xfklu Dezember 10, 2020 Ja, aber es ist ja offenbar wieder außer Kontrolle geraten, obwohl wir in einem angeblich kontrollierbarem Zustand unter 35/100.000 waren. Das bedeutet dann ja, dass Maskentragen und Nachverfolgung auch bei niedriger Inzidenz nicht alleine reichen würden. vor 29 Minuten von chirlu: maximal 100 Milliarden Viruskopien enthält. Die Maximalmenge gilt laut der Quelle nur "during peak infection", also aus meiner Sicht nur ein paar Tage und nicht während der gesamten Infektionszeit. Darum dürfen die das nicht einfach mit der Gesamtzahl der Infizierten multiplizieren. Diesen Beitrag teilen Link zum Beitrag
paradox82 Dezember 10, 2020 · bearbeitet Dezember 10, 2020 von paradox82 vor 27 Minuten von chirlu: Ich verstehe nicht so richtig, was du hiermit sagen willst. Im Sommer war die Epidemie doch relativ gut unter Kontrolle, oder nicht? Eben. Und trotzdem war es nicht möglich das Virus so zu kontrollieren, sodass jetzt der November/Dezember Lockdown nötig war und wer weiß was nächstes Jahr noch kommt. Deswegen die Frage, wieso sollte es, wenn man jetzt es zurück auf 35/50 mit harten Maßnahmen kommt ( was man ja erstmal schaffen muss), anders laufen als die Entwicklung, die wir seit Sommer gesehen haben. Denn so verstehe ich die These, sehr hart bremsen, Fallzahl runter und dann braucht es keinen weitern harten Lockdown. @spreaditargumentiert, dass man jetzt besser nachverfolgen kann als im August. Ich hätte gesagt, dass der Sommer ja gezeigt hat, dass auch eine sehr gute Ausgangslage nicht hilft wie man an der jetzigen Situation sieht. p.S.: Ich will übrigens nicht irgendwelche Maßnahmen in Frage stellen. Ich möchte es nur verstehen. Stand jetzt fände ich es plausibler zu sagen, dass die Zahlen erstmal runtermüssen, damit die Todeszahlen auch sinken , aber dass es eben nicht dauerhaft niedrig bleibt , sondern auch wieder steigen wird (siehe Sommer) und somit weiter Maßnahmen nötig sind. Diesen Beitrag teilen Link zum Beitrag
chirlu Dezember 10, 2020 vor 11 Minuten von xfklu: Die Maximalmenge gilt laut der Quelle nur "during peak infection", also aus meiner Sicht nur ein paar Tage und nicht während der gesamten Infektionszeit. Richtig, deswegen auch maximal. Und es ist sogar doppelt maximal, denn es ist auch noch der obere Rand ihrer Schätzung für das Maximum. Aber sie haben auch nicht einfach mit diesem Maximalmaximum weitergerechnet. Diesen Beitrag teilen Link zum Beitrag
xfklu Dezember 10, 2020 Okay, ich habe nur den Abstract gelesen und dachte, die hätten es sich da etwas zu einfach gemacht. Im Grunde ist es auch ziemlich wurscht, ob es insgesamt 1 Gramm oder 1 Kilogramm ist. Heute schon mindestens +28k Neuinfektionen in Deutschland. Es scheint wieder exponentiell raufzugehen, weil sich die Leute in den Geschäften drängeln, um Weihnachtseinkäufe zu machen. Diesen Beitrag teilen Link zum Beitrag
chirlu Dezember 10, 2020 vor 9 Minuten von paradox82: trotzdem war es nicht möglich das Virus so zu kontrollieren, sodass jetzt der November/Dezember Lockdown nötig war vor 9 Minuten von paradox82: Ich hätte gesagt, dass der Sommer ja gezeigt hat, dass auch eine sehr gute Ausgangslage nicht hilft wie man an der jetzigen Situation sieht. Aber das sind doch zwei verschiedene Paar Schuhe. Aus jeder Ausgangslage, die nicht Null ist (= Virus vollständig ausgerottet), kann wieder eine beliebig schlechte Lage werden, wenn die Reproduktionszahl ansteigt – es dauert nur ein paar Vermehrungszyklen länger oder kürzer. Die Reproduktionszahl bestimmt, ob die Fälle konstant bleiben oder steigen oder fallen, und wie heftig gegebenenfalls. Und die Reproduktionszahl ergibt sich als Produkt aus vielen kleinen Faktoren, die das Ansteckungsrisiko erhöhen oder senken. Zum Beispiel (Zahlen frei erfunden): Masken tragen, –10%; herbstliches Wetter, +40%; schnelle Warnung von Kontaktpersonen durch das Gesundheitsamt oder über die App, –30%; Kneipen geschlossen, –20%. In diesem Beispiel würde aus der Basisreproduktionszahl von vielleicht 3 ein aktuelles R von 3·0,9·1,4·0,7·0,8 = 2,1, also eine explosive Vermehrung der Fälle. Diesen Beitrag teilen Link zum Beitrag
paradox82 Dezember 10, 2020 · bearbeitet Dezember 10, 2020 von paradox82 vor 7 Minuten von chirlu: Aber das sind doch zwei verschiedene Paar Schuhe. Aus jeder Ausgangslage, die nicht Null ist (= Virus vollständig ausgerottet), kann wieder eine beliebig schlechte Lage werden, wenn die Reproduktionszahl ansteigt – es dauert nur ein paar Vermehrungszyklen länger oder kürzer. So verstehe ich es auch. Das ist aber nicht die These die derzeit vertreten wird (u.a. Drosten /Priesemann). Da heisst es , jetzt hart bremsen , dann kein weiter Lockdown, weil Virus durch Nachveefolgung kontrollierbar. das möchte ich verstehen Diesen Beitrag teilen Link zum Beitrag
spreadit Dezember 10, 2020 vor 5 Minuten von paradox82: So verstehe ich es auch. Das ist aber nicht die These die derzeit vertreten wird (u.a. Drosten /Priesemann). Da heisst es , jetzt hart bremsen , dann kein weiter Lockdown, weil Virus durch Nachveefolgung kontrollierbar. das möchte ich verstehen Eventuell soll das der Bevölkerung auch nur mehr Sicherheit vermitteln. Ob die Politik die Kapazitäten zur Nachverfolgung überhaupt richtig beurteilen kann, halte ich für fraglich. Jede Stadt und jeder Landkreis sind hier anders aufgestellt. Ich denke, man wird sehr auf die Entwicklung in den Krankenhäusern und den Intensivstationen achten. Eine ehrliche Kommunikation wäre vielleicht, wenn die Politik nach dem jetzigen bzw. kommenden Lockdown zugeben würde, ein gewisses Maß an Auslastung in den Krankenhäusern zu tolerieren - auch wenn das für niemanden zufriedenstellend sein kann. Diesen Beitrag teilen Link zum Beitrag
xfklu Dezember 10, 2020 Ich verstehe das so: Wir hatten jetzt mit Schließung der Restaurants über mehrere Wochen ein R von ungefähr 1. Bei niedriger Inzidenz würde mit Schließung der Restaurants das R unter 1 liegen, weil die Nachverfolgung dann effektiver ist. Das wäre ein erträglicher stabiler Zustand für den Winter. Wir bräuchten dann keinen Lockdown mehr, sondern müssten nur die Restaurantbesitzer noch eine ganze Weile finanziell über Wasser halten. Diesen Beitrag teilen Link zum Beitrag
chirlu Dezember 10, 2020 vor 22 Minuten von paradox82: Das ist aber nicht die These die derzeit vertreten wird (u.a. Drosten /Priesemann). Da heisst es , jetzt hart bremsen , dann kein weiter Lockdown, weil Virus durch Nachveefolgung kontrollierbar. Ich glaube, das ist nicht deren These. (Ich habe mir zum Vergleich gerade mal dieses Interview mit Viola Priesemann beim Deutschlandfunk durchgelesen.) Es ist schon so, daß bei geringeren Fallzahlen die Wirkung der Kontakt-Nachverfolgung besser wäre, schon allein, weil die Gesundheitsämter keine Fälle liegen lassen müßten. Vielleicht liegt der Effekt derzeit nur bei –20% und könnte optimalerweise bei –35% liegen (wiederum, konkrete Zahlen frei erfunden). Das würde aber nicht bedeuten, daß man alle anderen Maßnahmen weglassen könnte; nur, daß man nicht weiter verschärfen mußte. vor 6 Minuten von xfklu: Wir hatten jetzt mit Schließung der Restaurants über mehrere Wochen ein R von ungefähr 1. Bei niedriger Inzidenz würde mit Schließung der Restaurants das R unter 1 liegen, weil die Nachverfolgung dann effektiver ist. Das wäre ein erträglicher stabiler Zustand für den Winter. Wir bräuchten dann keinen Lockdown mehr, sondern müssen nur die Restaurantbesitzer eine Weile finanziell über Wasser halten. Ich denke, das trifft die Idee. Dazu kommt noch: Wenn wir die Fallzahlen einmalig drastisch drücken könnten (für einige Zeit R deutlich unter 1) und dann zu dem jetzigen Stand (R≈1) zurückkehren würden, also gleichen mäßigen Einschränkungen wie jetzt, dann wären die Fallzahlen wieder konstant, aber auf niedrigerem Niveau. Das würde viele Leben retten und die Intensivstationen entlasten. Im Interview klingt das so: Zitat Es ist viel einfacher zu kommunizieren, dass die Krankenhäuser an einem Kapazitätslimit sind, aber es gibt gar keinen Grund, an diesem Kapazitätslimit zu bleiben, weil spätestens dort müssen wir stabilisieren, und diese Stabilisierung ist so extrem schwierig. Wenn die Fallzahlen erst einmal unten sind, dann ist eben diese Stabilisierung auf niedrigem Niveau viel, viel einfacher. Diesen Beitrag teilen Link zum Beitrag
alsuna Dezember 10, 2020 Das Preprint, in dem das im Original steht ist hier: https://arxiv.org/pdf/2011.11413.pdf Die Aussage, ist deutlich weniger konkret in Zahlen, als transportiert wird: Zitat We demonstrated that between the two extremes of eradication and high case numbers close to or beyondthe hospital capacity limit, stable and metastable regimes of SARS-CoV2 spreading exist. In such regimes,every person only has to reduce their contacts moderately, while case numbers still can be maintainedrobustly at low levels. The contact reduction can be milder if case numbers are sufficiently low, so that thetest-trace-isolate (TTI) system can act efficiently and quickly to break infection chains. Drosten macht das dann auch nicht viel konkreter: Zitat Das Entscheidende ist, man muss nicht nur so gerade eben erreichen, sondern man muss deutlich unter diese Schwelle zu einem bestimmten Zeitpunkt kommen. Also man muss so weit bremsen, bis man so tief gekommen ist. Dann kommt man, und da setzt jetzt ein sehr parametrisiertes, sehr detailliertes Modell ein, in einen Bereich, in dem man davon ausgehen kann - auch bei allen Schwankungen, die dann eintreten, und bei den kleinen Veränderungen - man kann diese Inzidenz auf Dauer kontrollieren. Man muss sich dann keine Sorgen über einen weiteren Lockdown machen. Während andere Szenarien, die auch früher schon mal gerechnet wurden, von anderen Gruppen, die müssen leider immer auch am Ende sagen: Es kann gut sein, dass man immer wieder in den Lockdown muss. Wir müssen uns auch klarmachen, wir wissen nicht wirklich, was die Kapazität des öffentlichen Gesundheitsdienstes ist. Also diese Zahlen von 35 oder 50 auf 100.000 pro Woche, das sind nur Schätzungen. Das ist nicht so, dass da jemand mit der Stoppuhr im Gesundheitsamt eine Erhebung gemacht hat, wie lange jeder Mitarbeiter an jedem Fall arbeitet, sondern das sind ganz grobe Schätzungen. Die Frage ist also, wo die Schwelle liegt, unter der die Gesundheitsämter die Sache unter Kontrolle bringen können. Das wird sich so einfach nicht beantworten lassen. Das Paper spricht auch noch einen weiteren wichtigen Aspekt an: Zitat For an efficient TTI implementation, fast testing, rigorous isolation, and a large fraction of traced contacts are essential Das hat auch im Sommer bei uns nicht immer funktioniert. Sowas muss, sozusagen als Parameter der Modellrechnung, natürlich funktionieren, sonst gelten die Schlussfolgerungen der Modellrechnung nicht mehr. Diesen Beitrag teilen Link zum Beitrag
paradox82 Dezember 11, 2020 · bearbeitet Dezember 11, 2020 von paradox82 vor 9 Stunden von alsuna: Dann kommt man, und da setzt jetzt ein sehr parametrisiertes, sehr detailliertes Modell ein, in einen Bereich, in dem man davon ausgehen kann - auch bei allen Schwankungen, die dann eintreten, und bei den kleinen Veränderungen - man kann diese Inzidenz auf Dauer kontrollieren. Man muss sich dann keine Sorgen über einen weiteren Lockdown machen. vor 9 Stunden von alsuna: Das Paper spricht auch noch einen weiteren wichtigen Aspekt an: Das hat auch im Sommer bei uns nicht immer funktioniert. Sowas muss, sozusagen als Parameter der Modellrechnung, natürlich funktionieren, sonst gelten die Schlussfolgerungen der Modellrechnung nicht mehr. Vielen Dank für die Diskussion und Erläuterungen anhand der Quellen. Ich fasse für mich zusammen, dass die These, dass weitere Lockdowns ab einen niedrigen Level nur dann vermieden werden, dann stimmt, wenn die Nachverfolgung gut klappt. Dieser wichtige Aspekt ist mir in den Diskussionen zu wenig beleuchtet worden. Das müsste m.E. klarer kommuniziert werden. Sonst ist die Enttäuschung groß. Als DE das erste Mal, im Sommer in einer solchen Situation war hat es nicht geklappt. Da muss man also besser werden. Einsatz der Bundeswehr scheint ein neuer Aspekt zu sein. Diesen Beitrag teilen Link zum Beitrag
Bast Dezember 11, 2020 Weitere Verschärfungen werden kommen: Zitat In den Gesprächen zwischen Bund und Ländern zeichnet sich eine Einigung auf gravierende Einschränkungen des öffentlichen Lebens ab: Baden-Württemberg plant Ausgangsbeschränkungen. In Thüringen sollen ab 19. Dezember fast alle Geschäfte schließen. https://www.faz.net/aktuell/politik/inland/corona-lockdown-bundeslaender-bereiten-erhebliche-einschnitte-vor-17096534.html vor einer Stunde von paradox82: Als DE das erste Mal, im Sommer in einer solchen Situation war hat es nicht geklappt. Da muss an also besser werden. Ich hoffe, dass die logistischen Herausforderungen der Impfung gemeistert werden (und die Akzeptanz in der Bevölkerung hoch genug ist), damit der nächste Lockdown der letzte sein wird. Diesen Beitrag teilen Link zum Beitrag
xfklu Dezember 11, 2020 Wenn sich im nächsten Herbst nur noch die Impfgegner und Coronaleugner anstecken, obwohl bis dahin wohl ausreichend Impfstoff für alle zur Verfügung steht, wird kaum noch einer Verständnis für Lockdowns haben. Diesen Beitrag teilen Link zum Beitrag
Gast240416 Dezember 11, 2020 · bearbeitet Dezember 11, 2020 von Cef Zitat Solche Corona-Leugner sollten mal mit mir auf Visite gehen, damit sie sehen, wie schwer die Leute leiden“, sagt er FAZ online Es muss mal klar gesagt werden: Die Erkrankung geht im Vollbild mit dramatischer Atemnot einher. Letztlich ersticken viele der Patienten. Aber das geschieht hinter den Fassaden, während draußen von diesen Covidioten vom Staatsstreich phantasiert wird. Diesen Beitrag teilen Link zum Beitrag
Madame_Q Dezember 11, 2020 · bearbeitet Dezember 11, 2020 von Madame_Q vor 4 Stunden von paradox82: Vielen Dank für die Diskussion und Erläuterungen anhand der Quellen. Ich fasse für mich zusammen, dass die These, dass weitere Lockdowns ab einen niedrigen Level nur dann vermieden werden, dann stimmt, wenn die Nachverfolgung gut klappt. Dieser wichtige Aspekt ist mir in den Diskussionen zu wenig beleuchtet worden. Das müsste m.E. klarer kommuniziert werden. Sonst ist die Enttäuschung groß. Als DE das erste Mal, im Sommer in einer solchen Situation war hat es nicht geklappt. Da muss man also besser werden. Einsatz der Bundeswehr scheint ein neuer Aspekt zu sein. Ist der entscheidende Punkt nicht einfach der, dass der Großteil des Geschehens schlichtweg vom Verhalten von uns allen abhängt? Mit den hohen Fallzahlen im Moment würde selbst ein "gutes Verhalten" von uns allen nur schwer etwas bringen ohne Lockdown. Bei niedrigen Fallzahlen kann man die Ausbreitung gut kontrollieren, sofern wir uns trotzdem alle vernünftig verhalten. Letzteres hat im Sommer nachgelassen (Leichtsinnigkeit usw.) und dadurch geriet es dann im Herbst wieder außer Kontrolle. Fazit: Letztendlich muss einfach jedem nur klar sein, dass es ohne vernünftiges Verhalten in der breiten Bevölkerung nicht geht, auch nicht mit niedrigen Fallzahlen und mit hohen Zahlen (wie jetzt) sowieso nicht. Mein Mann und ich kriegen übrigens gerade aus dem persönlichen Umfeld mit voller Wucht mit, wie schnell sich das Virus ausbreiten kann (Arbeitsplatz meines Mannes). Unglaublich sag ich euch. Wenn man es dann selbst erlebt, dann ist das auch nochmal ein anderes Bild. Diesen Beitrag teilen Link zum Beitrag
alsuna Dezember 11, 2020 vor 47 Minuten von Madame_Q: Ist der entscheidende Punkt nicht einfach der, dass der Großteil des Geschehens schlichtweg vom Verhalten von uns allen abhängt? Mit den hohen Fallzahlen im Moment würde selbst ein "gutes Verhalten" von uns allen nur schwer etwas bringen ohne Lockdown. Bei niedrigen Fallzahlen kann man die Ausbreitung gut kontrollieren, sofern wir uns trotzdem alle vernünftig verhalten. Letzteres hat im Sommer nachgelassen (Leichtsinnigkeit usw.) und dadurch geriet es dann im Herbst wieder außer Kontrolle. Fazit: Letztendlich muss einfach jedem nur klar sein, dass es ohne vernünftiges Verhalten in der breiten Bevölkerung nicht geht, auch nicht mit niedrigen Fallzahlen und mit hohen Zahlen (wie jetzt) sowieso nicht. Inhaltlich vollständige Zustimmung. Ich würde aber nicht sagen, dass "gutes Verhalten" ohne Lockdown nichts bringt. Wenn wir unter "gutem Verhalten" verstehen, dass die Menschen das tun was vernünftig ist und sich nicht auf das berufen, was erlaubt ist, dann brauchen wir keinen offiziellen Lockdown, um den gleichen Effekt zu erzielen. Beispiel wie ich das meine: wenn die Menschen nur noch aus dem Haus gehen, um wirklich nötige Dinge zu kaufen, dann ist der Baumarkt leer. Das hat dann den gleichen Effekt, wie wenn die Läden geschlossen werden. Allerdings ist es natürlich vollkommen illusorisch, dass das passiert. Deswegen brauchen wir doch immer schärfere Regeln. Diesen Beitrag teilen Link zum Beitrag
Madame_Q Dezember 11, 2020 vor 11 Minuten von alsuna: Wenn wir unter "gutem Verhalten" verstehen, dass die Menschen das tun was vernünftig ist und sich nicht auf das berufen, was erlaubt ist, dann brauchen wir keinen offiziellen Lockdown, um den gleichen Effekt zu erzielen. Beispiel wie ich das meine: wenn die Menschen nur noch aus dem Haus gehen, um wirklich nötige Dinge zu kaufen, dann ist der Baumarkt leer. Das hat dann den gleichen Effekt, wie wenn die Läden geschlossen werden. vor 11 Minuten von alsuna: Allerdings ist es natürlich vollkommen illusorisch, dass das passiert. Genau. Leider ist das so. In anderen Ländern mag das (teils) funktionieren. Hier bei uns klappt es nicht. Diesen Beitrag teilen Link zum Beitrag
Columbus83 Dezember 11, 2020 · bearbeitet Dezember 11, 2020 von Columbus83 Aha, in Ba-Wü wird es schon ab morgen Ausgangsbeschränkungen geben, man könnte auch Lockdown dazu sagen, aber dieses Wort wollte der MiPrä nicht sagen. Angeblich soll der Lockdown dann nach Weihnachten kommen, was ich persönlich für falsch halte, denn angesichts der steigenden Zahlen kann die 10 Personenanzahl an Weihnachten unmöglich aufrecht erhalten werden. Meiner Meinung nach wird ab nächster Woche (Montag? Dienstag?) ein Lockdown verkündet, der bis zum 10. Januar gilt. Persönliche Beobachtung meinerseits: Heute morgen war recht viel beim Einkaufen los. Eine Palette Toilettenpapier war auch schon ausverkauft. Es scheint so, als ob die Menschen hier schon damit gerechnet haben, dass es eine Verschärfung gibt. Diesen Beitrag teilen Link zum Beitrag
Krause76 Dezember 11, 2020 Viel Toilettenpapier wird nur verkauft, weil alle darüber sprechen, sich lustg machen und Bildchen via WhatsApp verschicken. Wenn das Volk dieses kapieren würde, dann wären wir einen gewaltigen Schritt weiter. Ich habe aber keine Hoffnung.... Diesen Beitrag teilen Link zum Beitrag
Gast240416 Dezember 11, 2020 Erstaunlich, was für manche hier schon für vor 2 Minuten von Krause76: einen gewaltigen Schritt halten Diesen Beitrag teilen Link zum Beitrag
xfklu Dezember 11, 2020 Robert-Koch-Institut empfiehlt, für Großeltern nur Geschenke zu kaufen, die man bis vier Wochen nach Weihnachten umtauschen kann. Diesen Beitrag teilen Link zum Beitrag
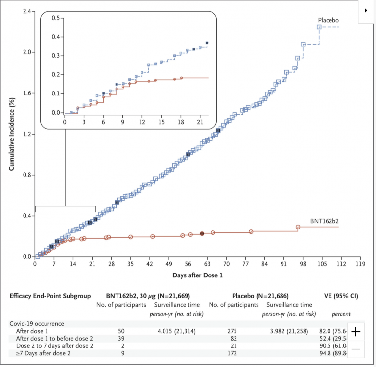
Bast Dezember 11, 2020 Hier das Fazit zum BioNTech-Impfstoff aus dem New England Journal of Medicine. Zitat A two-dose regimen of BNT162b2 conferred 95% protection against Covid-19 in persons 16 years of age or older. Safety over a median of 2 months was similar to that of other viral vaccines. Zitat The data presented in this report have significance beyond the performance of this vaccine candidate. The results demonstrate that Covid-19 can be prevented by immunization, provide proof of concept that RNA-based vaccines are a promising new approach for protecting humans against infectious diseases, and demonstrate the speed with which an RNA-based vaccine can be developed with a sufficient investment of resources. Zitat The cumulative incidence of Covid-19 cases over time among placebo and vaccine recipients begins to diverge by 12 days after the first dose, 7 days after the estimated median viral incubation period of 5 days,10 indicating the early onset of a partially protective effect of immunization. Quelle: https://www.nejm.org/doi/full/10.1056/NEJMoa2034577?query=RP#figures_media Diesen Beitrag teilen Link zum Beitrag
Gast240416 Dezember 11, 2020 · bearbeitet Dezember 11, 2020 von Cef Eine wirklich erstaunliche Studie, schönes klares Ergebnis. Ich höre es schon: Das deshalb natürlich nur von der bösen Pharmaindustrie, Genetikern und Virologen gefakt sein kann ... Diesen Beitrag teilen Link zum Beitrag
xfklu Dezember 11, 2020 Da kann man nur hoffen, dass man selbst auch irgendwann den guten BioNTech-Impfstoff bekommt und nicht z.B. den fragwürdigen schwedischen. Diesen Beitrag teilen Link zum Beitrag
Bast Dezember 11, 2020 · bearbeitet Dezember 11, 2020 von Bast vor 38 Minuten von Cef: Das deshalb natürlich nur von der bösen Pharmaindustrie, Genetikern und Virologen gefakt sein kann ... Was ein Geschwurbel. Dahinter stecken Bill&Angela, damit der Nachschub an Kinderblut für Hillary nicht versiegt Diesen Beitrag teilen Link zum Beitrag