Zum Inhalt springen
Sapine

Diskussion zum Thema Risiko

Empfohlene Beiträge

geldvermehrer
vor 4 Stunden von vanity:

Was man hier sehr schön sieht ist, welchen Einfluss die vielgeschmähte Vola (die für einen Langfristanleger nach neuesten wissenschaftlichen Untersuchungen von Bb&Co. völlig bedeutungslos ist) auf das Endergebnis nach einem fest vorgegebenen Zeitraum hat.

ÄÄÄÄÄh, nein, zumindest Co. hat sich dieser Meinung angeschlossen;)

Zitat

Entscheidend aus Anlegersicht sind Max Drawdown (MDD) und Downside-Volatilität als Risikomaß (in dieser Reihenfolge) sowie Return on Max Drawdown (RoMaD) und Sortino Ratio als risikoadjustierte Rendite.

 

Diesen Beitrag teilen


Link zum Beitrag
stagflation
· bearbeitet von stagflation
Am 29.8.2022 um 15:03 von vanity:

Da stagflation gerade so in Fahrt ist: Ich wünsche mir das Diagramm bei fester Renditeerwartung/Vola (am besten vielleicht für den blauen Fall 80/20), unterschiedlichen Anlagezeiträumen (z. B. 15, 20, 25, 30 Jahre) um zu sehen, ob die Zeit alle Wunden heilt.

 

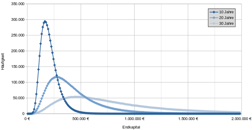
Hier die Ergebnisse...

  • Startkapital: 100 k€
  • Keine Sparraten
  • Berechnetes Portfolio: 80/20
  • Erwartete Rendite: 7.5 %
  • Volatilität: 12%
  • Anlagedauer: 10 Jahre, 20 Jahre, 30 Jahre
  • Erwartetes Endkapital: 206 k€, 425 k€, 875 k€

image.png.4bd7be99d6b1f331d212c1586fbd16de.png

 

Die Häufigkeitsverteilung wird mit längerer Anlagedauer immer breiter.

 

Etwas ähnliches kann man auch beim Entnahmerechner des BVI sehen. Wenn man dort 100 k€ anlegt und ähnliche Parameter wählt (keine Entnahmen, 100 % Aktien, Kosten: 0,5%, keine Steuern), bekommt man das gleiche Ergebnis:

 

image.png.a5c694663fa5ff2f33ec132d8b881e37.png

Auch hier wird die Verteilung immer breiter.

 

Die Zeit heilt also keine Wunden, sondern das Ergebnis wird mit steigender Anlagedauer immer ungewisser.

Diesen Beitrag teilen


Link zum Beitrag
dev
· bearbeitet von dev

Ich bezweifle die Korrektheit der Simulation, denn nach 30 Jahren soll es noch immer die Wahrscheinlichkeit geben, das man nicht mal sein Kapital raus bekommt, obwohl man im Schnitt eine Rendite von 7.5% p.a. erreichen soll?

 

Das wäre also nur der Fall, wenn man sehr sehr teuer eingekauft hat oder es eine Rezession über 30 Jahre gibt.

Beides für mich unvorstellbar.

 

P.S.

In dem Renditedreieck ist sehr gut zu sehen das es einen langfristigen Trend zur Mitte bei ~7% p.a. gibt, das ist kein Zufall.

Hinter den kurzfristig zufällig zappelnden Kursen stehen Firmen und diese versuchen eine Marge zu erwirtschaften und zu wachsen.

 

Keine Firma kann sich leisten über 30 Jahre keinen oder jährlich weniger Gewinn zu machen.

 

P.S. Selbst dieser ungünstige Zeitpunkt um 2000 ist inzwischen positiv

grafik.png.41da3d00b172172951f3fd3de5a9b2b5.png

 

Zitat

Mit der Wirtschaft und der Börse verhält es sich wie mit einem Mann und seinem Hund beim Spaziergang. Der Mann geht langsam und gleichmäßig, der Hund läuft vor und zurück. Aber beide bewegen sich in die gleiche Richtung. Der Mann ist die Wirtschaft, der Hund ist die Börse.

 

Ihr betrachtet nur den Hund und vergeßt das auch das auch der Mann sich bewegt.

Der Mann steht für die langfristige Gewinnentwicklung und der Hund ist die kurzfristige Kursbewegung, dennoch werden beide ankommen.

Diesen Beitrag teilen


Link zum Beitrag
Saek
· bearbeitet von Saek
2 hours ago, dev said:

Ich bezweifle die Korrektheit der Simulation, denn nach 30 Jahren soll es noch immer die Wahrscheinlichkeit geben, das man nicht mal sein Kapital raus bekommt, obwohl man im Schnitt eine Rendite von 7.5% p.a. erreichen soll?

Das sind keine historischen Daten, sondern Modellrechnungen. In dem Modell kann in einem ungünstigen, unwahrscheinlichen Fall negative Rendite auf negative Rendite folgen. Vielleicht ist das nicht realistisch (vielleicht aber auch schon), das lässt sich mit den verfügbaren kurzen Beobachtungen überhaupt nicht sagen. Falsch ist es deshalb nicht.

 

Quote

Ich habe eine Normalverteilung genommen. Man könnte aber auch eine studentische t-Verteilung, die logistische Verteilung oder eine exponentielle Verteilung nehmen.

@stagflation

Volatilität ist meines Wissens die Schwankung einer log-normal Verteilung. Ich bin mir nicht sicher, ob Normalverteilungen überhaupt sinnvoll sein können für Renditen?

Ich glaube, dass mit Normalverteilung nicht die Rendite rauskommt, die du als Eingangsparameter vorgibst.

Diesen Beitrag teilen


Link zum Beitrag
Saek
16 hours ago, stagflation said:
  • Startkapital: 100 k€
  • Jährliche Zuzahlungen: 6 k€, steigend mit 2% p.a.
  • Insgesamt eingezahltes Kapital: 292 k€
  • Anlagedauer: 25 Jahre
  • Berechnete Portfolios: 60/40, 80/20, 100/0
  • Erwartete Rendite: 6.6 %, 7.5 %, 8.4%
  • Volatilität: 10% , 12%, 14%
  • Gewünschtes Endkapital: 500 k€
  • Erwartetes Endkapital: 936 k€, 1095 k€, 1320 k€
  • Fehler-Wahrscheinlichkeit (500 k€ werden nicht erreicht): ca. 5%

 

image.png.0028ba26bd7d9f13f18bac27ada7ddf0.png

14 hours ago, Saek said:

Das schreit nach Lifecycle Investing ;)

Ich habe mal schnell ein Skript von mir laufen lassen. Dynamisierte Sparrate kann es nicht, also nur 6k€ jährliche Zuzahlung ohne Anpassungen. Die Rendite von Aktien ist 8.4%, die Volatilität 14%. Der sichere Anteil ist Cash (keine Volatilität, 1% Rendite).

LCI=Lifecycle Investing ohne Kredit. Zu Beginn 100% Aktien, erst ganz am Ende 40%; dazwischen konstant 60% Aktien, wenn man Humankapital mit einbezieht. Die durschnittliche Aktienquote (ohne Humankapital) ist dabei ca. 75%. Deshalb habe ich die 80% Aktien auf 75% geändert.

Haufigkeit der Endvermögen unter 500k€ in der Reihenfolge der Legende: 8.4%, 5%, 3%, 4.5%

image.png.f64a144ddfcba93587c182f6b9c557cc.png

@stagflation

Was mich interessieren würde: Liegt das an der zugrundeliegenden Verteilung (log-normal vs. normal), dass der linke Rand bei mir unterschiedlich je nach Aktienquote ist und bei dir fast identisch? (kann ich selbst überprüfen).

Und wie bist du auf die Renditen der Misch-Portfolios gekommen? Wenn ich versuche, die sichere Rendite rauszurechnen, komme ich auf 4%. Das erscheint mir arg optimistisch, so eine sichere Rendite gibt es derzeit nicht.

Diesen Beitrag teilen


Link zum Beitrag
dev
· bearbeitet von dev
vor einer Stunde von Saek:

Das sind keine historischen Daten, sondern Modellrechnungen.

Eventuell ist die Erwartete Rendite zu gering, weshalb es noch zu oft passieren kann eine kleiner Rendite zu erwirtschaften als die Realität zeigt.

Diesen Beitrag teilen


Link zum Beitrag
Sapine

@SaekDie 1 Prozent für die risikofreie Anlage sind auf längere Sicht sehr pessimistisch geschätzt. Ich hatte beim 80/20 grob über den Daumen gepeilt 7,5 = 6,72 (Aktien) + 0,78 (risikoarm). Dies entspräche 3,9 % was vielleicht etwas zu hoch ist wenn auch historisch nicht übertrieben. 

 

Eine Monte Carlo Simulation ist sicher deutlich besser als eine Prognose mit dem Sparplanrechner. Es ist nun mal so, dass Kurse nicht stetig nach oben streben sondern einen mehr oder weniger zufälligem Zackenkurs folgen und je nach Pfad ein unterschiedliches Endergebnis entsteht. Dennoch bleiben ein paar Schwachstellen beim Konzept. 

 

Schwierigkeit 1: Welches ist die richtige Volatilität. Stagflation hatte 14 % vorgeschlagen (aus ETF). Das habe ich so übernommen, da ich auf die schnelle keine Langfristzahlen gefunden habe. Ob die Zahl richtig ist? Meiner Meinung nach schwankt die Volatilität über die Zeit. Daher ist eine Berechnung mit einer fixen Volatilität zwangsläufig ein Modellfehler. In Krisenzeiten steigt die Vola bisweilen enorm. Das folgende Bild kann das veranschaulichen: 

image.png.1623c66be5dada5da742bd299a13cbe0.png

 

Schwierigkeit 2: Im Modell wird unterstellt, dass jeder Rendite von der des Vorjahres unabhängig ist. D.h. ganz egal ob die Bewertung jetzt bereits 10mal in Folge gesunken ist, im Folgejahr kann sie mit gleicher Wahrscheinlichkeit wieder fallen.

 

Das wird der Realität nicht gerecht. Ich denke es ist unbestritten, dass es langfristig ein "Mean Reversal" gibt für Renditen. D.h. nach schlechten Börsenjahren werden gute Börsenjahre wahrscheinlicher. Die Ereignisse sind nicht unabhängig voneinander. (Das ist das was Beck versucht auszunutzen. Nach schlechten Börsenjahren ist die Wahrscheinlichkeit hoch, dass gute Börsenjahre folgen.) Aber es lässt sich auch fundamental erklären. Wenn die Gesamtheit der Aktien nachhaltig Gewinne produziert, dann kommt nach mehreren schlechten Börsenjahren irgendwann der Zeitpunkt, wo alleine der Buchwert höher wird als der Aktienwert und die jährliche Dividendenzahlung gemessen am Kurswert zweistellig wird. In der Situation findet der Markt einen natürlichen Boden. 

 

Deshalb finden sich bei der Betrachtung des Renditedreiecks auch keine Negativrenditen für Anlagezeiträume von 30 Jahren. Bei der Monte Carlo Simulation kann dies durchaus passieren. Daher zeigt das Monte-Carlo Ergebnis zu hohe Werte für die Extrembereiche. 

Diesen Beitrag teilen


Link zum Beitrag
Saek
6 minutes ago, Sapine said:

Das wird der Realität nicht gerecht. Ich denke es ist unbestritten, dass es langfristig ein "Mean Reversal" gibt für Renditen. D.h. nach schlechten Börsenjahren werden gute Börsenjahre wahrscheinlicher.

Unbestritten ist mMn nur, dass es Regression zur Mitte gibt.

Quote

Regression zur Mitte ist ein Begriff der Statistik; er bezeichnet das Phänomen, dass nach einem extrem ausgefallenen Messwert die nachfolgende Messung wieder näher am Durchschnitt liegt, falls der Zufall einen Einfluss auf die Messgröße hat.

Mean Reversion hingegen steht im Widerspruch zur EMH und erfordert ein Gedächtnis im Zufallsprozess. Da sollte man skeptisch sein. Unbestritten ist das ganz sicher nicht, eher gibt es da uneinheitliche Meinungen. (Wenn ich mich richtig erinnere, gab es sowas z.B. in den USA, in vielen anderen Ländern aber nicht)

Mean Reversion lässt sich allerdings leicht in Vergangenheitsdaten beobachten, wenn man komplette Zeitreihen betrachtet: Da kann man super nachträglich einen Mittelwert reinfitten kann und die Kurse zappeln dann darum. Allerdings ist zu berücksichtigen, dass bei dieser Betrachtung der Mittelwert der Zukunft nicht bekannt ist, man also die gefittete Kurve nicht einfach in die Zukunft weiterschreiben kann und damit dem Markt erfolgreich timen. Das lässt sich testen, wenn man nur einen Teil der historischen Renditen nimmt.

 

38 minutes ago, dev said:

Eventuell ist die Erwartete Rendite zu gering, weshalb es noch zu oft passieren kann eine kleiner Rendite zu erwirtschaften als die Realität zeigt.

Es ist eine Konsequenz des Modells. Wenn es eine Wahrscheinlichkeit p>0% für eine negative Rendite für ein Jahr gibt, ist die Wahrscheinlichkeit für 'nur negative Renditen' in N Jahren immer >0, nämlich p^N. Das geht in dem Modell nie weg.

Es steht dir frei, einem solchen Modell bei extremen Ereignissen (oder auch allgemein) nicht zu glauben.

Wenn wir 25-Jahres-Zeiträume betrachten, gibt es da vielleicht 5 Beobachtungen bisher mit einigermaßen ähnlichen Bedingungen (selbst das finde ich zweifelhaft). Ob es extreme Ausreißer mit genau so einer niedrigen Wahrscheinlichkeit tatsächlich geben kann, werden wir nie bestätigen oder widerlegen können.

Diesen Beitrag teilen


Link zum Beitrag
Sapine
vor 11 Minuten von Saek:

Mean Reversion hingegen steht im Widerspruch zur EMH und erfordert ein Gedächtnis im Zufallsprozess. Da sollte man skeptisch sein. Unbestritten ist das ganz sicher nicht, eher gibt es da uneinheitliche Meinungen. (Wenn ich mich richtig erinnere, gab es sowas z.B. in den USA, in vielen anderen Ländern aber nicht)

Gegen die EMH komme ich natürlich nicht an - dennoch bin ich überzeugt, dass es bei der Folge der Renditen ein Gedächtnis gibt und die Annahme es gäbe sie nicht eine zu starke Vereinfachung darstellt und Fundamentaldaten ignoriert. Die Regression zur Mitte ist ein rein mathematisches Konstrukt was nichts mit der Abbildung des Modells zu tun hat. 

Zitat

Mean Reversion lässt sich allerdings leicht in Vergangenheitsdaten beobachten, wenn man komplette Zeitreihen betrachtet: Da kann man super nachträglich einen Mittelwert reinfitten kann und die Kurse zappeln dann darum. Allerdings ist zu berücksichtigen, dass bei dieser Betrachtung der Mittelwert der Zukunft nicht bekannt ist, man also die gefittete Kurve nicht einfach in die Zukunft weiterschreiben kann und damit dem Markt erfolgreich timen. Das lässt sich testen, wenn man nur einen Teil der historischen Renditen nimmt.

Grundsätzlich ist für meine Überlegung egal, wo dieser imaginäre Mittelwert liegt. Ich gehe auch nicht von einem fixen Mittelwert aus sondern von einem sich ändernden. Es geht auch überhaupt nicht darum einen Markt zu timen sondern ihn abzubilden. 

Zitat

Es ist eine Konsequenz des Modells. Wenn es eine Wahrscheinlichkeit p>0% für eine negative Rendite für ein Jahr gibt, ist die Wahrscheinlichkeit für 'nur negative Renditen' in N Jahren immer >0, nämlich p^N. Das geht in dem Modell nie weg.

Absolut korrekt, so rechnet das Modell. Nur passt das Modell nicht zur Realität. Es ist nur eine Näherung, die in diesem Punkt leider nicht sehr gut ist. 

Diesen Beitrag teilen


Link zum Beitrag
oktavian
vor 2 Stunden von Saek:

Ich bin mir nicht sicher, ob Normalverteilungen überhaupt sinnvoll sein können für Renditen?

ich glaube auf 20 Jahre rollierende Aktienmarktrenditen sind mit guter Näherung normalverteilt. Die täglichen Renditen des Aktienmarktes sind jedoch nicht normalverteilt. Zumindest würden das statistische Tests ergeben. Wir haben einfach zu viele Tages-Extremevents nach unten, aber über lange Zeiträume relativiert sich das wieder.

Diesen Beitrag teilen


Link zum Beitrag
stagflation
· bearbeitet von stagflation

Ich habe die obigen Grafiken berechnet um zu zeigen, wie breit die Häufigkeitsverteilungen sind. Wenn also ein Tool im Internet ausrechnet, dass man nach 20 Jahren 730.000 € hätte - dann ist das eine Lüge! Die richtige Aussage wäre: mit einer Wahrscheinlichkeit von 95% werdet ihr irgendetwas haben zwischen 200.000 € und 1,6 Millionen €. Ich empfehle deshalb, Tools zu vermeiden, die (nur) solche Zahlen ausrechnen. Es gibt ein paar Tools, die Fehlerwahrscheinlichkeiten angeben: z.B. ( 730.000 +/- 300.000  ) € - oder die die Verteilung graphisch anzeigen, wie z.B. das BVI Tool. Diese sind deutlich besser. 

 

Rendite-Dreiecke sind auch mit Vorsicht zu genießen. Sie haben den Vorteil, dass sie tatsächliche historische Renditen anzeigen. Sie haben aber den Nachteil, dass sie nur wenige Zeitreihen enthalten (einige Hundert). Das ist sehr viel weniger, als eine MC-Simulation mit vielen Millionen Verläufen. Man sollte also aufpassen, welche Schlüsse man aus den Rendite-Dreiecken zieht. Insbesondere halte ich den Schluss "man muss nur 20 Jahre warten, dann kann man praktisch keine Verluste machen" für verkehrt.

 

Was die MC-Simulationen angeht: man kann (und sollte) verschiedene Verteilungen für die Einzelrenditen simulieren. Häufig genutzt wird Lognormalverteilung. Alternativ kann man auch die t-Verteilung, die Student-Verteilung oder historische Renditen nehmen. Je nach Methode sehen die Kurven leicht unterschiedlich aus. Die Gesamtform und die Breite der Kurven ist dabei ähnlich. Für das, was ich zeigen sollte (nämlich dass die Verteilung sehr breit ist), ist die genaue Wahl der Einzelrendite-Statistik deshalb unerheblich. Wenn man hingegen Details ausrechnen möchte (wie groß ist die Wahrscheinlichkeit, dass ich ein bestimmtes Ziel erreiche bzw. nicht erreiche), dann kann die Wahl der Einzelrendite-Statistik erhebliche Auswirkungen haben. Deshalb habe ich @Sapine auch keine genaue Zahl genannt - obwohl mein Programm eine solche berechnen kann. Es wäre aber unredlich, 5.62% zu sagen - wenn man vermutet, dass mit einer anderen Einzelrendite-Statistik vielleicht 4.7 oder 7.2% herauskommen.

 

@Saek: vielen Dank für Deine Berechnungen und Deine Graphik! Deine Kurven sehen ähnlich aus wie meine: Die Breite der Kurven und die Peaks sind ähnlich. Im Detail und insbesondere Anstiegsverhalten gibt es Unterschiede.

 

In meinem Programm habe ich unterschiedliche Verfahren zum Generieren der Einzelrenditen verwendet. Zuerst simples Up/down, denn Normalverteilung, dann Lognormalverteilung. Ich muss gestehen, dass ich mit keinem der Verfahren so ganz glücklich bin. In der Literatur wird hauptsächlich Lognormalverteilung empfohlen. Ich habe es so implementiert, wie es in Ernst/Schurer "Portfolio-Management" gezeigt und sogar vorgerechnet wird. Allerdings hat dieses Verfahren den Nachteil, dass das Kapital bei einer Rendite=0 und Volatilität>0 bereits anfängt, langsam zu wachsen - zumindest in meinem Programm. Ich brauche also einen kleinen Korrekturfaktor - und ich habe noch nicht herausgefunden, wo das Problem liegt. Von daher könnte es sein, dass meine Kurven in Details (beispielsweise links im Anstiegsverhalten) noch nicht stimmen.

 

Was die Werte angeht: die 14% Volatilität für einen World- oder All-World ETF hatte ich irgendwann mal ausgerechnet und mir gemerkt. Die Zahlen für die Renditen sind im Zusammenspiel zwischen Sapine und mir in diesem Thread entstanden. Wenn Ihr andere Zahlen wünscht, kann ich gerne noch einmal rechnen. Ich glaube allerdings nicht, dass wesentlich andere Ergebnisse herauskommen werden. Die Kurven werden etwas anders aussehen. Aber die großen Breite der Häufigkeitsverteilung wird nicht dadurch verschwinden, dass man einen anderen risikofreien Zins oder eine andere Rendite für den Aktien-ETF wählt.

Diesen Beitrag teilen


Link zum Beitrag
Sapine

@stagflationIch schätze Deine Berechnung. Dennoch muss man sich der Schwächen eines Modells bewusst sein. Auch viele Millionen Iterationen können eine konzeptionelle Schwäche nicht ausgleichen so sie vorhanden ist. Ich behaupte (entgegen der EMH), dass die Renditen ein Gedächtnis haben in dem Sinn, dass die Wahrscheinlichkeit dafür ob es im nächsten Jahr bergab geht nicht unabhängig davon ist wie die Rendite in den Vorjahren war. Zehnmal hintereinander fallende Kurse sind im tatsächlichen Leben deutlich unwahrscheinlicher als man laut Deinem Modell annimmt.

 

Demgegenüber hast Du natürlich recht, dass man beim Blick auf die Historie das Problem hat, dass es halt nur 100 oder 150 Einzelwerte sind und die Zukunft natürlich andere Zeitreihen für uns bereit hat. Das gilt sowohl beim Renditedreieck wie bei der unten angezeigten Grafik. Es ist daher gut zu schauen, wo Modelle voneinander abweichen und warum. Gerade wenn man Sicherheit sucht, sollte man lieber mehrfach als nur einmal hinschauen.

 

Die folgende Grafik zeigt die Realrenditen des S&P seit 1870 für die Anlagedauer von 10/15/20/25/30 Jahre. Wie zu erwarten sind die Ausschläge nach oben und unten umso heftiger desto kürzer die Anlagedauer ist. 

 

image.png.995c03afe8547d5ec2b7dbcdca7fb2d1.png

 

Diesen Beitrag teilen


Link zum Beitrag
Saek
3 minutes ago, Sapine said:

Die folgende Grafik zeigt die Realrenditen des S&P seit 1870 für die Anlagedauer von 10/15/20/25/30 Jahre. Wie zu erwarten sind die Ausschläge nach oben und unten umso heftiger desto kürzer die Anlagedauer ist. 

Das 'Problem' bei dieser Grafik ist die Annualisierung der Renditen. Ohne werden die Ausschläge vermutlich immer heftiger, je länger die Anlagedauer wird.

 

1 hour ago, stagflation said:

Allerdings hat dieses Verfahren den Nachteil, dass das Kapital bei einer Rendite=0 und Volatilität>0 bereits anfängt, langsam zu wachsen - zumindest in meinem Programm.

Interessant, muss ich mal testen, wie sich das bei mir verhält.

Diesen Beitrag teilen


Link zum Beitrag
Sapine
vor einer Stunde von Saek:

Das 'Problem' bei dieser Grafik ist die Annualisierung der Renditen. Ohne werden die Ausschläge vermutlich immer heftiger, je länger die Anlagedauer wird.

Zunächst ist es erst mal eine andere Darstellung. Die Erkenntnis, dass ich mit meinem Spartrieb womöglich 2 Mio zusammen bekomme, hilft mir wenig weiter. Für mich als Sparer ist wichtig, welches Ergebnis ich erwarten kann und wo ich sozusagen eine untere Abschätzung habe. Die kann ich mit der annualisierten Realrendite deutlich besser abschätzen als mit Ergebnisspannen, bei denen ich nicht weiß mit welcher Wahrscheinlichkeit sie eintreten werden. Man kann  genau ablesen, dass bei einer Anlagedauer von 20 Jahren es in den letzten 150 Jahren mit all seinen Weltkriegen und Katastrophen keinen einzigen Zeitraum mit einer negativen Realrendite gab. 

 

Was man aber auch erkennen kann sind die Zusammenhänge zwischen der Bewertung der Aktienmärkte und der Renditeentwicklung. Das Gedächtnis bei den Renditen sozusagen und eben kein reiner Random Walk. Phasen schlechter Renditen bewirken Bewertungsänderungen der Märkte und in der Folge kommen nach den mageren die fetten Jahre. Wie viele und wie fett kann natürlich keiner vorhersagen. 

Diesen Beitrag teilen


Link zum Beitrag
oktavian
vor einer Stunde von Saek:

Das 'Problem' bei dieser Grafik ist die Annualisierung der Renditen. Ohne werden die Ausschläge vermutlich immer heftiger, je länger die Anlagedauer wird.

nein, generell werden die Ausschläge vom Mittelwert geringer bei längeren Zeiträumen. Man könnte statt Annualisieren auch z.B. auf 20 Jahreszeiträume hochrechnen, das würde daran auch nichts ändern. Man muss aber schon die Renditen auf die gleiche Basis beziehen zum Vergleichen: hier annualisiert = 1 Jahr.

vor 2 Stunden von stagflation:

Was die MC-Simulationen angeht: man kann (und sollte) verschiedene Verteilungen für die Einzelrenditen simulieren. Häufig genutzt wird Lognormalverteilung.

Lognormalverteilung wird für die Preise genutzt und nicht für die Renditen. Das macht Sinn, weil der Preis eben nicht unter Null fallen kann bei Aktien. Bei Öl usw. passt das evtl. nicht so gut. Renditen können auch, wie von mir geschrieben, normalverteilt sein.

Diesen Beitrag teilen


Link zum Beitrag
Glory_Days
· bearbeitet von Glory_Days
vor 12 Minuten von oktavian:
vor einer Stunde von Saek:

Das 'Problem' bei dieser Grafik ist die Annualisierung der Renditen. Ohne werden die Ausschläge vermutlich immer heftiger, je länger die Anlagedauer wird.

nein, generell werden die Ausschläge vom Mittelwert geringer bei längeren Zeiträumen. Man könnte statt Annualisieren auch z.B. auf 20 Jahreszeiträume hochrechnen, das würde daran auch nichts ändern. Man muss aber schon die Renditen auf die gleiche Basis beziehen zum Vergleichen: hier annualisiert = 1 Jahr.

Natürlich werden auf annualisierter Basis die Ausschläge mit zunehmender Anlagedauer gegenüber dem (annualisierten) Mittelwert geringer - wie man z.B. hier sehr schön sehen kann. Die Definition des geometrischen Mittelwerts staucht die Kurve auf der y-Achse entsprechend zusammen. Bei kumulierten Renditen ist das anders, dort wird der Abstand zum Mittelwert sowohl absolut als auch relativ gesehen größer.

Diesen Beitrag teilen


Link zum Beitrag
stagflation
· bearbeitet von stagflation

@Sapine: Es ist richtig, dass Random Walk mit Lognormalverteilung ein Modell ist.

 

Ein gutes Modell zeichnet sich dadurch aus, dass es

  1. Vorhersagen macht
  2. Die Wirklichkeit möglichst gut abbildet

Es ist eine große Herausforderung, solche Modelle zu finden. Die meisten Modelle, die entwickelt werden, scheitern entweder bei (1) oder bei (2) - und werden wieder verworfen.

 

Nimm das Modell "die zukünftige Kursentwicklung aus einem Rendite-Dreieck ablesen". Es macht keine Vorhersagen im mathematischen Sinn. Man kann damit nichts anfangen. Das Rendite-Dreieck besteht aus Renditen, die in einem Dreieck angeordnet sind. Unser Kopf fängt dann sofort an, Muster zu suchen - und findet das Muster: wenn ich nur lange genug warte, wird es immer grün. Das ist aber keine wissenschaftliche Vorhersage - sondern nichts anderes, als wenn man nachts an den Himmel schaut, dort ein paar mehr oder weniger zufällig angeordnete Punkte sieht - und sofort Sternbilder wie den großen Wagen oder das Kreuz des Südens erkennt.

 

Random Walk mit Lognormalverteilung macht hingegen Vorhersagen. Es sagt zwar leider nicht, wie sich der Kurs in den nächsten 6 Monaten entwickeln wird - aber es macht Vorhersagen zur Wahrscheinlichkeitsverteilung. Das ist schon mal etwas! Damit kann man arbeiten.

 

Ich stimme sogar zu, dass die Tagesrenditen in der Realität nicht unabhängig voneinander sein. Das heißt aber nicht, dass Random Walk mit Lognormalverteilung deshalb nicht funktionieren würde. Es ist nicht perfekt. Aber für viele Analysen hinreichend gut.

Diesen Beitrag teilen


Link zum Beitrag
Gast231208
· bearbeitet von pillendreher
vor 2 Stunden von Sapine:

 

Die folgende Grafik zeigt die Realrenditen des S&P seit 1870 für die Anlagedauer von 10/15/20/25/30 Jahre. Wie zu erwarten sind die Ausschläge nach oben und unten umso heftiger desto kürzer die Anlagedauer ist. 

Danke @Sapine für diese Grafik:

Was nehme ich mit?

Über 10-15-20 Jahre war mit einer Investition in den S&P kein Blumentopf zu gewinnen, zumindest in gewissen Marktphasen.

Blöd wenn diese Marktphase genau dann beginnt, wenn ich gezwungen bin, langfristig Geld aus meinem Aktiendepot zu entnehmen.

Genauso blöd schon in der Ansparphase, weil es sein kann, dass jeder mit 50 Jahren investierte Euro in den Aktienmarkt, erst wieder mit 70 Jahren bei Plus-Minus-Null steht.

Für mich ein sehr gutes Argument nicht nur auf Aktien in meinem Depot zu setzen.

Danke nochmals für die Bestätigung, dass Diversifizierung über verschiedene Assetklassen Sinn macht. :thumbsup:

Diesen Beitrag teilen


Link zum Beitrag
Glory_Days
· bearbeitet von Glory_Days
vor 39 Minuten von Sapine:

Für mich als Sparer ist wichtig, welches Ergebnis ich erwarten kann und wo ich sozusagen eine untere Abschätzung habe. Die kann ich mit der annualisierten Realrendite deutlich besser abschätzen als mit Ergebnisspannen, bei denen ich nicht weiß mit welcher Wahrscheinlichkeit sie eintreten werden.

Genau den Punkt habe ich in #283 doch schon gemacht - vielleicht kannst du diese weitere wichtige Risikometrik noch in deinen Thread mit aufnehmen (@Sapine merci - jetzt ist das Meiste, das ich zum Thema Risiko beitragen kann, hinterlegt :))? Am Ende spielt es natürlich keine Rolle, ob die untere Abschätzung über die annualisierte oder die kumulative Realrendite erfolgt. Wichtiger ist die Herangehensweise über die Worst-Case Betrachtung, denn damit landen wir wieder beim zentralen Punkt des Risikomanagements:

Zitat

Risk management is not about enhancing success; it is about avoiding the failures that are unacceptable.

Zitat

Was man aber auch erkennen kann sind die Zusammenhänge zwischen der Bewertung der Aktienmärkte und der Renditeentwicklung. Das Gedächtnis bei den Renditen sozusagen und eben kein reiner Random Walk. Phasen schlechter Renditen bewirken Bewertungsänderungen der Märkte und in der Folge kommen nach den mageren die fetten Jahre. Wie viele und wie fett kann natürlich keiner vorhersagen. 

Dieser Umstand ist spätestens seit Shiller allumfassend bekannt - und dennoch kann niemand die genauen Zeitskalen vorhersagen. So gesehen ist der Markt eher ein an Demenz erkrankter Patient, der hin und wieder einen lichten Moment hat. Von einem echten "Gedächtnis" im mathematischen Sinne würde ich daher im Bezug auf den Markt eher nicht sprechen. Übrigens hat diesen Umstand schon Keynes erkannt:

Zitat

Markets can remain irrational longer than you can remain solvent.

Diesen Beitrag teilen


Link zum Beitrag
Sapine
vor 1 Minute von pillendreher:

Über 10-15-20 Jahre war mit einer Investition in den S&P kein Blumentopf zu gewinnen - in gewissen Marktphasen - erst ab 25 Jahren wurde es interessant.

Naja - dass es Realrenditen sind hast Du schon gesehen oder? Im Mittel wird es sicher ab 15 Jahren interessant, dann ist ein "Verlustrisiko" absolut überschaubar bezogen auf die Realrendite. Bezogen auf die Nominalrendite bist Du da immer noch über Wasser. 

vor 1 Minute von pillendreher:

Blöd wenn diese Marktphase genau dann beginnt, wenn ich gezwungen bin, langfristig Geld aus meinem Aktiendepot zu entnehmen.

Genauso blöd schon in der Ansparphase, weil es sein kann, dass jeder mit 50 Jahren investierte Euro in den Aktienmarkt, erst wieder mit 70 Jahren bei Plus-Minus-Null steht.

Falsch - im ungünstigsten Zeitraum (einer von 100) hast Du eine Realrendite von Null, das ist weit mehr als Plus-Minus-Null. Das mach mal besser mit einer Alternativanlage.

vor 1 Minute von pillendreher:

Für mich ein sehr gutes Argument nicht nur auf Aktien in meinem Depot zu setzen.

Danke nochmals für die Bestätigung, dass Diversifizierung über verschiedene Assetklassen Sinn macht. :thumbsup:

Ich glaube du hast da was falsch verstanden. 

Diesen Beitrag teilen


Link zum Beitrag
Glory_Days
· bearbeitet von Glory_Days
vor 7 Minuten von pillendreher:

Für mich ein sehr gutes Argument nicht nur auf Aktien in meinem Depot zu setzen.

Danke nochmals für die Bestätigung, dass Diversifizierung über verschiedene Assetklassen Sinn macht. :thumbsup:

Das ist der wahre Gewinn der Diversifizierung über mehrere Anlageklassen: Die Minimierung des Shortfall-Risikos (d.h. die Verbesserung des Worst-Cases). Man verliert möglicherweise(!) etwas an Best-Case Potenzial gegenüber einem reinen Aktienportfolio - aber gewinnt an Sicherheit, die untere Schwelle des Worst-Case nach oben zu setzen. Insbesondere bei kürzeren Anlagehorizonten ist dieser Umstand geradezu essenziell - zumindest aus Risikogesichtspunkten.

Diesen Beitrag teilen


Link zum Beitrag
Gast231208
vor 1 Minute von Sapine:

Falsch - im ungünstigsten Zeitraum (einer von 100) hast Du eine Realrendite von Null, das ist weit mehr als Plus-Minus-Null. Das mach mal besser mit einer Alternativanlage.

Ohne Ironie - magst du (oder gerne auch jemand anders) mir bei meinem Denkfehler auf die Sprünge helfen, warum eine Realrendite von Null weit mehr ist, als Plus-Minus-Null?

Diesen Beitrag teilen


Link zum Beitrag
stagflation
vor 25 Minuten von oktavian:

Lognormalverteilung wird für die Preise genutzt und nicht für die Renditen. Das macht Sinn, weil der Preis eben nicht unter Null fallen kann bei Aktien. Bei Öl usw. passt das evtl. nicht so gut. Renditen können auch, wie von mir geschrieben, normalverteilt sein.

  • diskrete Renditen (z.B. Tagesrenditen): Lognormalverteilung
  • stetige Renditen: Normalverteilung

Diesen Beitrag teilen


Link zum Beitrag
Sapine

@pillendreherWenn für Dich eine positive Realrendite plus-minus null ist dann fehlen mir die Worte. 

 

 

Diesen Beitrag teilen


Link zum Beitrag
Glory_Days
· bearbeitet von Glory_Days
vor 2 Minuten von Sapine:

@pillendreherWenn für Dich eine positive Realrendite plus-minus null ist dann fehlen mir die Worte.

Er spricht vom ungünstigsten Fall und du von allen anderen Fällen. Missverständnisse im Internet sind so herrlich :D

Diesen Beitrag teilen


Link zum Beitrag

Erstelle ein Benutzerkonto oder melde dich an, um zu kommentieren

Du musst ein Benutzerkonto haben, um einen Kommentar verfassen zu können

Benutzerkonto erstellen

Neues Benutzerkonto für unsere Community erstellen. Es ist einfach!

Neues Benutzerkonto erstellen

Anmelden

Du hast bereits ein Benutzerkonto? Melde dich hier an.

Jetzt anmelden

×
×
  • Neu erstellen...