

Berechnet für das OD-Portfolio mit Jahresrenditen des Zeitraums 1970 - 2022 ergibt sich für die drei Varianten mit klassischen Anlageklassen bei jährlichem Rebalancing:

  • Defensiv: 0.15
  • Equal Weight: 0.09
  • Offensiv: 0.10

Diesen Beitrag teilen


Link zum Beitrag
geldvermehrer
Am 15.4.2022 um 13:15 von Glory_Days:

Ich würde niemals eine Anlageklasse für alle Zeiten komplett ausschließen. Im Wesentlichen gilt hier:

Ich sehe Anleihen aber von der Fundamentalbewertung aktuell als so gravierend schlecht an, dass ich sie derzeit tatsächlich nicht in das Portfolio mit aufgenommen habe.

Wie ist deine Meinung Stand heute zu Anleihen?

Diesen Beitrag teilen


Link zum Beitrag
Glory_Days
vor 4 Stunden von geldvermehrer:

Wie ist deine Meinung Stand heute zu Anleihen?

Außer für kurzfristige Fantasielosigkeit/Risikoschutz derzeit für ein langfristig orientiertes Portfolio noch nicht wieder zu gebrauchen.

Diesen Beitrag teilen


Link zum Beitrag
geldvermehrer
Am 5.6.2022 um 01:31 von Glory_Days:

Ich teile die Meinung, dass es bei kurzen Anlagehorizont riskant sein kann, auf ein reines Aktienportfolio zu setzen. Historisch gesehen wäre für den reinen Kaufkrafterhalt dafür wohl ein Anlagehorizont von 20-Jahren notwendig gesehen (Vorsicht: Keine direkte prädiktive Aussagekraft für die Zukunft), aber selbst dann ist die Schwankung der möglichen Renditen noch sehr hoch (siehe Link). Wenn man nicht mehr Anlagezeit mitbringen kann, oder von vorneherein weniger Anlagezeit mitbringt, dann kann und sollte man diese Schwankungen z.B. durch Diversifikation über Anlageklassen und regelbasiertem Rebalancing sowohl nach oben als auch nach unten weiter reduzieren.

Bei einem Anlagehorizont von 30 Jahren und mehr (bzw. bei Ableben Weitergabe an Kinder) wäre ein reines Aktiendepot vermutlich für dich akzeptabel (die Schwankungen muss man natürlich wissen)?

Würdest du in diesem Fall zu EINEM ETF z.B. auf den S&P 500 (KISS) raten, oder ähnlich deinem O/D-P zu einem nach Sektoren diversifizierten Portfolio z.B. 80% offensiv und 20% defensiv inkl. Rebalancing?

vor 38 Minuten von Glory_Days:

Außer für kurzfristige Fantasielosigkeit/Risikoschutz derzeit für ein langfristig orientiertes Portfolio noch nicht wieder zu gebrauchen.

Merci:thumbsup:

Diesen Beitrag teilen


Link zum Beitrag
Glory_Days
· bearbeitet von Glory_Days
vor 25 Minuten von geldvermehrer:

Bei einem Anlagehorizont von 30 Jahren und mehr (bzw. bei Ableben Weitergabe an Kinder) wäre ein reines Aktiendepot vermutlich für dich akzeptabel (die Schwankungen muss man natürlich wissen)?

Würdest du in diesem Fall zu EINEM ETF z.B. auf den S&P 500 (KISS) raten, oder ähnlich deinem O/D-P zu einem nach Sektoren diversifizierten Portfolio z.B. 80% offensiv und 20% defensiv inkl. Rebalancing?

Merci:thumbsup:

Man kann das über derart lange Anlagehorizonte schon machen. Es zeigt sich aber, dass über Anlageklassen diversifizierte Portfolio langfristig nicht notwendigerweise schlechter abschneiden müssen bei besserer Diversifikation und geringerem Risiko. Ich würde den Aktienanteil des OD-Portfolios dann isolieren und gemäß der vorgegebenen Verhältnisse des OD-Portfolios auf 100% skalieren:

  • Defensiv: 70% Aktien Defensiv, 30% Aktien Offensiv
  • Equal Weight: 50% Aktien Defensiv, 50% Aktien Offensiv
  • Offensiv: 30% Aktien Defensiv, 70% Aktien Offensiv

Wenn man für diese Mischungen den oben eingeführten Portfolio-Korrelationskoeffizienten berechnet, erhält man bei jährlichem Rebalancing:

  • Defensiv: 0.53
  • Equal Weight: 0.47
  • Offensiv: 0.43

Man sieht bereits anhand dieser Kennzahl direkt einen Unterschied im Vergleich zu den über Anlageklassen diversifizierten Varianten weiter oben.

Diesen Beitrag teilen


Link zum Beitrag
geldvermehrer

Vielen Dank, das finde ich sehr interessant:)

Diesen Beitrag teilen


Link zum Beitrag
Glory_Days
· bearbeitet von Glory_Days
vor 25 Minuten von geldvermehrer:

Vielen Dank, das finde ich sehr interessant:)

Ich auch, v.a. da ich diese Größe noch nie zuvor gesehen habe. Sie ist aber durchaus sinnvoll und anschaulich. Zwar könnte man prinzipiell auch die Summe der Kovarianzen berechnen - die Aufteilung zwischen Varianz und Kovarianz hängt aber von der beliebigen Fragmentierung des Portfolios ab, d.h. wenn man jeweils zwei Komponenten eines Portfolios zu einer effektiven Komponente zusammenfassen würde, ändert sich die Verteilung zwischen Varianz und Kovarianz.

Das hat mich gestern kurzzeitig hinsichtlich der Begriffe unsystematisches und systematisches Risiko ins Grübeln gebracht - wobei Letzteres immer als das residuale Restrisiko im Limes n -> ∞ definiert ist, was die Verteilung zwischen Varianz und Kovarianz dann irrelevant macht und meine Konfusion auflösen konnte.

Diesen Beitrag teilen


Link zum Beitrag
Glory_Days
· bearbeitet von Glory_Days

Die unterschiedliche Breite der Wahrscheinlichkeitsverteilung für Monatsrenditen lässt sich auch anhand der Fama/French-Daten von 07/1926 - 07/2023 für die US-Aktienmarkt Sektoren anschaulich nachvollziehen:

grafik.png.839534dd37b808438efce5c37a9ecbad.png      grafik.png.f819dcb93e76161b8fa407cc15aa7c32.png

 

grafik.png.f2b9e87c8c2dfbaad867b90948db0e9b.png      grafik.png.98f79f1f46c85caad6f61ef80f2408f1.png

 

grafik.png.28bba9ec488e2f6f459763e33ed01765.png      grafik.png.54e226c247dafe1828203fa81f043823.png

 

grafik.png.ef8d9a3ba451727525828aaaaa5f3dce.png      grafik.png.f4d524204e07a06d19d5823c91667a5c.png

 

grafik.png.2e379f97044eeef166c32cc5b8dbcf9a.png      grafik.png.b2228bfbe06e1dd9eb48e4aba5974a9d.png  

Diesen Beitrag teilen


Link zum Beitrag
Glory_Days
· bearbeitet von Glory_Days
Am 18.9.2023 um 17:58 von Glory_Days:
Am 18.9.2023 um 13:53 von geldvermehrer:

Wie ist deine Meinung Stand heute zu Anleihen?

Außer für kurzfristige Fantasielosigkeit/Risikoschutz derzeit für ein langfristig orientiertes Portfolio noch nicht wieder zu gebrauchen.

Ein wesentlicher Grund besteht auch darin, dass ich mich persönlich mit realen Sachwerten langfristig wesentlich sicherer fühle als mit nominalen Geldwerten. Insbesondere habe ich ein gesundes Misstrauen gegenüber der Kompetenz führender EZB-Verantwortlicher wie z.B. Christine Lagarde oder Isabel Schnabel.

Öffentliche Schriftstücke bestärken mich in dieser Ansicht und ich halte die EZB-Führung sowie viele Politiker häufig nur für Advokaten der Geldwertillusion. Deren Existenz mag zwar für die systemische Gesamtstabilität des Finanzsystems bis zu einem gewissen Grad notwendig sein - ich persönlich muss ihr wider besseren Wissens aber nicht auf den Leim gehen.

 

Folgende Punkte sind vor diesem Hintergrund wichtig:

  • Bei allen finanziellen Entscheidungen muss in realen statt nominellen Größen gedacht werden
  • Der Anteil des durch Inflation gefährdeten Geldvermögens am Gesamtportfolio muss kontinuierlich hinterfragt werden (reine Bedienung kurzfristig notwendiger Liquidität)
  • Insbesondere sollte es kein langfristig angelegtes Geldvermögen geben
  • Es muss berücksichtigt werden, dass die gesetzliche Rente, die betriebliche Altersvorsorge sowie kapitalbildende Lebens- und Rentenversicherungen in allen Erscheinungsformen als Geldvermögen eine Form von Inflationsrisiko in unterschiedlichem Ausmaß aufweisen

Mit welchen klassischen Anlageklassen man sich gegen Inflation schützen kann, offenbart das Credit Suisse Yearbook 2023 in Figure 78 (Summary Edition).

Diesen Beitrag teilen


Link zum Beitrag
geldvermehrer
Am 18.9.2023 um 18:41 von Glory_Days:

Man kann das über derart lange Anlagehorizonte schon machen. Es zeigt sich aber, dass über Anlageklassen diversifizierte Portfolio langfristig nicht notwendigerweise schlechter abschneiden müssen bei besserer Diversifikation und geringerem Risiko. Ich würde den Aktienanteil des OD-Portfolios dann isolieren und gemäß der vorgegebenen Verhältnisse des OD-Portfolios auf 100% skalieren:

  • Defensiv: 70% Aktien Defensiv, 30% Aktien Offensiv
  • Equal Weight: 50% Aktien Defensiv, 50% Aktien Offensiv
  • Offensiv: 30% Aktien Defensiv, 70% Aktien Offensiv

Wenn man für diese Mischungen den oben eingeführten Portfolio-Korrelationskoeffizienten berechnet, erhält man bei jährlichem Rebalancing:

  • Defensiv: 0.53
  • Equal Weight: 0.47
  • Offensiv: 0.43

Man sieht bereits anhand dieser Kennzahl direkt einen Unterschied im Vergleich zu den über Anlageklassen diversifizierten Varianten weiter oben.

Wenn ich es richtig in Erinnerung habe hatte Markowitz mal geschrieben, die Korrelationen innerhalb der selben Anlageklasse zu prognostizieren sei schwierig, aber wohl wünschenswert.

Bei seinem "optimalen Portfolio" (für jeden Anleger individuell nach Rendite- und Volatilitätsstreben) kam er sehr spät zu der Folgerung, auch hier sei es schwierig, zukündtige Korrelationen voraus zu prognostizieren und schlug equal weight der unterschiedlichen Anlageklassen vor.

Nehmen wir mal die Anlageklasse Aktien an, wäre dann ein Equal Weight ETF auf z.B. den S&P 500 oder All World eine gute Wahl, unter der VSS, die Kosten lägen ähnlich wie bei einem ETF nach Marktkapitalisierung?

vor 16 Stunden von Glory_Days:

Ein wesentlicher Grund besteht auch darin, dass ich mich persönlich mit realen Sachwerten langfristig wesentlich sicherer fühle als mit nominalen Geldwerten. Insbesondere habe ich ein gesundes Misstrauen gegenüber der Kompetenz führender EZB-Verantwortlicher wie z.B. Christine Lagarde oder Isabel Schnabel.

Öffentliche Schriftstücke bestärken mich in dieser Ansicht und ich halte die EZB-Führung sowie viele Politiker häufig nur für Advokaten der Geldwertillusion. Deren Existenz mag zwar für die systemische Gesamtstabilität des Finanzsystems bis zu einem gewissen Grad notwendig sein - ich persönlich muss ihr wider besseren Wissens aber nicht auf den Leim gehen.

 

Folgende Punkte sind vor diesem Hintergrund wichtig:

  • Bei allen finanziellen Entscheidungen muss in realen statt nominellen Größen gedacht werden
  • Der Anteil des durch Inflation gefährdeten Geldvermögens am Gesamtportfolio muss kontinuierlich hinterfragt werden (reine Bedienung kurzfristig notwendiger Liquidität)
  • Insbesondere sollte es kein langfristig angelegtes Geldvermögen geben
  • Es muss berücksichtigt werden, dass die gesetzliche Rente, die betriebliche Altersvorsorge sowie kapitalbildende Lebens- und Rentenversicherungen in allen Erscheinungsformen als Geldvermögen eine Form von Inflationsrisiko in unterschiedlichem Ausmaß aufweisen

Mit welchen klassischen Anlageklassen man sich gegen Inflation schützen kann, offenbart das Credit Suisse Yearbook 2023 in Figure 78 (Summary Edition).

Danke dir, das Yearbook 2023 ziehe ich mir die Tage rein:)

Diesen Beitrag teilen


Link zum Beitrag
Glory_Days
· bearbeitet von Glory_Days
vor 2 Stunden von geldvermehrer:

Nehmen wir mal die Anlageklasse Aktien an, wäre dann ein Equal Weight ETF auf z.B. den S&P 500 oder All World eine gute Wahl, unter der VSS, die Kosten lägen ähnlich wie bei einem ETF nach Marktkapitalisierung?

Die Güteklasse eines Equal-Weight Ansatz hängt maßgeblich von der korrekten Identifizierung der Risikoobjekte im Vorfeld ab. Im Limes großer Zahlen kann damit zwar immer das idiosynkratische Risiko vollständig eliminiert werden, was verbleibt ist allerdings das systematische Risiko (sog. "Marktrisiko"), das nicht wegdiversifiziert werden kann. Wenn man sein Anlageuniversum von vornherein auf eine Anlageklasse wie z.B. Aktien beschränkt, dann kann das übergreifende systematische Risiko immer noch hoch sein bzw. zumindest höher, als wenn man das Anlageuniversum um weitere Anlageklassen erweitert (siehe Ebenen der Diversifikation).

So gesehen kann ein Equal-Weight Ansatz irreführend und gefährlich sein, denn dieser alleine ist nicht hinreichend für ein diversifiziertes Portfolio. Vorher muss die notwendige Bedingung der korrekten Identifizierung der Risikoobjekte erfolgt sein, erst dann stellt der Equal-Weight Ansatz im Sinne der erwarteten risikoadjustierten Rendite einen effizienten Ansatz unter Unsicherheit dar. Problematisch könnte zudem sein, dass die erzielbare risikoadjustierte Rendite des EW-Ansatzes nicht zu den individuellen Anlagezielen des Anlegers in absoluter Höhe passt.

 

Da eine Gewichtungsveränderung die Eigenschaften des Portfolios verändern kann, sollte man - falls man einen EW-Ansatz verfolgen möchte - zuerst möglichst zielgenaue Produkte für die gewollten Eigenschaften/Risikoobjekte suchen und finden und erst danach in einem Top-Down Approach (d.h. Ebene für Ebene) die Gleichgewichtung vornehmen, sodass die Eigenschaften/Risikoobjekte möglichst erhalten bleiben und nur auf Ebene dieser bzw. innerhalb dieser eine unter Unsicherheit optimale Diversifikation durch Gleichgewichtung stattfindet.

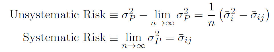
Mathematisch lässt sich das Portfolio-Risiko im Allgemeinen als Summe des idiosynkratischen und des systematischen Risikos darstellen:

grafik.thumb.png.cf229bc8109fe503f91520186b93121f.png

In der Mean-Variance Näherung und unter Annahme eines Equal-Weight Ansatzes ergibt sich explizit:
grafik.png.8bb87ac6cc0368568334a8a9f34599ab.png

Und damit für die Portfolio-Varianz insgesamt:

grafik.png.4f828abc202e7445ba11286a281b16e3.png

wobei Größen mit einem Überstrich arithmetische Mittelwerte darstellen.

Wer jetzt sehr gut aufgepasst hat hier im Thread, wird feststellen, dass der Term des idiosynkratischen Risikos fast identisch ist wie der des Rebalancing Bonus im EW-Fall in #622 - mit dem kleinen aber feinen Unterschied, dass der Vorfaktor im Falle des Risikos für große n verschwindet, während dieser im Falle des Rebalancing Bonus gegen den Wert 1/2 konvergiert.

Diesen Beitrag teilen


Link zum Beitrag
geldvermehrer

Danke dir, das hatten wir aber bereits schon weiter oben mit den Ebenen, das ist auch völlig richtig und wichtig. Nachdem die Risikoobjekte korrekt identifiziert sind und es um die Anlageklasse Aktien geht und jemand keine Sektorenwette etc. eingehen möchte, sondern "nur" einen globalen Aktien-ETF, wäre dann nach Markowitz ein Equal Weight Ansatz nicht zu bevorzugen, unter der Prämisse, die Kosten sind identisch?

Diesen Beitrag teilen


Link zum Beitrag
Glory_Days
· bearbeitet von Glory_Days
vor 19 Stunden von geldvermehrer:

Nachdem die Risikoobjekte korrekt identifiziert sind und es um die Anlageklasse Aktien geht und jemand keine Sektorenwette etc. eingehen möchte, sondern "nur" einen globalen Aktien-ETF, wäre dann nach Markowitz ein Equal Weight Ansatz nicht zu bevorzugen, unter der Prämisse, die Kosten sind identisch?

Markowitz würde mit seiner Theorie eine numerische Mean-Variance Optimierung basierend auf einer Rendite- und Kovarianzerwartung aller Assets durchführen und für alle Assets die Gewichtung gemäß numerischer Optimierung festlegen. Die naive Diversifikation wäre bei absoluter Unsicherheit rational (d.h. wenn gerade keine Rendite- und Risikoerwartung möglich/hinreichend sicher ist), da es in diesem Fall keine Begründung geben würde, weshalb man das eine Risikoobjekt höher gewichten sollte als das andere.

In der Praxis führt ein Equal-Weight Ansatz beim Aktienmarkt typischerweise dazu, dass man einen Style-Drift umsetzen würde - da z.B. nun plötzlich Small Caps wesentlich höher gewichtet würden als vorher bei Gewichtung nach MCAP. Das ist genau der Punkt, den ich oben gemeint habe, wie man es gerade nicht machen sollte. Man sollte sich erst die Eigenschaften/Risikoobjekte heraussuchen (z.B. Small Caps) und dann auf Ebene dieser Eigenschaften/Risikoobjekte (reines Beispiel: Small Cap, Value, Momentum) sowie innerhalb dieser Risikoobjekte (jeweils innerhalb Small Cap, Value, Momentum) versuchen Equal-Weight umzusetzen, vorausgesetzt man möchte ohne Rendite- und Risikoerwartung an die Sache herangehen.

 

So verständlich für dich?

Diesen Beitrag teilen


Link zum Beitrag
Caribbean001
· bearbeitet von Caribbean001

Kommen wir hier auch mal zu den Fakten? Sprich Ergebnisse in Form von Rendite, Volatilität, Sharpe Ratio etc.?

Diesen Beitrag teilen


Link zum Beitrag
Glory_Days
· bearbeitet von Glory_Days
Am 27.9.2023 um 21:21 von Caribbean001:

Kommen wir hier auch mal zu den Fakten? Sprich Ergebnisse in Form von Rendite, Volatilität, Sharpe Ratio etc.?

Unzählige Backtests, Vergleiche, als auch Out-of-Sample Resultate sind hier im Thread hinterlegt - am besten einfach mal durchklicken. Ansonsten sind auch die Links zu backtest.curvo im OP für einen ersten Überblick ganz hilfreich. Die Zahlen für das aktuelle Halbjahr findest du hier. Zum Ende des Jahres werde ich diese wieder aktualisieren.


Ich habe mir mal noch die CAPE-Korrelationen für verschiedene Regionen bzw. Länder basierend auf monatlichen Daten angeschaut. Dieses Ergebnis ist ebenfalls ein Indiz für das übergreifende systematische Risiko der Anlageklasse Aktien:
 

grafik.png.a3fe7ebb3a1361111400fc1a78ee5068.png

Diesen Beitrag teilen


Link zum Beitrag
geldvermehrer
vor 5 Stunden von Glory_Days:

Markowitz würde mit seiner Theorie eine numerische Mean-Variance Optimierung basierend auf einer Rendite- und Kovarianzerwartung aller Assets durchführen und für alle Assets die Gewichtung gemäß numerischer Optimierung festlegen. Die naive Diversifikation wäre bei Unsicherheit rational (d.h. wenn gerade keine Rendite- und Risikoerwartung möglich/hinreichend sicher ist), da es in diesem Fall keine Begründung geben würde, weshalb man das eine Risikoobjekt höher gewichten sollte als das andere.

In der Praxis führt ein Equal-Weight Ansatz beim Aktienmarkt typischerweise dazu, dass man einen Style-Drift umsetzen würde - da z.B. nun plötzlich Small Caps wesentlich höher gewichtet würden als vorher bei Gewichtung nach MCAP. Das ist genau der Punkt, den ich oben gemeint habe, wie man es gerade nicht machen sollte. Man sollte sich erst die Eigenschaften/Risikoobjekte heraussuchen (z.B. Small Caps) und dann auf Ebene dieser Eigenschaften/Risikoobjekte (reines Beispiel: Small Cap, Value, Momentum) sowie innerhalb dieser Risikoobjekte (jeweils innerhalb Small Cap, Value, Momentum) versuchen Equal-Weight umzusetzen, vorausgesetzt man möchte ohne Rendite- und Risikoerwartung an die Sache herangehen.

 

So verständlich für dich?

Ja, vielen Dank, jetzt ist mir klar was du meinst:thumbsup:

Diesen Beitrag teilen


Link zum Beitrag
geldvermehrer

Am 29.09.2022, vor über 1 Jahr, war ich der Meinung, @Glory_Days lehnt sich ganz schön aus dem Fenster mit seiner Wette^_^

Immer wieder habe ich in diesem Thread nachgelesen (und auch andere Beiträge von ihm "studiert"), mit dem Ergebnis für mich:

Es wird verdammt schwer für den Vanguard, ich würde jetzt auf @Glory_Days setzen:drool:

Diesen Beitrag teilen


Link zum Beitrag
Glory_Days
· bearbeitet von Glory_Days
vor 14 Stunden von geldvermehrer:

Am 29.09.2022, vor über 1 Jahr, war ich der Meinung, @Glory_Days lehnt sich ganz schön aus dem Fenster mit seiner Wette^_^

Immer wieder habe ich in diesem Thread nachgelesen (und auch andere Beiträge von ihm "studiert"), mit dem Ergebnis für mich:

Es wird verdammt schwer für den Vanguard, ich würde jetzt auf @Glory_Days setzen:drool:

Nachdem erst ein bisschen mehr als 1,5 von 20 Jahren der Wette vergangen sind, ist es für ein Fazit noch wesentlich zu früh.

Aktuell sieht der Zwischenstand im Zeitraum 18.03.2022 - 20.10.2023 so aus (Werte in EUR, bisher ohne Rebalancing im OD-Portfolio):

OD-US: +5,20%
OD-World: +2,90%
MSCI ACWI: -0,96%

 

So ganz überraschend wäre dieses Ergebnis angesichts des historischen Vergleichs aber nicht (den MSCI ACWI gibt es seit 31.12.1987, jährliches Rebalancing des OD-US-Portfolio, Werte in USD).

grafik.png.eb56787eca49da519ff83d37248945fb.png

 

Anders als es die konventionelle Meinung (auch hier im WPF häufig) besagt, kann Diversifikation über Anlageklassen für eine höhere Rendite bei gleichzeitig niedrigerem Risiko gegenüber einem 100%-Aktienportfolio sorgen (Werte in USD).

Man beachte auch den Vorzeichenwechsel bei der Skewness (Schiefe), was einen Wechsel von links- zu rechtsschief der Rendite-Verteilungsfuntion bedeutet. Weiterhin bedeutet eine Kurtosis (Wölbung) < 3, dass die Verteilung gegenüber der Normalverteilung näher am Mittelwert konzentriert ist, d.h. die Verteilung ist flachgipflig und weist eine geringere Wahrscheinlichkeitskonzentration bei Extremwerten auf. Eine leichte Rechtsschiefe sowie eine negative Exzess-Kurtosis (= Kurtosis - 3) sind beides vorteilhafte Eigenschaften der Rendite-Verteilungsfunktion in einem diversifizierten Portfolio.

 

grafik.thumb.png.c03f39dd821d7bb63c041322c2ec5909.png       grafik.thumb.png.aedb9c2e6090e4b4e58df34257c0ceb9.png

Diesen Beitrag teilen


Link zum Beitrag
Cobreeta

Spannendes Thema, wenn man damit Geld verdienen möchte. Also Menschen findet, die in solche Konstrukte investieren und dann wahrscheinlich zu 99% schlechter abschneiden als mit einem ACWI IMI ;)

Hat in den USA eine recht lange Zeit funktioniert. Geht heute auch noch recht gut.

Als Privatperson reine Zeitverschwendung. Außer man betrachtet das als Hobby und Zeitvertreibt.

Mit Backtest kann ich schöne 15% p.a. Portfolios basteln mit 10 Komponenten drin und mit vielen Formeln und Fantasie Kennzahlen versuchen das im Nachhinein zu erklären.

 

Das ist so als würde ich mir einen 11 Meter anschauen, um dann zu sagen, war doch klar, dass er links schießt, hat er in den letzten 3 Spielen auch schon gemacht... Wie dumm kann man als Torwart sein. Auf dem Niveau befindet man sich hier :)

 

Je mehr ich mich in diesem Bereich informiert habe, desto weniger weiß ich. Das ist ein gutes Zeichen :)

Das ist wie im Job als "Experte", ich weiß, dass ich gar nichts weiß, deswegen sollte ich  vorsichtig bei Prognosen sein.

Es kommt immer drauf an und am Schluss läuft sowieso alles anders als man denkt. Weil das das echte Leben ist.

Internet wird sich nicht durchsetzen, man brauch nur paar Computer auf der ganzen Welt und andere coole Prognosen... ^^

 

Marktkapitalisierung, BIP, Faktoren, Gold, Cash, physische Immobilien alles schöne Komponente für das eigene Portfolio, um je nach Ziel ein gutes Leben als Privatier zu führen. Anleihen, Fremdwährungen, wenn man auswandern möchte oder mehrere Standorte hätte.

Faktoren könnten langfristig bis zum Lebensende(hoffentlich noch 60+ Jahre^^) eine gewisse Mehrrendite bringen, wobei das auch fraglich ist.

So was wie offensiv, defensiv, Branchen usw. würde ich vorsichtig sein. Ein schwarzer Schwan und die ganze Strategie der letzten 20 oder 30 Jahre geht in wenigen Tagen in Luft auf.

 

Rebalancing an sich ist ein spannendes Thema. Bin hier auch dran und wahrscheinlich eine der wenigen Möglichkeiten für eine "sichere" Mehrrendite auf einen langen Zeitraum gesehen. Von 7% p.a. auf 7,5% p.a. wäre schon phantastisch. 

 

Diesen Beitrag teilen


Link zum Beitrag
geldvermehrer
vor 14 Stunden von Glory_Days:

Anders als es die konventionelle Meinung (auch hier im WPF häufig) besagt, kann Diversifikation über Anlageklassen für eine höhere Rendite bei gleichzeitig niedrigerem Risiko gegenüber einem 100%-Aktienportfolio sorgen (Werte in USD).

Genau so, es kann. Man weiß es nicht, wie Prof. Weber immer so schön über die Zukunft spricht:thumbsup:

Den kurzen Zeitraum mit outperformance sehe ich als nebensächlich an, eine underperformance wäre genauso gut oder schlecht gewesen. Auch der backtest ist eher nebensächlich (wäre die Portfoliorendite allerdings auf Sicht von 10 Jahren und länger deutlich unter der benchmark gelegen, dann kämen mir schon Zweifel). Was mich für die Zukunft der OD-Portfolios sehr positiv stimmt, ist die Sektorenkombination im Aktienanteil. Dieser Ansatz könnte der "Schlüssel für langfristige outperformance" sein;)

Wie siehst du das, wie wichtig ist die Beimischung von Gold/Rohstoffen überhaupt noch? 

 

Diesen Beitrag teilen


Link zum Beitrag
Sapine
vor 49 Minuten von Cobreeta:

So was wie offensiv, defensiv, Branchen usw. würde ich vorsichtig sein. Ein schwarzer Schwan und die ganze Strategie der letzten 20 oder 30 Jahre geht in wenigen Tagen in Luft auf.

Grundsätzlich sind die Depots von Glory_Days sehr breit aufgestellt. Ich würde jetzt keine extrem abweichende Entwicklung zu einem Marktindex erwarten beim Erscheinen eines schwarzen Schwans.  Ich finde den Ansatz extrem interessant weniger unter dem Aspekt einer Zusatzrendite als der abgesenkten Volatilität. Das wäre mir bei vergleichbarer Rendite bereits mehr als ausreichend. 

 

Natürlich ist der betrachtete Zeitraum noch deutlich zu kurz für weitergehende Schlussfolgerungen. Aber man kann Entscheidungen nicht immer auf die lange Bank schieben, das Leben ist begrenzt. 

vor 17 Minuten von geldvermehrer:

Wie siehst du das, wie wichtig ist die Beimischung von Gold/Rohstoffen überhaupt noch? 

Für mein inneres Wohlbefinden war der Blick auf den Goldkurs die letzten Tage durchaus angenehm. Gold tut was es in solchen Situationen tun soll, es glättet die Entwicklung. 

Diesen Beitrag teilen


Link zum Beitrag

Erstelle ein Benutzerkonto oder melde dich an, um zu kommentieren

Du musst ein Benutzerkonto haben, um einen Kommentar verfassen zu können

Benutzerkonto erstellen

Neues Benutzerkonto für unsere Community erstellen. Es ist einfach!

Neues Benutzerkonto erstellen

Anmelden

Du hast bereits ein Benutzerkonto? Melde dich hier an.

Jetzt anmelden

×
×
  • Neu erstellen...