Zum Inhalt springen
Mangalica

Finanzwesir und Krisen-Alpha

Empfohlene Beiträge

Glory_Days
· bearbeitet von Glory_Days

Nach längerer Abstinenz hat der FW wieder einen Blog-Artikel über den sog. Volatility Drag veröffentlicht:
Die heimtückische Vermögenssteuer

Darin befasst er sich u.a. mit dem Unterschied zw. geometrischem und arithmetischen Mittelwert:

Zitat

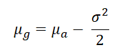
Mathematisch hängen die beiden Renditen wie folgt zusammen
 

Geometrischer Mittelwert = arithmetischer Mittelwert minus die Varianz der Rendite

Dieser Zusammenhang ist eine Näherung unter der Annahme einer Logarithmischen Normalverteilung, bietet häufig aber auch für andere Verteilungsfunktionen eine gute Abschätzung. Die exakte Formel beinhaltet die zentralen Momente der (angenommenen) Verteilungsfunktion. Die Näherungsformel wird häufig auch als 'Volatility Tax' bezeichnet:

grafik.png.2833a8370d2b1dcfae26a828dc239521.png
mit μ dem jeweiligen Mittelwert und σ der Standardabweichung (siehe auch: https://en.wikipedia.org/wiki/Volatility_tax).

 

Die Idee dahinter ist es, Volatilitätsspitzen durch Diversifikation zu vermeiden, um so langfristig die durchschnittliche (geometrische) jährliche Wachstumsrate zu erhöhen.

Diesen Beitrag teilen


Link zum Beitrag
Sapine

Warum einfach wenn es auch kompliziert geht :P

Diesen Beitrag teilen


Link zum Beitrag
Zasterbart

Letztendlich ist der Blog-Beitrag eine ausführlichere Variation von "was um 50% fällt, muss zum Ausgleich um 100% steigen".

Das arithmetische Mittel zur Renditeberechnung ist ein Strohmann.

 

 

 

Diesen Beitrag teilen


Link zum Beitrag
vanity
vor 3 Stunden von Glory_Days:

Die Idee dahinter ist ...

... Hier entlang

 

Man merkt die Absicht und ist verstimmt. Irgendwann wird die Kombination aus einfachsten, manchmal unbeholfenen Rechenformeln mit blumigen Wortgarnituren drumherum einfach albern, zumal die Schlussfolgerungen hier an den Haaren herbeigezogen sind. Oder ist das neue Anlageziel jetzt, das geometrische Mittel möglichst dicht an das arithmetische Mittel heranzuführen?

Diesen Beitrag teilen


Link zum Beitrag
hattifnatt

Wohl auch wieder ein verkappter Aufruf für "Smart Alpha", weil:

Zitat

Unsere Aufgabe als Anleger ist es, die verschiedenen Anlageklassen so zu kombinieren, dass die Volatilität des gesamten Depots gemindert wird, nicht aber die Renditen. Eine Verwässerung durch Cash ist in den seltensten Fällen sinnvoll.

In diesem Sinne: Bleiben Sie optimistisch aber defensiv. Wenn Sie noch auf der Suche nach für Sie passenden Anlageklassen sind: Hier entlang.

"Hier entlang" ist das Fincamp 2022, wo dann auch der smarte Norbert wieder dabei ist :P

Diesen Beitrag teilen


Link zum Beitrag
Glory_Days
· bearbeitet von Glory_Days
vor 1 Stunde von Sapine:

Warum einfach wenn es auch kompliziert geht :P

Weil der FW die (unbewiesene) Behauptung aufstellt:

Zitat

Im Finanzbereich bedeutet "mehr Wissen" auch immer "mehr Rendite".

Halte ich ehrlich gesagt für einen (gefährlichen) Mythos.

vor 51 Minuten von Zasterbart:

Letztendlich ist der Blog-Beitrag eine ausführlichere Variation von "was um 50% fällt, muss zum Ausgleich um 100% steigen".

Das arithmetische Mittel zur Renditeberechnung ist ein Strohmann.

Was natürlich nicht falsch ist, und mathematisch ausgedrückt wäre das eben die Funktion f(x)=1/(1-x)-1, die nur für kleine x << 1 linear ist. Das arithmetische Mittel zur Renditeberechnung hat aber tatsächlich keine wirkliche praktische Bedeutung.

vor 28 Minuten von vanity:

... Hier entlang

 

Man merkt die Absicht und ist verstimmt.

Ein bisschen Werbung für die Veranstaltung erscheint mir legitim, angesichts der Anzahl der noch freien Plätze und der kurzen Zeit bis Veranstaltungsbeginn.

vor 28 Minuten von vanity:

Oder ist das neue Anlageziel jetzt, das geometrische Mittel möglichst dicht an das arithmetische Mittel heranzuführen?

Das wäre nicht notwendigerweise zielführend, je nachdem wie hoch das arithmetische Mittel denn ausfällt. Grundsätzlich ist die Idee die risikoadjustierte Rendite zu erhöhen aber natürlich aus wissenschaftlicher Sicht sinnvoll.

vor 28 Minuten von hattifnatt:

Wohl auch wieder ein verkappter Aufruf für "Smart Alpha", weil:

"Hier entlang" ist das Fincamp 2022, wo dann auch der smarte Norbert wieder dabei ist :P

Diversifikation von Portfolien lässt sich auch anderweitig umsetzen - sogar ganz ohne fremde Hilfe.

Diesen Beitrag teilen


Link zum Beitrag
Campari-Investor
Am 5.2.2022 um 12:22 von vanity:

... Hier entlang

 

Man merkt die Absicht und ist verstimmt. Irgendwann wird die Kombination aus einfachsten, manchmal unbeholfenen Rechenformeln mit blumigen Wortgarnituren drumherum einfach albern, zumal die Schlussfolgerungen hier an den Haaren herbeigezogen sind. Oder ist das neue Anlageziel jetzt, das geometrische Mittel möglichst dicht an das arithmetische Mittel heranzuführen?

War auch mein erster Gedanke. Er ist halt auch kein guter Verkäufer, mittlerweile muss man bei jedem Beitrag nur etwas scrollen um das Motiv zu erkennen. Dann doch lieber "keep it short and simple", dann fühlt man sich auch nicht direkt so veräppelt.

Das ist jetzt sowas wie die Finanzwesir Sparkassen Version. Hier habt ihr 300 Seiten Unterlagen mit Fremdwörtern, und am Ende steht immer das gleiche simple Deka Produkt.

Diesen Beitrag teilen


Link zum Beitrag
Holgerli

Ich hoffe ja mal, dass echt (kaum) einer so dumm ist 399/499 Euro Euro zu investieren. 114 Tickets akuell noch verfügbar. 45.000 Euro.

Sagen wir, dass die kosten bei 10.000 Euro liegen.

Dann macht das 5.000 Euro brutto pro Person für 10 Stunden Arbeit. Kein schlechter Schnitt.

Diesen Beitrag teilen


Link zum Beitrag
slowandsteady
vor 36 Minuten von Holgerli:

Ich hoffe ja mal, dass echt (kaum) einer so dumm ist 399/499 Euro Euro zu investieren.

Das Buch vom Finanzwesir war nicht das schlechteste Investment für mich ;)

 

Es gibt nun mal Leute, die keine eigenen Entscheidungen treffen wollen. Wenn jemand nach dem 499€ Seminar sein Vermögen dann wirklich konsequent in ETFs anlegt statt in Sparkassenfonds, könnte es sich sogar langfristig lohnen. Wenn er dann natürlich Democratic Alpha kauft, dann hätte er wohl auch bei der Sparkasse bleiben können ;)

Diesen Beitrag teilen


Link zum Beitrag
Bast
vor einer Stunde von slowandsteady:

Wenn er dann natürlich Democratic Alpha kauft, dann hätte er wohl auch bei der Sparkasse bleiben können ;)

Bei der Sparkasse gibt’s Kaffee und Kekse für umme - da zahlt man keine 399/499 € für das Verkaufsgespräch.

Diesen Beitrag teilen


Link zum Beitrag
Holgerli
· bearbeitet von Holgerli
vor 3 Stunden von Bast:

...da zahlt man keine 399/499 € für das Verkaufsgespräch.

Vor allem für kein Verkaufsgespräch wo man gleich mindestens 114 Leute auf einen Schlag abspeisen möchte.

Das Verkaufsgespräch hat da wenigstens noch was persönliches. Böse geagt wird man nicht mit 114 anderen, sondern im 4-Augen-Gespräch über den Tisch gezogen.

 

Ich hatte  noch eine Anmerkung per PM bekommen: Auf den Fotos der 2020er Veranstaltung sieht man, dass es sicher keine 114 Leute waren, sondern eher mehr.

Die Tatsache, dass man (mindestens) 114 Leute auf einen Schlag abfertigen möchte zeigt für mich wohin die Reise eigentlich gehen soll und was davon zu halten ist.

Ich glaube, dass das Schiff sehr deutlich am sinken ist und man nun nochmal alles mitnehmen möchte was an Geld gerade noch reinkommt.

 

Es gibt ja auch andere Finanzexperten, die Seminare für um 500 Euro anbieten. Dann sind es aber maximal 5 bis 15 Leute an einem oder zwei Tagen.

@slowandsteady Das wäre für mich gggf. noch eine Größenordnung (bei einem wirklich interessanten Thema) wo ich überlegen würde das Geld zu investieren.

Aber nicht bei so einer "Hörsaalveranstaltung" wo es aufgrund der Menge der Leute gar keine wirkliche Diskussion bzw. Rückfragen geben kann.

Diesen Beitrag teilen


Link zum Beitrag
slowandsteady
· bearbeitet von slowandsteady
vor 9 Minuten von Holgerli:

Die Tatsache, dass man (mindestens) 114 Leute auf einen Schlag abfertigen möchte zeigt für mich wohin die Reise eigentlich gehen soll und was davon zu halten ist.

 Es sei ihm gegönnt, wenn er Leute findet, die mitmachen. Ich bin da liberal, es wird ja niemand gezwungen, das Seminar zu buchen. Es gibt zB auch genug andere Kurse in allen Branchen, die 1000+€ kosten und bei denen man ausschließlich Dinge lernt, die man sich auch selbst im Internet oder mit einem Fachbuch beibringen könnte.

 

Meine Meinung zum Finanzwesir und Finanzblogs generell hatte ich hier geschrieben:

Am 5.10.2021 um 14:54 von slowandsteady:

IMHO haben die ganzen Finanzblogs fertig. Was soll man auch noch schreiben zum Thema ETF? Passiv investieren ist halt langweilig, sobald man es einmal verstanden hat und das hunderste Mal Asset Allocation oder die 4%-Entnahmeregel erklären ist auch nicht spannend. Mich persönlich hat der Finanzwesir jedenfalls an das passiv investieren herangeführt und wenn ich in mein Depot schaue, war das auch durchaus rentabel für mich. Dafür werde ich ihm dankbar bleiben, auch wenn er jetzt vom "Aufklärer" zum "Alpha-Schwurbler" wird.

 

Diesen Beitrag teilen


Link zum Beitrag
Glory_Days
· bearbeitet von Glory_Days

Ein wissenschaftliches Paper zum Thema kommt zu folgendem Schluss:

Zitat

'The crisis alpha of managed futures: Myth or reality?'

 

"Our results indicate that managed futures on average acquire positive returns in all markets during crises, i.e. they provide investors with a crisis alpha. [...] [T]heir regime-dependent performance does not stem from an ability to anticipate crisis but instead from adjusting positions accordingly and should thus be repeatable going forward. Our results have far-reaching implications for investors and finance professionals, researchers, and policymakers. It helps investors in their decision to add managed futures to their portfolio and benefit from their role as a kind of a crisis insurance. The results also explain why the return characteristics of the CTAs [commodity trading advisors] differ during crisis due to the “crisis alpha”, and explains why the overperformance during crisis comes at the cost of lower performance during normal times."


Quelle: https://www.sciencedirect.com/science/article/pii/S1057521922000242?dgcid=author

 

Diesen Beitrag teilen


Link zum Beitrag
Stoiker

Hat mich mal interessiert. Eine erste Wasserstandsmeldungen wie sich Krisen-Alpha im aktuellen Umfeld bewährt https://www.democratic-alpha.com/krisen-alpha-ukraine-krieg/

Die Daten der letzten Tage fehlen allerdings.

Diesen Beitrag teilen


Link zum Beitrag
Tenno

Diesen Beitrag teilen


Link zum Beitrag
chirlu
vor 6 Minuten von Sapine:

sehe ich das richtig, dass der Fonds keine ISIN hat?

 

Es ist kein Fonds, daher auch keine ISIN. Du hast ein Depot, in dem Fonds für dich gekauft (und verkauft) werden.

Diesen Beitrag teilen


Link zum Beitrag
Undercover
Gerade eben von chirlu:

 

Es ist kein Fonds, daher auch keine ISIN. Du hast ein Depot, in dem Fonds für dich gekauft (und verkauft) werden.

Und wenn diese Leute verschwinden ist dein Geld weg.  :)

 

Diesen Beitrag teilen


Link zum Beitrag
Sapine

(alp)traumhaft und sehr (in)transparent ist mein Eindruck. In so was würde ich nicht investieren. 

Diesen Beitrag teilen


Link zum Beitrag
chirlu

@Undercover: Hör doch einfach auf, Unsinn zu erzählen. Die BNP Paribas verschwindet nicht einfach. Danke.

Diesen Beitrag teilen


Link zum Beitrag
brandungsfels
· bearbeitet von brandungsfels

In wie weit gehen diese Handelsbefugnisse eigentlich? Wie binden ist der "Plan" von DA?

Ganz banal: Kann ich einen Fond aufsetzen der nur dazu dient mir Geld zu machen und alle DA Anleger zwingen darin anzulegen?
(Ich als Albert et al)

Diesen Beitrag teilen


Link zum Beitrag
etherial
Am 5.3.2022 um 15:27 von chirlu:

@Undercover: Hör doch einfach auf, Unsinn zu erzählen. Die BNP Paribas verschwindet nicht einfach. Danke.

Sorry, dass ich hier mal wieder nachfragen muss:

 

Eigentlich übergibt man bei einer Anlage doch das Geld treuhänderisch der Firma Democratic Alpha. Und wenn die Besitzer weg sind (d.h. das Geld veruntreuen), dann ist das Geld weg. Ich kenne mich überhaupt nicht damit aus wie Unternehmen, die treuhänderisch Geld verwalten, reguliert werden, aber ich bin bisher immer davon ausgegangen, dass der einzige Grund dafür, dass sie das Geld nicht veruntreuen, derjenige ist, dass sie sich dann strafbar machen würden. In jedem Fall sehe ich die BNP Paribas nicht als Hindernis für kriminelle oder legale Veruntreuungen.

Diesen Beitrag teilen


Link zum Beitrag
chirlu
Gerade eben von etherial:

Eigentlich übergibt man bei einer Anlage doch das Geld treuhänderisch der Firma Democratic Alpha.

 

Nein, man gibt es der Bank. Democratic Alpha gibt man die Erlaubnis, davon Fonds zu kaufen und zu verkaufen; aber an das Geld selbst kommt es nicht heran.

Diesen Beitrag teilen


Link zum Beitrag
sedativ
· bearbeitet von sedativ
Am 8.3.2022 um 11:42 von brandungsfels:

In wie weit gehen diese Handelsbefugnisse eigentlich? Wie binden ist der "Plan" von DA?

Ganz banal: Kann ich einen Fond aufsetzen der nur dazu dient mir Geld zu machen und alle DA Anleger zwingen darin anzulegen?
(Ich als Albert et al)

 

Im Prinzip müssen die Berts gemäß ihrer (wie auch immer ausgestalteten) Anlagerichtlinien anlegen. Wenn das Geld dann aber über den Umweg eines auf den Caymans registrierten Premium-Alpha-Fonds im Eigentum einer mehrfach verschachtelten panamesischen Holding mit usbekischen Anteilseignern letztlich auf Norberts Schweizer Konto landet, dürfte der Beweis der Veruntreuung sehr schwierig sein.

 

Aber auch ganz ohne Betrug verdienen sie, wie auch seit Jahren schon Dirk Müller, durch ihre jährliche Gebühr von 1% des Anlagevermögens schon recht gut an ihrer fragwürdigen Dienstleistung.

Diesen Beitrag teilen


Link zum Beitrag
Bast
vor 1 Stunde von sedativ:

Aber auch ganz ohne Betrug verdienen sie, wie auch seit Jahren schon Dirk Müller, durch ihre jährliche Gebühr von 1% des Anlagevermögens schon recht gut an ihrer fragwürdigen Dienstleistung.

Definiere „recht gut“:

Am 27.11.2021 um 14:11 von Bast:

Auf Anfrage habe ich die Auskunft erhalten, daß das Gesamtvolumen/AUM aktuell bei ca. 2 Millionen Euro liegen würde. Da ist noch Luft nach oben. 

 

Diesen Beitrag teilen


Link zum Beitrag

Erstelle ein Benutzerkonto oder melde dich an, um zu kommentieren

Du musst ein Benutzerkonto haben, um einen Kommentar verfassen zu können

Benutzerkonto erstellen

Neues Benutzerkonto für unsere Community erstellen. Es ist einfach!

Neues Benutzerkonto erstellen

Anmelden

Du hast bereits ein Benutzerkonto? Melde dich hier an.

Jetzt anmelden

×
×
  • Neu erstellen...