Zum Inhalt springen
Vango

Vanguard ESG Global All Cap UCITS ETF

Empfohlene Beiträge

DST
· bearbeitet von DST

@tyr Ich stimme dir eingeschränkt zu. Wenn zwei ETFs die gleiche historische Performance hätten würde ich den mit mehr Aktienpositionen präferieren, da dieser (voraussichtlich) den niedrigeren Tracking Error haben dürfte.

Diesen Beitrag teilen


Link zum Beitrag
tyr
· bearbeitet von tyr
vor 3 Stunden von DST:

Wenn zwei ETFs die gleiche historische Performance hätten würde ich den mit mehr Aktienpositionen präferieren, da dieser (voraussichtlich) den niedrigeren Tracking Error haben dürfte.

Worauf basiert die Annahme?

 

Bitte differenzieren, mindestens zwischen einfachen liquiden schmalen Indizes auf entwickelte Märkte wie Euro Stoxx 50 und komplexen breiten globalen Indizes wie eben diesen FTSE Global All Cap Mutterindex mit 9214 Werten. Selbst wenn man einen ESG-Filter drüber jagt bleiben noch viel zu viele EM SC Minipositionen übrig, die man überhaupt nicht im Fonds haben will und die genau deine Aussage behindern, einen niedrigen tracking error auf den nachgebildeten Index haben zu wollen.

 

Du willst nicht die EM SC Aktien selber halten, du willst die Performance des Index im Depot haben.

 

Edit: 

Attributes 		FTSE Global All Cap Choice 	FTSE Global All Cap
Number of constituents 	7622				9214
Net MCap (USDm) 	59,865,126 			72,727,674

 

Völlig übertrieben, 7.600 Aktien auf Kosten des Fonds physisch kaufen, verkaufen, steuerlich behandeln usw. zu wollen. Die Kosten und Schwierigkeiten bei den kleinen EM SC Positionen hat man sicher. Warum sollte nicht eine bereits breite optimierte Auswahl an z. B. maximal 500 Werten zur Nachbildung des Index ausreichen?

Diesen Beitrag teilen


Link zum Beitrag
Madame_Q
vor einer Stunde von DST:

@tyr Ich stimme dir eingeschränkt zu. Wenn zwei ETFs die gleiche historische Performance hätten würde ich den mit mehr Aktienpositionen präferieren, da dieser (voraussichtlich) den niedrigeren Tracking Error haben dürfte.

Man könnte auch sagen, man nimmt den mit den weniger Positionen, weil er weniger Kosten hat aufgrund weniger Werte.

Diesen Beitrag teilen


Link zum Beitrag
oktavian
vor 15 Minuten von Madame_Q:

Man könnte auch sagen, man nimmt den mit den weniger Positionen, weil er weniger Kosten hat aufgrund weniger Werte.

Man könnte auch schauen wie stark sich active share im Vergleich zum Index überhaupt jeweils unterscheidet und die Mehrkosten in Relation dazu betrachten. Bei aktiven fonds möchte man gerne hohen active share sehen, um nicht fürs beta zu bezahlen. Bei diesem ETF Vergleich würde man gerne niedrigen active share sehen.

Diesen Beitrag teilen


Link zum Beitrag
Beginner81

Man könnte auch aufhören jeden Thread zu einem speziellen ETF mit dieser Diskussion zuzumüllen und sie in einen eigenen Thread auslagern.

Diesen Beitrag teilen


Link zum Beitrag
Peter23
vor 4 Minuten von Beginner81:

Man könnte auch aufhören jeden Thread zu einem speziellen ETF mit dieser Diskussion zuzumüllen und sie in einen eigenen Thread auslagern.

+1

Diesen Beitrag teilen


Link zum Beitrag
DST
· bearbeitet von DST
vor 2 Stunden von Madame_Q:
vor 3 Stunden von DST:

@tyr Ich stimme dir eingeschränkt zu. Wenn zwei ETFs die gleiche historische Performance hätten würde ich den mit mehr Aktienpositionen präferieren, da dieser (voraussichtlich) den niedrigeren Tracking Error haben dürfte.

Man könnte auch sagen, man nimmt den mit den weniger Positionen, weil er weniger Kosten hat aufgrund weniger Werte.

In der Performance sind bereits alle Kosten enthalten. Zudem beweist Vanguard mit seinem All-World ETF, dass man den Großteil des Aktienmarktes mit mehr als 3000 Aktien sehr kosteneffizient abbilden kann. Die Kosten für den Anleger tendieren dabei effektiv gegegen null. Wie gut der ESG All Cap mit noch ein paar mehr Positionen abschneiden wird gillt es abzuwarten, aber ich vermute, dass Vanguard auch diese Aufgabe hinreichend gut erfüllen wird.

Diesen Beitrag teilen


Link zum Beitrag
tyr
· bearbeitet von tyr
vor einer Stunde von DST:

Wie gut der ESG All Cap mit noch ein paar mehr Positionen abschneiden wird gillt es abzuwarten, aber ich vermute, dass Vanguard auch diese Aufgabe hinreichend gut erfüllen wird.

... wie viele andere Index-ETF genau so.

  • sonst wird darauf bestanden, dass ein Fonds mindestens 100 Mio. Euro Volumen haben muss, besser noch eine Milliarde. Hier reichen schon 47 Millionen USD beide Anteilsklassen zusammen, ...
  • eine Diskussion der ESG-Filtermethoden findet ebenfalls nicht statt. Wohl ebenfalls, ... 
  • bei anderen Produkten wird immer wieder erbittert um TD gestritten. Hier ist der Fonds noch keine zwei Monate alt, es ist keinerlei TD bekannt und es wird trotzdem gekauft, ...

weil es Vanguard ist. Faszinierend.

 

Bisher kann ich nur den globalen DM+EM LC/MC/SC-Index als Vorteil erkennen, ähnlich wie SPDR MSCI ACWI IMI.

 

Ohne die ESG-Filterkriterien genauer zu beleuchten und mit den eigenen Ansprüchen zu vergleichen ist das jedoch noch nichts wert. Der ESG-Filter kann je nach persönlichen Ansprüchen zu fein, zu grob oder ungefähr persönlich passend liegen. Eine TD-Diskussion ist sinnlos, solange man nicht die ESG-Eigenschaften auseinander nimmt und mit dem Wettbewerb vergleicht.

Diesen Beitrag teilen


Link zum Beitrag
oktavian
vor 14 Minuten von tyr:

Eine TD-Diskussion ist sinnlos, solange man nicht die ESG-Eigenschaften auseinander nimmt und mit dem Wettbewerb vergleicht.

Daher habe ich schon geschrieben, man kann erst einmal active share berechnen+Kosten, um eine Einschätzung für die TD zu gewinnen. Active share würde ich zum bench: FTSE Global All Cap Choice Index berechnen und auch evtl. zum FTSE Global All Cap Choice Index, um zu sehen wie viel choice überhaupt ausmacht. Evtl noch zum Allworld oder MSCI World.

 

Einige wollen eben nur spezifische Informationen zu genau diesem einen ETF. Da findet ihr doch alles in post #1, was sucht/erwartet ihr denn noch hier (ernstgemeinte Frage) @Peter23 @Beginner81

Diesen Beitrag teilen


Link zum Beitrag
tyr
vor 12 Minuten von oktavian:

Daher habe ich schon geschrieben, man kann erst einmal active share berechnen+Kosten,  

Welcher active share? Das ist ein passiver Indexfonds:

Zitat

Ziele und Anlagepolitik
2 Der Fonds verfolgt einen Passivmanagement- bzw. Indexierungsanlageansatz, indem er Wertpapiere physisch erwirbt und versucht, die Wertentwicklung des FTSE Global All Cap Choice Index (der „Index“) nachzubilden.


ESG-Filter auf marktbreite Standardindizes sind keine aktive Anlage mit dem Ziel einer Outperformance.

Diesen Beitrag teilen


Link zum Beitrag
Peter23
· bearbeitet von Peter23
vor 1 Stunde von DST:

In der Performance sind bereits alle Kosten enthalten. Zudem beweist Vanguard mit seinem All-World ETF, dass man den Großteil des Aktienmarktes mit mehr als 3000 Aktien sehr kosteneffizient abbilden kann. Die Kosten für den Anleger tendieren dabei effektiv gegegen null.

Genau.

vor 1 Stunde von DST:

Wie gut der ESG All Cap mit noch ein paar mehr Positionen abschneiden wird gillt es abzuwarten, aber ich vermute, dass Vanguard auch diese Aufgabe hinreichend gut erfüllen wird.

Auch hier tendiere ich zur Zustimmung. Ich frage mich nur, warum Vanguard den viel größeren FTSE All World noch nicht auf All Cap umgestellt hat, aber hier schon bei der winzigen Größe auf All Cap geht. Diese Ungereimtheit macht mich dann doch etwas skeptisch, aber prinzipiell ist es mir auch eher egal, weil ich mich derzeit noch nicht großartig für ESG-ETFs interessiere.

Diesen Beitrag teilen


Link zum Beitrag
Madame_Q
· bearbeitet von Madame_Q
vor 5 Minuten von Peter23:

Ich frage mich nur, warum Vanguard den viel größeren FTSE All World noch nicht auf All Cap umgestellt hat, aber hier schon bei der winzigen Größe auf All Cap geht.

ESG-Trend?

=> Mehr Investoren bei einem ESG-Produkt => mehr Kohle machen 

 

Ganz dumm und völlig ohne Abwägungsprozesse ist auch Vanguard nicht, wie alle anderen eben auch.

Diesen Beitrag teilen


Link zum Beitrag
Peter23
vor 1 Minute von Madame_Q:

ESG-Trend?

=> Mehr Investoren bei einem ESG-Produkt => mehr Kohle machen 

Sie würden aber doch auch mehr Kohle machen, wenn sie den All World auf Total World bzw. All Cap umstellen.

Diesen Beitrag teilen


Link zum Beitrag
oktavian
vor 8 Minuten von tyr:

Welcher active share? Das ist ein passiver Indexfonds:

Das geht auch für ETF. Die haben nur erwartungsgemäß wenig active share, aber keine Null. https://www.investopedia.com/articles/mutualfund/07/active-share.asp

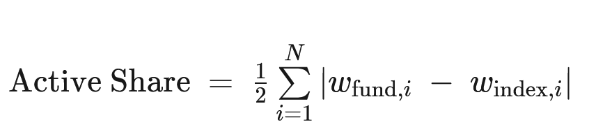
Wir wissen ja noch nicht wie genau er den benchmark nachbildet. Auch kann man sich fragen, lohnt das Ding? Macht das überhaupt einen Unterschied - also wie anders ist der choice? Klar kannst du damit TD nicht vorab berechnen. Es gibt auch Derivate, Kasse, Schwankungen durch creation redemption baskets. Meinte das nur mal so als ersten Eindruck und ist sehr einfach zu berechnen. w steht für Gewicht in Prozent.

image.png.9a9da3006ea93f30e1ff4725eea7e25f.png

Diesen Beitrag teilen


Link zum Beitrag
Madame_Q
· bearbeitet von Madame_Q

@Peter23

Echt?

Auf welches Produkt werden mehr neue Anleger aufspringen? Auf den alten All-World, der einfach umgeändert wird oder auf einen komplett neuen ESG-Fonds?

Diesen Beitrag teilen


Link zum Beitrag
Peter23
vor 1 Minute von Madame_Q:

@Peter23

Echt?

Auf welches Produkt werden mehr neue Anleger aufspringen? Auf den alten All-World, der einfach umgeändert wird oder auf einen komplett neuen ESG-Fonds?

Es ist doch keine entweder-oder-Sache. Sie könnten doch beides machen. Ich frage mich doch nur, warum sie das eine machen und das andere nicht auch.

Diesen Beitrag teilen


Link zum Beitrag
Madame_Q
· bearbeitet von Madame_Q
vor 9 Minuten von oktavian:

Auch kann man sich fragen, lohnt das Ding?

Wer unbedingt ESG will, für den ist das Produkt vermutlich die Traum-Lösung.

Wer erstmal hauptsächlich möglichst die ganze Welt- Abdeckung will, sich dann aber nur aufgrund dieses Produktes zu einem Kompromiss (ESG Filter) hinreißen lässt, der bleibt eigentlich nicht rational (wird mir ja oft vorgeworfen). 

 

vor 5 Minuten von Peter23:

Sie könnten doch beides machen.

Stimmt.

Das wäre das Beste.

 

vor 5 Minuten von Peter23:

Ich frage mich doch nur, warum sie das eine machen und das andere nicht auch.

Vielleicht kommt das andere noch.

Aber wichtiger schien ihnen erst diese ESG Sache zu sein. ESG/nachhaltig ist die neue Sau im ETF-/Fonds-Bereich.

Diesen Beitrag teilen


Link zum Beitrag
tyr
· bearbeitet von tyr
vor 3 Minuten von Madame_Q:

Wer unbedingt ESG will, für den ist das Produkt vermutlich die Traum-Lösung.

Das ist ohne genauere Betrachtung und Vergleich des vorliegenden ESG-Filters mit dem Wettbewerb noch unbekannt. Der ESG-Filter sollte zu den eigenen erwünschten ESG-Kriterien passen.

Diesen Beitrag teilen


Link zum Beitrag
Rendito
vor 2 Minuten von Peter23:

Es ist doch keine entweder-oder-Sache. Sie könnten doch beides machen. Ich frage mich doch nur, warum sie das eine machen und das andere nicht auch.

Vanguard geht differenziert vor, da eine Markteinführung aufwendig ist und die anlegenden Kunden sich nicht auf zu viele Produkte "versplittern" sollen. In dem Zusammenhang interessant: hierzulande hat Vanguard den ESG Global All Cap lanciert, ohne dass man den "normalen" Global All Cap kaufen kann. In den USA ist es genau andersherum, in UK gibt es beide. Was sagt das wohl über die Deutschen und deren Wahrnehmung in der Welt aus?

Diesen Beitrag teilen


Link zum Beitrag
Madame_Q
vor 1 Minute von tyr:

Der ESG-Filter sollte zu den eigenen erwünschten ESG-Kriterien passen

Ich glaube nicht, dass sich die meisten Anleger wirklich mit dem Filter beschäftigen. Denen reicht einfach aus, das Wort ESG oder "nachhaltig" auf dem Produkt zu lesen.

vor 2 Minuten von Rendito:

Was sagt das wohl über die Deutschen und deren Wahrnehmung in der Welt aus?

:thumbsup:

Diesen Beitrag teilen


Link zum Beitrag
Peter23
vor 4 Minuten von Rendito:

da eine Markteinführung aufwendig ist und die anlegenden Kunden sich nicht auf zu viele Produkte "versplittern" sollen.

Es wäre doch keine Markteinführung. Man müsste nur den FTSE All World umstellen auf Total World.

Diesen Beitrag teilen


Link zum Beitrag
tyr
· bearbeitet von tyr
vor 8 Minuten von Peter23:

Es wäre doch keine Markteinführung. Man müsste nur den FTSE All World umstellen auf Total World.

Du bist dir nicht zu schade, viele Stunden gegen den SPDR MSCI ACWI IMI zu wettern. Einen nach vergleichbarem Kochrezept gebauten Fonds von Vanguard würdest du dann unbedingt haben wollen? 
 

In der Vanguard-Kirche ist die Welt so schön einfach. :lol:

Diesen Beitrag teilen


Link zum Beitrag
tyr
· bearbeitet von tyr
vor 49 Minuten von oktavian:

Das geht auch für ETF. Die haben nur erwartungsgemäß wenig active share, aber keine Null. https://www.investopedia.com/articles/mutualfund/07/active-share.asp

Wir wissen ja noch nicht wie genau er den benchmark nachbildet. Auch kann man sich fragen, lohnt das Ding? Macht das überhaupt einen Unterschied - also wie anders ist der choice? Klar kannst du damit TD nicht vorab berechnen. Es gibt auch Derivate, Kasse, Schwankungen durch creation redemption baskets. Meinte das nur mal so als ersten Eindruck und ist sehr einfach zu berechnen. w steht für Gewicht in Prozent.

image.png.9a9da3006ea93f30e1ff4725eea7e25f.png

Warum Forschung am Produkt, wenn du dir einfach die Performance des Index ansehen kannst? https://www.ftserussell.com/products/indices/global-choice

 

Solange man die ESG-Kriterien noch nicht auseinander genommen und mit dem Wettbewerb verglichen hat käme ich nicht auf die Idee, das Produkt in der Tiefe zu betrachten.

Diesen Beitrag teilen


Link zum Beitrag
oktavian
vor 1 Minute von tyr:

Warum Forschung am Produkt, wenn du dir einfach die Performance des Index ansehen kannst? https://www.ftserussell.com/products/indices/global-choice

Warum diskutiert man überhaupt welchen ETF man nehmen sollte, wenn man einfach die performance des index anschauen kann? Weil ETF ungleich Index und es verschiedene Indices gibt.

Diesen Beitrag teilen


Link zum Beitrag
tyr
· bearbeitet von tyr
vor 15 Minuten von oktavian:

Warum diskutiert man überhaupt welchen ETF man nehmen sollte, wenn man einfach die performance des index anschauen kann? Weil ETF ungleich Index und es verschiedene Indices gibt.

Richtig, man sucht sich zuerst in Frage kommende in Fonds verfügbare Indizes aus, danach kann man in Frage kommende Produkte vergleichen.

 

Wenn man erwarten kann, dass 99,x+% der jährlichen Indexperformance erreicht werden fange ich nicht mit den Fonds an. Zuerst sind die Indizes interessant. Die Fonds bilden ja nur die Indizes nach.

 

Der nachgebildete Index bestimmt viel stärker meine Portfolioperformance als die Kleinigkeit TD.

 

Wenn ich bei der Konstruktion des ESG-Index schon bemerke, dass der Filter zu stark oder zu schwach ist brauche ich keine Zeit mit tiefgreifender Analyse des Fonds zu verbringen.

Diesen Beitrag teilen


Link zum Beitrag

Erstelle ein Benutzerkonto oder melde dich an, um zu kommentieren

Du musst ein Benutzerkonto haben, um einen Kommentar verfassen zu können

Benutzerkonto erstellen

Neues Benutzerkonto für unsere Community erstellen. Es ist einfach!

Neues Benutzerkonto erstellen

Anmelden

Du hast bereits ein Benutzerkonto? Melde dich hier an.

Jetzt anmelden

×
×
  • Neu erstellen...